Deck 7: Project Management
سؤال
سؤال
سؤال
سؤال
سؤال
سؤال
سؤال
سؤال
سؤال
سؤال
سؤال
سؤال
سؤال
سؤال
سؤال
سؤال
سؤال
سؤال
سؤال
سؤال
سؤال
سؤال
سؤال
سؤال
سؤال
سؤال
سؤال
سؤال
سؤال
سؤال
سؤال
سؤال
سؤال
سؤال
سؤال
سؤال
سؤال
سؤال
سؤال
سؤال
سؤال
سؤال
سؤال
سؤال
سؤال
سؤال
سؤال
سؤال
سؤال
سؤال
سؤال
سؤال
سؤال
سؤال
سؤال
سؤال
سؤال
سؤال
سؤال
سؤال
سؤال
سؤال
سؤال
سؤال
سؤال
سؤال
سؤال
سؤال
سؤال
سؤال
سؤال
سؤال
سؤال
سؤال
سؤال
سؤال
سؤال
سؤال
سؤال
سؤال
فتح الحزمة
قم بالتسجيل لفتح البطاقات في هذه المجموعة!
Unlock Deck
Unlock Deck
1/139
العب
ملء الشاشة (f)
Deck 7: Project Management
1
A pure project organizational structure houses the project in a specific functional area.
False
2
A relationship that determines the sequence for undertaking activities is a precedence relationship.
True
3
Following the project defining and organizing phase, project planning involves five steps. List and briefly describe these five planning steps as applied to writing a term paper for an Operations Management class.
The following points should be included in the best answers: 1. Define the work breakdown structure: develop a list of all work to be completed on the project; 2. Diagram the network: develop a PERT/CPM diagram showing all activities and precedence requirements for the project; 3. Develop the schedule: define the project's critical path, duration, and earliest and latest start and finish times for each activity; 4. Analyze cost-time trade-offs: determine normal time and costs for the project, as well as crash time and costs; using project crashing techniques, find a minimum cost schedule for completing the project; 5. Assess project risks: develop a risk management plan, including such areas as strategic fit, service/product attributes, team capabilities and operations risks.
4
In a network diagram, an activity:
A) is the largest unit of work effort consuming both time and resources that a project manager can schedule and control.
B) is the smallest unit of work effort consuming both time and resources that a project manager can schedule and control.
C) should always be something the company has had experience with.
D) must always have a single, precise estimate for the time duration.
A) is the largest unit of work effort consuming both time and resources that a project manager can schedule and control.
B) is the smallest unit of work effort consuming both time and resources that a project manager can schedule and control.
C) should always be something the company has had experience with.
D) must always have a single, precise estimate for the time duration.
فتح الحزمة
افتح القفل للوصول البطاقات البالغ عددها 139 في هذه المجموعة.
فتح الحزمة
k this deck
5
The work breakdown structure is a statement of all work that has to be completed.
فتح الحزمة
افتح القفل للوصول البطاقات البالغ عددها 139 في هذه المجموعة.
فتح الحزمة
k this deck
6
Project managers should be able to organize a set of disparate activities.
فتح الحزمة
افتح القفل للوصول البطاقات البالغ عددها 139 في هذه المجموعة.
فتح الحزمة
k this deck
7
Projects, and the application of project management, facilitate the implementation of operations strategy.
فتح الحزمة
افتح القفل للوصول البطاقات البالغ عددها 139 في هذه المجموعة.
فتح الحزمة
k this deck
8
A project organization structure where team members are assigned to the project and work exclusively for the project manager is called:
A) a matrix structure.
B) a fixed structure.
C) a pure project structure.
D) a functional structure.
A) a matrix structure.
B) a fixed structure.
C) a pure project structure.
D) a functional structure.
فتح الحزمة
افتح القفل للوصول البطاقات البالغ عددها 139 في هذه المجموعة.
فتح الحزمة
k this deck
9
Scope creep is one of the primary causes of project failure.
فتح الحزمة
افتح القفل للوصول البطاقات البالغ عددها 139 في هذه المجموعة.
فتح الحزمة
k this deck
10
A project is an interrelated set of activities that has a definite starting and ending point.
فتح الحزمة
افتح القفل للوصول البطاقات البالغ عددها 139 في هذه المجموعة.
فتح الحزمة
k this deck
11
