Deck 6: Integration
سؤال
سؤال
سؤال
سؤال
سؤال
سؤال
سؤال
سؤال
سؤال
سؤال
فتح الحزمة
قم بالتسجيل لفتح البطاقات في هذه المجموعة!
Unlock Deck
Unlock Deck
1/10
العب
ملء الشاشة (f)
Deck 6: Integration
1
Evaluate 
A)2,882
B)766
C)625
D)525.8
E)576.4

A)2,882
B)766
C)625
D)525.8
E)576.4
E
2
If the investment flow is
calculate the capital formation from the end of the second year to half- way through the fifth year. Give your answer to the nearest whole number.
A)33,691
B)20,879
C)16,703
D)26,217
E)24,177
calculate the capital formation from the end of the second year to half- way through the fifth year. Give your answer to the nearest whole number.A)33,691
B)20,879
C)16,703
D)26,217
E)24,177
C
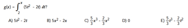
3
Which of the following is an expression for g'(x)when 

B
4
Find 

فتح الحزمة
افتح القفل للوصول البطاقات البالغ عددها 10 في هذه المجموعة.
فتح الحزمة
k this deck
5
Which of the following represents the consumption function when 

فتح الحزمة
افتح القفل للوصول البطاقات البالغ عددها 10 في هذه المجموعة.
فتح الحزمة
k this deck
6
Find the consumer's surplus at Q = 8 for the demand function P = 50 - 4Q.
A)272
B)256
C)298
D)192
E)128
A)272
B)256
C)298
D)192
E)128
فتح الحزمة
افتح القفل للوصول البطاقات البالغ عددها 10 في هذه المجموعة.
فتح الحزمة
k this deck
7
The producer's surplus at Q = a for the supply function P = 6 + 8Q
Is known to be 400. Find the value of a.
A)25
B)5
C)20
D)10
E)15
Is known to be 400. Find the value of a.
A)25
B)5
C)20
D)10
E)15
فتح الحزمة
افتح القفل للوصول البطاقات البالغ عددها 10 في هذه المجموعة.
فتح الحزمة
k this deck
8
Evaluate 

فتح الحزمة
افتح القفل للوصول البطاقات البالغ عددها 10 في هذه المجموعة.
فتح الحزمة
k this deck
9
Which of the following expressions represents the present value of a continuous revenue stream for n years at a constant rate of $S per year if the discount rate is r%?


فتح الحزمة
افتح القفل للوصول البطاقات البالغ عددها 10 في هذه المجموعة.
فتح الحزمة
k this deck
10
A firm's marginal revenue and marginal cost functions are given by MR = 240 - 0.6Q2 and MC = 150 + 0.3Q2
If fixed costs are 50, determine the maximum profit.
A)200
B)550
C)800
D)650
E)150
If fixed costs are 50, determine the maximum profit.
A)200
B)550
C)800
D)650
E)150
فتح الحزمة
افتح القفل للوصول البطاقات البالغ عددها 10 في هذه المجموعة.
فتح الحزمة
k this deck

