Deck 20: Engineering Economics
سؤال
سؤال
سؤال
سؤال
سؤال
سؤال
سؤال
سؤال
سؤال
سؤال
سؤال
سؤال
سؤال
سؤال
سؤال
سؤال
سؤال
سؤال
سؤال
سؤال
سؤال
سؤال
سؤال
سؤال
سؤال
سؤال
سؤال
سؤال
سؤال
سؤال
سؤال
سؤال
سؤال
سؤال
سؤال
سؤال
سؤال
سؤال
سؤال
سؤال
سؤال
سؤال
سؤال
سؤال
سؤال
سؤال
سؤال
سؤال
سؤال
سؤال
فتح الحزمة
قم بالتسجيل لفتح البطاقات في هذه المجموعة!
Unlock Deck
Unlock Deck
1/50
العب
ملء الشاشة (f)
Deck 20: Engineering Economics
1
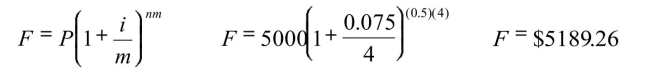
If you deposit $5,000 into a 6-month CD (certificate of deposit) that pays 7.5% APR
compounded quarterly, what is its value at maturity?
compounded quarterly, what is its value at maturity?

2
Your parents gives you $12,000 as a college graduation gift.They tell you that it's from a
$2790.70 investment they made when they first got married that paid 11% simple interest.How
long ago was their investment made?
$2790.70 investment they made when they first got married that paid 11% simple interest.How
long ago was their investment made?

3
If you deposit $100 into an account that pays a fixed rate compounded annually, what is the
fixed rate if there's $432.19 in the account after 30 years?
fixed rate if there's $432.19 in the account after 30 years?

4
If you deposit $100 into an account that pays 5% compounded quarterly, how many years
will it take to reach a value of $444?
will it take to reach a value of $444?
فتح الحزمة
افتح القفل للوصول البطاقات البالغ عددها 50 في هذه المجموعة.
فتح الحزمة
k this deck
5
If you deposit $100 into an account that pays 5% APR compounded daily, what would be the
value in the account after 30 years?
value in the account after 30 years?
فتح الحزمة
افتح القفل للوصول البطاقات البالغ عددها 50 في هذه المجموعة.
فتح الحزمة
k this deck
6
Visual aids that show the flow of costs and revenues over a period of time are known as
A)cash flow diagrams.
B)cost - revenue diagrams.
C)Venn diagrams.
D)business plans.
A)cash flow diagrams.
B)cost - revenue diagrams.
C)Venn diagrams.
D)business plans.
فتح الحزمة
افتح القفل للوصول البطاقات البالغ عددها 50 في هذه المجموعة.
فتح الحزمة
k this deck
7
If you deposit $5,000 into a 6-month CD (certificate of deposit) that pays 7.5% APR simple
interest, what is its value at maturity?
interest, what is its value at maturity?
فتح الحزمة
افتح القفل للوصول البطاقات البالغ عددها 50 في هذه المجموعة.
فتح الحزمة
k this deck
8
If you deposit $100 into an account that pays 5% APR compounded semiannually, what
would be the value in the account after 30 years?
would be the value in the account after 30 years?
فتح الحزمة
افتح القفل للوصول البطاقات البالغ عددها 50 في هذه المجموعة.
فتح الحزمة
k this deck
9
If you take out a $15,000 student loan on the first day of September, and promise to pay
APR simple interest, how much interest would you pay if you repay the loan at the end of the
following May?
APR simple interest, how much interest would you pay if you repay the loan at the end of thefollowing May?
فتح الحزمة
افتح القفل للوصول البطاقات البالغ عددها 50 في هذه المجموعة.
فتح الحزمة
k this deck
10
When the interest paid on the initial principal also collects interest, this is called
A)initial interest.
B)simple interest.
C)compound interest.
D)present value interest.
A)initial interest.
B)simple interest.
C)compound interest.
D)present value interest.
فتح الحزمة
افتح القفل للوصول البطاقات البالغ عددها 50 في هذه المجموعة.
فتح الحزمة
k this deck
11
If you take out a $15,000 student loan on the first day of September, and promise to pay 6%
APR compounded annually, how much interest would you pay if you repay the loan at the end of
the following May?
APR compounded annually, how much interest would you pay if you repay the loan at the end of
the following May?
فتح الحزمة
افتح القفل للوصول البطاقات البالغ عددها 50 في هذه المجموعة.
فتح الحزمة
k this deck
12
If you deposit $100 into an account that pays 5% APR compounded annually, what would be
the value in the account after 30 years?
the value in the account after 30 years?