________ determines the sequence for undertaking activities.
فتح الحزمة
افتح القفل للوصول البطاقات البالغ عددها 139 في هذه المجموعة.
فتح الحزمة
k this deck
12
The network diagram is a planning method that is designed to depict the relationships between activities.
فتح الحزمة
افتح القفل للوصول البطاقات البالغ عددها 139 في هذه المجموعة.
فتح الحزمة
k this deck
13
What are the primary responsibilities of a Project Manager? Briefly describe these responsibilities for a project manager whose team is purchasing a new machine and installing it in a manufacturing process.
فتح الحزمة
افتح القفل للوصول البطاقات البالغ عددها 139 في هذه المجموعة.
فتح الحزمة
k this deck
14
Projects often cut across organizational lines.
فتح الحزمة
افتح القفل للوصول البطاقات البالغ عددها 139 في هذه المجموعة.
فتح الحزمة
k this deck
15
Heidi was part of a project team that retained their roles within the organization and was on loan to the project due to her technical expertise. In effect, she reported to two bosses, one in her functional area and also to the project manager. Heidi is operating within a(n) ________ organizational structure.
فتح الحزمة
افتح القفل للوصول البطاقات البالغ عددها 139 في هذه المجموعة.
فتح الحزمة
k this deck
16
What characteristics should be considered when selecting project team members? Briefly describe these characteristics for members of a project team assigned to improve a teller's job in a bank.
فتح الحزمة
افتح القفل للوصول البطاقات البالغ عددها 139 في هذه المجموعة.
فتح الحزمة
k this deck
17
A(n) ________ is an interrelated set of activities that has a definite starting and ending point and that results in a unique outcome for a specific allocation of resources.
فتح الحزمة
افتح القفل للوصول البطاقات البالغ عددها 139 في هذه المجموعة.
فتح الحزمة
k this deck
18
Activity times for a project are estimated by all except which of the following methods?
A) the use of dowsing rods
B) managerial opinions based on similar prior experiences
C) statistical methods based on actual past experience
D) estimates using learning curve models to improve replications and estimate accuracy
A) the use of dowsing rods
B) managerial opinions based on similar prior experiences
C) statistical methods based on actual past experience
D) estimates using learning curve models to improve replications and estimate accuracy
فتح الحزمة
افتح القفل للوصول البطاقات البالغ عددها 139 في هذه المجموعة.
فتح الحزمة
k this deck
19
The project's objective statement should contain:
A) slack time and activities.
B) scope, time frame, and allocated resources.
C) strengths and weaknesses of subcontractors.
D) activities, completion times, and incentives.
A) slack time and activities.
B) scope, time frame, and allocated resources.
C) strengths and weaknesses of subcontractors.
D) activities, completion times, and incentives.
فتح الحزمة
افتح القفل للوصول البطاقات البالغ عددها 139 في هذه المجموعة.
فتح الحزمة
k this deck
20
The ________ is a statement of all work that has to be completed.
فتح الحزمة
افتح القفل للوصول البطاقات البالغ عددها 139 في هذه المجموعة.
فتح الحزمة
k this deck
21
Which one of the following best describes the critical path of a PERT/CPM network?
A) the sequence of activities between a project's start and finish that takes the longest time to complete
B) the sequence of activities between a project's start and finish that has the maximum amount of activity slack
C) the set of activities that has no precedence relationships
D) the sequence of activities that has the lowest normal activity cost
A) the sequence of activities between a project's start and finish that takes the longest time to complete
B) the sequence of activities between a project's start and finish that has the maximum amount of activity slack
C) the set of activities that has no precedence relationships
D) the sequence of activities that has the lowest normal activity cost
فتح الحزمة
افتح القفل للوصول البطاقات البالغ عددها 139 في هذه المجموعة.
فتح الحزمة
k this deck
22
Figure to accompany Table 7.1
Table 7.1