فتح الحزمة
افتح القفل للوصول البطاقات البالغ عددها 50 في هذه المجموعة.
فتح الحزمة
k this deck
13
If you deposit $100 into an account that pays 5% APR compounded quarterly, what would be
the value in the account after 30 years?
the value in the account after 30 years?
فتح الحزمة
افتح القفل للوصول البطاقات البالغ عددها 50 في هذه المجموعة.
فتح الحزمة
k this deck
14
If you deposit $100 into an account that pays an interest rate that compounds quarterly, what
is the interest rate if the value in the account after 30 years is $444?
is the interest rate if the value in the account after 30 years is $444?
فتح الحزمة
افتح القفل للوصول البطاقات البالغ عددها 50 في هذه المجموعة.
فتح الحزمة
k this deck
15
Your parents gives you $12,000 as a college graduation gift.They tell you that it's from an
investment they made 30 years ago that paid 11% simple interest.What was their original
investment?
investment they made 30 years ago that paid 11% simple interest.What was their original
investment?
فتح الحزمة
افتح القفل للوصول البطاقات البالغ عددها 50 في هذه المجموعة.
فتح الحزمة
k this deck
16
If you deposit $100 into an account that pays 5% APR simple interest, what would be the
value in the account after 30 years?
value in the account after 30 years?
فتح الحزمة
افتح القفل للوصول البطاقات البالغ عددها 50 في هذه المجموعة.
فتح الحزمة
k this deck
17
The interest that would be paid only on the initial borrowed or deposited amount is
A)initial interest.
B)simple interest.
C)compound interest.
D)present value interest.
A)initial interest.
B)simple interest.
C)compound interest.
D)present value interest.
فتح الحزمة
افتح القفل للوصول البطاقات البالغ عددها 50 في هذه المجموعة.
فتح الحزمة
k this deck
18
If you deposit $100 into an account that pays 5% APR compounded monthly, what would be
the value in the account after 30 years?
the value in the account after 30 years?
فتح الحزمة
افتح القفل للوصول البطاقات البالغ عددها 50 في هذه المجموعة.
فتح الحزمة
k this deck
19
If you deposit $100 into an account that pays 5% APR compounded weekly, what would be
the value in the account after 30 years?
the value in the account after 30 years?
فتح الحزمة
افتح القفل للوصول البطاقات البالغ عددها 50 في هذه المجموعة.
فتح الحزمة
k this deck
20
If you deposit $5,000 into a 6-month CD (certificate of deposit) that pays 7.5% APR
compounded annually, what is its value at maturity?
compounded annually, what is its value at maturity?
فتح الحزمة
افتح القفل للوصول البطاقات البالغ عددها 50 في هذه المجموعة.
فتح الحزمة
k this deck
21
The Straight Line and the Modified Accelerated Cost Recovery System (MACRS) are examples of
A)accounting schemes.
B)depreciation methods.
C)investment strategies.
D)dance steps.
A)accounting schemes.
B)depreciation methods.
C)investment strategies.
D)dance steps.
فتح الحزمة
افتح القفل للوصول البطاقات البالغ عددها 50 في هذه المجموعة.
فتح الحزمة
k this deck
22
The stated or quoted interest rate is called the effective interest rate, and the actual earned
interest rate is called the nominal interest rate.
interest rate is called the nominal interest rate.
فتح الحزمة
افتح القفل للوصول البطاقات البالغ عددها 50 في هذه المجموعة.
فتح الحزمة
k this deck
23
What is the effective interest rate corresponding to the nominal rate of 7.5% compounded
quarterly.
quarterly.
فتح الحزمة
افتح القفل للوصول البطاقات البالغ عددها 50 في هذه المجموعة.
فتح الحزمة
k this deck
24
How much money do you need to put in a CD (certificate of deposit) with an interest rate of 7.5% compounded annually today so that it is worth $5,000 in 3 years?
فتح الحزمة
افتح القفل للوصول البطاقات البالغ عددها 50 في هذه المجموعة.
فتح الحزمة
k this deck
25
The par value of a bond is
A)the amount originally paid for the bond.
B)the amount that will be repaid at maturity date.
C)all of the above.
D)none of the above.
A)the amount originally paid for the bond.
B)the amount that will be repaid at maturity date.
C)all of the above.
D)none of the above.
فتح الحزمة
افتح القفل للوصول البطاقات البالغ عددها 50 في هذه المجموعة.
فتح الحزمة
k this deck
26
An initial deposit of $500 earns 8% interest (APR), compounded quarterly.How much will
be in the account at the end of 10 years?
be in the account at the end of 10 years?
فتح الحزمة
افتح القفل للوصول البطاقات البالغ عددها 50 في هذه المجموعة.
فتح الحزمة
k this deck
27
If you put $4000 in a CD (certificate of deposit), what fixed interest rate compounded
quarterly would yield $5000 at the end of three years?
quarterly would yield $5000 at the end of three years?
فتح الحزمة
افتح القفل للوصول البطاقات البالغ عددها 50 في هذه المجموعة.
فتح الحزمة
k this deck
28
What is the effective interest rate corresponding to the nominal rate of 21% compounded
weekly.
weekly.
فتح الحزمة
افتح القفل للوصول البطاقات البالغ عددها 50 في هذه المجموعة.
فتح الحزمة
k this deck
29
If you put away a fixed amount each month, at 10% APR compounded monthly, in order to
have $5000 in 3 years, how much will you have paid during that time?
have $5000 in 3 years, how much will you have paid during that time?
فتح الحزمة
افتح القفل للوصول البطاقات البالغ عددها 50 في هذه المجموعة.
فتح الحزمة
k this deck
30
When a bond is issued, it will have
A)an issue date, a maturity date and an interest rate.
B)a maturity date, a par value, and an interest rate.
C)an issue date, a par value, and an interest rate.
D)an issue date, a maturity date, and a par value.
A)an issue date, a maturity date and an interest rate.
B)a maturity date, a par value, and an interest rate.
C)an issue date, a par value, and an interest rate.
D)an issue date, a maturity date, and a par value.
فتح الحزمة
افتح القفل للوصول البطاقات البالغ عددها 50 في هذه المجموعة.
فتح الحزمة
k this deck
31
What percentage rate, compounded annually, would yield the same amount as 9%
compounded quarterly?
compounded quarterly?
فتح الحزمة
افتح القفل للوصول البطاقات البالغ عددها 50 في هذه المجموعة.
فتح الحزمة
k this deck
32
If you take out a $15,000 student loan on the first day of September, and promise to pay 6%
APR compounded annually, how much interest would you pay if you repay the loan at the end of
the following May?
APR compounded annually, how much interest would you pay if you repay the loan at the end of
the following May?
فتح الحزمة
افتح القفل للوصول البطاقات البالغ عددها 50 في هذه المجموعة.
فتح الحزمة
k this deck
33
What is the effective interest rate corresponding to the nominal rate of 5% compounded
semiannually.
semiannually.
فتح الحزمة
افتح القفل للوصول البطاقات البالغ عددها 50 في هذه المجموعة.
فتح الحزمة
k this deck
34
How much money do you need to put in a CD (certificate of deposit) with an interest rate of 7.5% compounded weekly today so that it is worth $5,000 in 3 years?
فتح الحزمة
افتح القفل للوصول البطاقات البالغ عددها 50 في هذه المجموعة.
فتح الحزمة
k this deck
35
Although there are many types of these, they are basically loans that investors make to government or corporations in return for some gain.What are they?
A)short-term loans
B)long-term loans
C)IOUs
D)bonds
A)short-term loans
B)long-term loans
C)IOUs
D)bonds
فتح الحزمة
افتح القفل للوصول البطاقات البالغ عددها 50 في هذه المجموعة.
فتح الحزمة
k this deck
36
The percentage of par value that is paid to the bond holder at regular intervals is known as
A)par rate
B)par dividend
C)interest rate
D)annuity payment
A)par rate
B)par dividend
C)interest rate
D)annuity payment
فتح الحزمة
افتح القفل للوصول البطاقات البالغ عددها 50 في هذه المجموعة.
فتح الحزمة
k this deck
37
How much money do you need to put in a CD (certificate of deposit) with an interest rate of 7.5% compounded quarterly today so that it is worth $5,000 in 3 years?
فتح الحزمة
افتح القفل للوصول البطاقات البالغ عددها 50 في هذه المجموعة.
فتح الحزمة
k this deck
38
You walk into a bank with $1,000 that you wish to invest in a CD (certificate of deposit).
The bank gives you two options:
Which option is better for you? Compare the two options by comparing their effective interest
rates.
The bank gives you two options:
Which option is better for you? Compare the two options by comparing their effective interestrates.
فتح الحزمة
افتح القفل للوصول البطاقات البالغ عددها 50 في هذه المجموعة.
فتح الحزمة
k this deck
39
A credit card charges interest at a rate of 21% per year, compounded monthly.If a senior in
college charges her last tuition bill of $4500 and intends to pay it 3 years later (after she gets a
high-paying engineering job), how much will she have to pay?
college charges her last tuition bill of $4500 and intends to pay it 3 years later (after she gets a
high-paying engineering job), how much will she have to pay?