Using the information shown in Table 7.1, what is the latest start time for activity E?
A) 2
B) 3
C) 5
D) 8
Table 7.1

Using the information shown in Table 7.1, what is the latest start time for activity E?
A) 2
B) 3
C) 5
D) 8
فتح الحزمة
افتح القفل للوصول البطاقات البالغ عددها 139 في هذه المجموعة.
فتح الحزمة
k this deck
23
To obtain the latest start and latest finish time in a network diagram, we must work forward through the network.
فتح الحزمة
افتح القفل للوصول البطاقات البالغ عددها 139 في هذه المجموعة.
فتح الحزمة
k this deck
24
Figure to accompany Table 7.1
Table 7.1

Using the information shown in Table 7.1, what is the project duration?
A) 15
B) 14
C) 12
D) 10
Table 7.1

Using the information shown in Table 7.1, what is the project duration?
A) 15
B) 14
C) 12
D) 10
فتح الحزمة
افتح القفل للوصول البطاقات البالغ عددها 139 في هذه المجموعة.
فتح الحزمة
k this deck
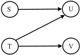
25
Figure 7.2

Which one of the following conditions violates the assumptions of PERT/CPM networks?
A) Some activities can have zero variance.
B) Costs increase linearly as activity time is reduced below its normal time.
C) Two activities tied together by an arc are overlapping and can be worked on simultaneously.
D) There can be more than one critical path in a network.

Which one of the following conditions violates the assumptions of PERT/CPM networks?
A) Some activities can have zero variance.
B) Costs increase linearly as activity time is reduced below its normal time.
C) Two activities tied together by an arc are overlapping and can be worked on simultaneously.
D) There can be more than one critical path in a network.
فتح الحزمة
افتح القفل للوصول البطاقات البالغ عددها 139 في هذه المجموعة.
فتح الحزمة
k this deck
26
Figure 7.1

For the network shown in Fig. 7.1, which of the following is the critical path?
A) ABCDEF
B) ABEF
C) ACDF
D) ACEF

For the network shown in Fig. 7.1, which of the following is the critical path?
A) ABCDEF
B) ABEF
C) ACDF
D) ACEF
فتح الحزمة
افتح القفل للوصول البطاقات البالغ عددها 139 في هذه المجموعة.
فتح الحزمة
k this deck
27
Figure to accompany Table 7.1
Table 7.1

Refer to the Figure to accompany Table 7.1. Which one of the following is the critical path?
A) ABDG
B) ABEG
C) ACEG
D) ACFG
Table 7.1

Refer to the Figure to accompany Table 7.1. Which one of the following is the critical path?
A) ABDG
B) ABEG
C) ACEG
D) ACFG
فتح الحزمة
افتح القفل للوصول البطاقات البالغ عددها 139 في هذه المجموعة.
فتح الحزمة
k this deck
28
A critical path is any sequence of activities between a project's start and finish.
فتح الحزمة
افتح القفل للوصول البطاقات البالغ عددها 139 في هذه المجموعة.
فتح الحزمة
k this deck
29
A Gantt chart is a project schedule that superimposes project activities on a time line.
فتح الحزمة
افتح القفل للوصول البطاقات البالغ عددها 139 في هذه المجموعة.
فتح الحزمة
k this deck
30
Figure 7.2

Which one of the following statements regarding Figure 7.2 is True?
A) Activity S cannot finish until activity T finishes.
B) Activity T cannot begin until activity U is completed.
C) Activity U cannot begin until activities S and T have been completed.
D) Activity V cannot begin until activity S has been completed.