فتح الحزمة
افتح القفل للوصول البطاقات البالغ عددها 50 في هذه المجموعة.
فتح الحزمة
k this deck
40
How much do you have to put away each month, at 10% APR compounded monthly, to have
$5000 in 3 years?
$5000 in 3 years?
فتح الحزمة
افتح القفل للوصول البطاقات البالغ عددها 50 في هذه المجموعة.
فتح الحزمة
k this deck
41
How many years will it take an investment to double at an annual interest rate of 9%
compounded quarterly? Express your answer in years to 2 decimal places.
compounded quarterly? Express your answer in years to 2 decimal places.
فتح الحزمة
افتح القفل للوصول البطاقات البالغ عددها 50 في هذه المجموعة.
فتح الحزمة
k this deck
42
How much money will you have available to you after four years if you put aside $250 a
month in an account that gives you 5.25% interest compounded monthly?
month in an account that gives you 5.25% interest compounded monthly?
فتح الحزمة
افتح القفل للوصول البطاقات البالغ عددها 50 في هذه المجموعة.
فتح الحزمة
k this deck
43
What interest rate, compounded quarterly, would cause an investment to double in twelve
years?
years?
فتح الحزمة
افتح القفل للوصول البطاقات البالغ عددها 50 في هذه المجموعة.
فتح الحزمة
k this deck
44
You have taken out a mortgage for a new home in the amount of $250,000.You have agreed
to repay the mortgage in 15 years.What is your monthly payment if you agree to pay an interest
rate of 6.5% compounded monthly?
to repay the mortgage in 15 years.What is your monthly payment if you agree to pay an interest
rate of 6.5% compounded monthly?
فتح الحزمة
افتح القفل للوصول البطاقات البالغ عددها 50 في هذه المجموعة.
فتح الحزمة
k this deck
45
You have loaned your roommate $1,000.Your roommate has agreed to repay the loan in two
years.What is the monthly payment if he agrees to pay an interest rate of 5% compounded
monthly?
years.What is the monthly payment if he agrees to pay an interest rate of 5% compounded
monthly?
فتح الحزمة
افتح القفل للوصول البطاقات البالغ عددها 50 في هذه المجموعة.
فتح الحزمة
k this deck
46
In engineering, the term that refers to the sum of all costs that are associated with a structure, a service, or a product during its life span is
A)life-cycle cost.
B)life-span cost.
C)sustainability cost.
D)total cost.
A)life-cycle cost.
B)life-span cost.
C)sustainability cost.
D)total cost.
فتح الحزمة
افتح القفل للوصول البطاقات البالغ عددها 50 في هذه المجموعة.
فتح الحزمة
k this deck
47
What nominal rate, compounded monthly, would yield an effective rate of 10%?
فتح الحزمة
افتح القفل للوصول البطاقات البالغ عددها 50 في هذه المجموعة.
فتح الحزمة
k this deck
48
You have $1000 to invest and your local banker presents two options.Option A is to put the
money into a certificate of deposit (CD) for 5 years at an interest rate of 6.5% compounded
continuously.Option B is to put the money in a savings account at 7.5% simple interest for 5
years.At the end of 5 years, which investment yields a higher return, and by how much?
money into a certificate of deposit (CD) for 5 years at an interest rate of 6.5% compounded
continuously.Option B is to put the money in a savings account at 7.5% simple interest for 5
years.At the end of 5 years, which investment yields a higher return, and by how much?
فتح الحزمة
افتح القفل للوصول البطاقات البالغ عددها 50 في هذه المجموعة.
فتح الحزمة
k this deck
49
Your roommate has just taken out a car loan.He tells you that he has agreed to repay the
loan in five years and his monthly payments are $250.How much did he pay for the car (what
was the principal on the loan) if he agreed to pay an interest rate of 5% compounded monthly?
loan in five years and his monthly payments are $250.How much did he pay for the car (what
was the principal on the loan) if he agreed to pay an interest rate of 5% compounded monthly?
فتح الحزمة
افتح القفل للوصول البطاقات البالغ عددها 50 في هذه المجموعة.
فتح الحزمة
k this deck
50
In early 2006, $2000 was invested at a certain interest rate compounded annually.One year
later, $1200 was deposited in another account at the same interest rate, also compounded
annually.At the end of that year, there was a total of $3573.80 in both accounts.What is the
annual interest rate?
later, $1200 was deposited in another account at the same interest rate, also compounded
annually.At the end of that year, there was a total of $3573.80 in both accounts.What is the
annual interest rate?
فتح الحزمة
افتح القفل للوصول البطاقات البالغ عددها 50 في هذه المجموعة.
فتح الحزمة
k this deck