Which one of the following statements regarding Figure 7.2 is True?
A) Activity S cannot finish until activity T finishes.
B) Activity T cannot begin until activity U is completed.
C) Activity U cannot begin until activities S and T have been completed.
D) Activity V cannot begin until activity S has been completed.
فتح الحزمة
افتح القفل للوصول البطاقات البالغ عددها 139 في هذه المجموعة.
فتح الحزمة
k this deck
31
The ________ is the sequence of activities between a project's start and finish that takes the longest time to complete.
فتح الحزمة
افتح القفل للوصول البطاقات البالغ عددها 139 في هذه المجموعة.
فتح الحزمة
k this deck
32
The earliest start time for an activity is equal to the:
A) smallest earliest finish time of all of its immediate predecessors.
B) largest earliest finish time of all of its immediate predecessors.
C) smallest late start time of any of its immediate predecessors.
D) largest late finish time of all of its immediate predecessors.
A) smallest earliest finish time of all of its immediate predecessors.
B) largest earliest finish time of all of its immediate predecessors.
C) smallest late start time of any of its immediate predecessors.
D) largest late finish time of all of its immediate predecessors.
فتح الحزمة
افتح القفل للوصول البطاقات البالغ عددها 139 في هذه المجموعة.
فتح الحزمة
k this deck
33
The earliest start time is never the same as the latest start time.
فتح الحزمة
افتح القفل للوصول البطاقات البالغ عددها 139 في هذه المجموعة.
فتح الحزمة
k this deck
34
A project has three paths. A-B-C has a length of 25 days. A-D-C has a length of 15 days. Finally, A-E-C has a length of 20 days. Which one of the following statements is True?
A) A-D-C is the critical path.
B) A-B-C has the most slack.
C) The expected duration of this project is 25 days.
D) The expected duration of this project is 25 + 15 + 20 = 60 days.
A) A-D-C is the critical path.
B) A-B-C has the most slack.
C) The expected duration of this project is 25 days.
D) The expected duration of this project is 25 + 15 + 20 = 60 days.
فتح الحزمة
افتح القفل للوصول البطاقات البالغ عددها 139 في هذه المجموعة.
فتح الحزمة
k this deck
35
Activity slack is defined as:
A) latest start time minus earliest start time.
B) earliest start time minus latest start time.
C) earliest finish time minus latest finish time.
D) latest finish time minus earliest start time.
A) latest start time minus earliest start time.
B) earliest start time minus latest start time.
C) earliest finish time minus latest finish time.
D) latest finish time minus earliest start time.
فتح الحزمة
افتح القفل للوصول البطاقات البالغ عددها 139 في هذه المجموعة.
فتح الحزمة
k this deck
36
Assume that activity G has the following times: Early start time = 7 days
Early finish time = 13 days
Late start time = 15 days
Late finish time = 21 days
Which of the following statements is True about activity G?
A) Activity G takes 14 days to complete.
B) Activity G has a slack time of 8 days.
C) Activity G is on the critical path.
D) Activity G takes 2 days to complete.
Early finish time = 13 days
Late start time = 15 days
Late finish time = 21 days
Which of the following statements is True about activity G?
A) Activity G takes 14 days to complete.
B) Activity G has a slack time of 8 days.
C) Activity G is on the critical path.
D) Activity G takes 2 days to complete.
فتح الحزمة
افتح القفل للوصول البطاقات البالغ عددها 139 في هذه المجموعة.
فتح الحزمة
k this deck
37
Figure to accompany Table 7.1
Table 7.1

Using the information shown in Table 7.1, what is the activity time for activity F?
A) 5
B) 11
C) 6
D) 1
Table 7.1

Using the information shown in Table 7.1, what is the activity time for activity F?
A) 5
B) 11
C) 6
D) 1
فتح الحزمة
افتح القفل للوصول البطاقات البالغ عددها 139 في هذه المجموعة.
فتح الحزمة
k this deck
38
Figure to accompany Table 7.1
Table 7.1

Using the information shown in Table 7.1, what is the earliest finish time for activity A?
A) 0
B) 2
C) 3
D) 4
Table 7.1

Using the information shown in Table 7.1, what is the earliest finish time for activity A?
A) 0
B) 2
C) 3
D) 4
فتح الحزمة
افتح القفل للوصول البطاقات البالغ عددها 139 في هذه المجموعة.
فتح الحزمة
k this deck
39
Figure 7.1

For the network shown in Fig. 7.1, what is the project duration?
A) 6
B) 15
C) 13
D) 14

For the network shown in Fig. 7.1, what is the project duration?
A) 6
B) 15
C) 13
D) 14
فتح الحزمة
افتح القفل للوصول البطاقات البالغ عددها 139 في هذه المجموعة.
فتح الحزمة
k this deck
40
Figure to accompany Table 7.1
Table 7.1

Using the information shown in Table 7.1, what is the slack time for activity D?
A) 1
B) 4
C) 6
D) 7
Table 7.1

Using the information shown in Table 7.1, what is the slack time for activity D?
A) 1
B) 4
C) 6
D) 7
فتح الحزمة
افتح القفل للوصول البطاقات البالغ عددها 139 في هذه المجموعة.
فتح الحزمة
k this deck
41
Table 7.5

Using Table 7.5, what is the latest start time for activity E?
A) day 8
B) day 10
C) day 12
D) day 14

Using Table 7.5, what is the latest start time for activity E?
A) day 8
B) day 10
C) day 12
D) day 14
فتح الحزمة
افتح القفل للوصول البطاقات البالغ عددها 139 في هذه المجموعة.
فتح الحزمة
k this deck
42
Table 7.5

Using Table 7.5, every day the construction crew is on-site costs $1000. What activities would you consider crashing to reduce the project completion cost?
A) Activity E
B) Activity F
C) Activity G
D) All of these activities would be candidates for crashing.

Using Table 7.5, every day the construction crew is on-site costs $1000. What activities would you consider crashing to reduce the project completion cost?
A) Activity E
B) Activity F
C) Activity G
D) All of these activities would be candidates for crashing.
فتح الحزمة
افتح القفل للوصول البطاقات البالغ عددها 139 في هذه المجموعة.
فتح الحزمة
k this deck
43
Why do managers want to know the slack of activities?
فتح الحزمة
افتح القفل للوصول البطاقات البالغ عددها 139 في هذه المجموعة.
فتح الحزمة
k this deck
44
Explain the importance of the critical path in project management.
فتح الحزمة
افتح القفل للوصول البطاقات البالغ عددها 139 في هذه المجموعة.
فتح الحزمة
k this deck
45
Table 7.4

Using Table 7.4, what is the earliest completion time for this project?
A) 18 weeks
B) 19 weeks
C) 20 weeks
D) 21 weeks

Using Table 7.4, what is the earliest completion time for this project?
A) 18 weeks
B) 19 weeks
C) 20 weeks
D) 21 weeks
فتح الحزمة
افتح القفل للوصول البطاقات البالغ عددها 139 في هذه المجموعة.
فتح الحزمة
k this deck
46
Table 7.4

Using Table 7.4, what is the largest amount of slack that any activity in the project has?
A) zero weeks
B) two weeks
C) four weeks
D) six weeks

Using Table 7.4, what is the largest amount of slack that any activity in the project has?
A) zero weeks
B) two weeks
C) four weeks
D) six weeks
فتح الحزمة
افتح القفل للوصول البطاقات البالغ عددها 139 في هذه المجموعة.
فتح الحزمة
k this deck
47
________ is the maximum length of time that an activity can be delayed without delaying the entire project.
فتح الحزمة
افتح القفل للوصول البطاقات البالغ عددها 139 في هذه المجموعة.
فتح الحزمة
k this deck
48
Phoebe B. Beebee is constructing a canal for the annual canoe races and has identified eleven activities that are required to complete this important project. She calculated early and late start times and early and late finish times but spilled coffee all over her printout. Use the remaining information to reconstruct the table for Phoebe B. Beebee and her new canoe canal.


فتح الحزمة
افتح القفل للوصول البطاقات البالغ عددها 139 في هذه المجموعة.
فتح الحزمة
k this deck
49
The normal cost is the amount of money it normally takes to complete an activity faster than its normal time.
فتح الحزمة
افتح القفل للوصول البطاقات البالغ عددها 139 في هذه المجموعة.
فتح الحزمة
k this deck
50
A project manager should stop crashing a project if the time budget has been met or if the crash costs have exceeded the savings in indirect and penalty costs.
فتح الحزمة
افتح القفل للوصول البطاقات البالغ عددها 139 في هذه المجموعة.
فتح الحزمة
k this deck
51
Table 7.5

Using Table 7.5, what is the earliest completion time of this project?
A) 23 days
B) 25 days
C) 27 days
D) 29 days

Using Table 7.5, what is the earliest completion time of this project?
A) 23 days
B) 25 days
C) 27 days
D) 29 days
فتح الحزمة
افتح القفل للوصول البطاقات البالغ عددها 139 في هذه المجموعة.
فتح الحزمة
k this deck
52
Table 7.5

Using Table 7.5, how many days can activity C be delayed without changing the whole project's earliest completion time?
A) 0 days
B) 2 days
C) 5 days
D) 7 days

Using Table 7.5, how many days can activity C be delayed without changing the whole project's earliest completion time?
A) 0 days
B) 2 days
C) 5 days
D) 7 days
فتح الحزمة
افتح القفل للوصول البطاقات البالغ عددها 139 في هذه المجموعة.
فتح الحزمة
k this deck
53
Table 7.4

Using Table 7.4, what is the latest finish time for activity C?
A) week 4
B) week 6
C) week 8
D) week 10

Using Table 7.4, what is the latest finish time for activity C?
A) week 4
B) week 6
C) week 8
D) week 10
فتح الحزمة
افتح القفل للوصول البطاقات البالغ عددها 139 في هذه المجموعة.
فتح الحزمة
k this deck
54
Draw the network corresponding to the following information. Also, complete the table, identify the critical path, and specify project completion time.


فتح الحزمة
افتح القفل للوصول البطاقات البالغ عددها 139 في هذه المجموعة.
فتح الحزمة
k this deck
55
Table 7.4

Using Table 7.4, what is the minimum number of activities that would have to be crashed to cause a decrease in the project's earliest completion date?
A) one activity
B) two activities
C) three activities
D) four or more activities

Using Table 7.4, what is the minimum number of activities that would have to be crashed to cause a decrease in the project's earliest completion date?
A) one activity
B) two activities
C) three activities
D) four or more activities
فتح الحزمة
افتح القفل للوصول البطاقات البالغ عددها 139 في هذه المجموعة.
فتح الحزمة
k this deck
56
Table 7.4

Using Table 7.4, what is the minimum number of activities that would have to be delayed to cause an increase in the project's earliest completion date?
A) one activity
B) two activities
C) three activities
D) four or more activities

Using Table 7.4, what is the minimum number of activities that would have to be delayed to cause an increase in the project's earliest completion date?
A) one activity
B) two activities
C) three activities
D) four or more activities
فتح الحزمة
افتح القفل للوصول البطاقات البالغ عددها 139 في هذه المجموعة.
فتح الحزمة
k this deck
57
Table 7.4

Using Table 7.4, what is the early start time for activity D?
A) week 9
B) week 4
C) week 7
D) week 0

Using Table 7.4, what is the early start time for activity D?
A) week 9
B) week 4
C) week 7
D) week 0
فتح الحزمة
افتح القفل للوصول البطاقات البالغ عددها 139 في هذه المجموعة.
فتح الحزمة
k this deck
58
Table 7.5

Disaster strikes and activity F takes 20 days instead of the anticipated 5 days. Using Table 7.5, how much longer will the project last than initially estimated?
A) 15 days
B) 0 days
C) 7 days
D) 3 days

Disaster strikes and activity F takes 20 days instead of the anticipated 5 days. Using Table 7.5, how much longer will the project last than initially estimated?
A) 15 days
B) 0 days
C) 7 days
D) 3 days
فتح الحزمة
افتح القفل للوصول البطاقات البالغ عددها 139 في هذه المجموعة.
فتح الحزمة
k this deck
59
Table 7.5

Using Table 7.5, what is the earliest that activity D can be finished?
A) 18 days
B) 8 days
C) 13 days
D) 25 days

Using Table 7.5, what is the earliest that activity D can be finished?
A) 18 days
B) 8 days
C) 13 days
D) 25 days
فتح الحزمة
افتح القفل للوصول البطاقات البالغ عددها 139 في هذه المجموعة.
فتح الحزمة
k this deck
60
Table 7.4

Using Table 7.4, what is the slack associated with activity B?
A) 1 week
B) 2 weeks
C) 3 weeks
D) None of these is the correct activity slack for B.

Using Table 7.4, what is the slack associated with activity B?
A) 1 week
B) 2 weeks
C) 3 weeks
D) None of these is the correct activity slack for B.
فتح الحزمة
افتح القفل للوصول البطاقات البالغ عددها 139 في هذه المجموعة.
فتح الحزمة
k this deck
61
Figure to accompany Table 7.7
Table 7.7

How many week(s) of crashing are available for activity B in Table 7.7?
A) 0
B) 1
C) 2
D) 3
Table 7.7

How many week(s) of crashing are available for activity B in Table 7.7?
A) 0
B) 1
C) 2
D) 3
فتح الحزمة
افتح القفل للوصول البطاقات البالغ عددها 139 في هذه المجموعة.
فتح الحزمة
k this deck
62
Table 7.6

Using Table 7.6, suppose activity D can be shortened from four days to one day. Assume all other activity times remain the same. How much shorter will the total project earliest completion time become?
A) zero days
B) one day
C) two days
D) three days

Using Table 7.6, suppose activity D can be shortened from four days to one day. Assume all other activity times remain the same. How much shorter will the total project earliest completion time become?
A) zero days
B) one day
C) two days
D) three days
فتح الحزمة
افتح القفل للوصول البطاقات البالغ عددها 139 في هذه المجموعة.
فتح الحزمة
k this deck
63
Figure to accompany Table 7.7
Table 7.7

Which activity should be crashed first for the project shown in Table 7.7?
A) A
B) B
C) C
D) D
Table 7.7

Which activity should be crashed first for the project shown in Table 7.7?
A) A
B) B
C) C
D) D
فتح الحزمة
افتح القفل للوصول البطاقات البالغ عددها 139 في هذه المجموعة.
فتح الحزمة
k this deck
64
Figure to accompany Table 7.7
Table 7.7

What is the crashing cost per week for activity E in Table 7.7?
A) $1,000
B) $2,000
C) $3,000
D) This activity cannot be crashed.
Table 7.7

What is the crashing cost per week for activity E in Table 7.7?
A) $1,000
B) $2,000
C) $3,000
D) This activity cannot be crashed.
فتح الحزمة
افتح القفل للوصول البطاقات البالغ عددها 139 في هذه المجموعة.
فتح الحزمة
k this deck
65
Table 7.8

Using Table 7.8, what is the earliest possible completion time for activity E after crashing?
A) day 11
B) day 13
C) day 15
D) day 17

Using Table 7.8, what is the earliest possible completion time for activity E after crashing?
A) day 11
B) day 13
C) day 15
D) day 17
فتح الحزمة
افتح القفل للوصول البطاقات البالغ عددها 139 في هذه المجموعة.
فتح الحزمة
k this deck
66
Table 7.8

Using Table 7.8, what is the activity with the greatest amount of slack?
A) A
B) B
C) C
D) D

Using Table 7.8, what is the activity with the greatest amount of slack?
A) A
B) B
C) C
D) D
فتح الحزمة
افتح القفل للوصول البطاقات البالغ عددها 139 في هذه المجموعة.
فتح الحزمة
k this deck
67
Figure to accompany Table 7.7
Table 7.7

If a decision is made to crash activity D in Table 7.7 by one week, what is the cost for this one week of crashing?
A) $3,000
B) $2,000
C) $2,500
D) This activity cannot be crashed.
Table 7.7

If a decision is made to crash activity D in Table 7.7 by one week, what is the cost for this one week of crashing?
A) $3,000
B) $2,000
C) $2,500
D) This activity cannot be crashed.
فتح الحزمة
افتح القفل للوصول البطاقات البالغ عددها 139 في هذه المجموعة.
فتح الحزمة
k this deck
68
Table 7.8

Using Table 7.8, what is the minimum completion time for this project after crashing?
A) 23 days
B) 21 days
C) 19 days
D) 17 days

Using Table 7.8, what is the minimum completion time for this project after crashing?
A) 23 days
B) 21 days
C) 19 days
D) 17 days
فتح الحزمة
افتح القفل للوصول البطاقات البالغ عددها 139 في هذه المجموعة.
فتح الحزمة
k this deck
69
Figure to accompany Table 7.7
Table 7.7

Determine the information missing from Table 7.7; then answer the following questions. How many week(s) of crashing are available for activity D in Table 2.9?
A) 0
B) 1
C) 2
D) 6
Table 7.7

Determine the information missing from Table 7.7; then answer the following questions. How many week(s) of crashing are available for activity D in Table 2.9?
A) 0
B) 1
C) 2
D) 6
فتح الحزمة
افتح القفل للوصول البطاقات البالغ عددها 139 في هذه المجموعة.
فتح الحزمة
k this deck
70
Figure to accompany Table 7.7
Table 7.7

How many weeks of crashing are available for activity C in Table 7.7?
A) 0
B) 1
C) 2
D) 6
Table 7.7

How many weeks of crashing are available for activity C in Table 7.7?
A) 0
B) 1
C) 2
D) 6
فتح الحزمة
افتح القفل للوصول البطاقات البالغ عددها 139 في هذه المجموعة.
فتح الحزمة
k this deck
71
Table 7.8

Using Table 7.8, what is the latest start time for activity E?
A) day 7
B) day 8
C) day 9
D) day 10

Using Table 7.8, what is the latest start time for activity E?
A) day 7
B) day 8
C) day 9
D) day 10
فتح الحزمة
افتح القفل للوصول البطاقات البالغ عددها 139 في هذه المجموعة.
فتح الحزمة
k this deck
72
Figure to accompany Table 7.7
Table 7.7

What is the crashing cost per week for activity F in Table 7.7?
A) $2,000
B) $3,000
C) $4,000
D) This activity cannot be crashed.
Table 7.7

What is the crashing cost per week for activity F in Table 7.7?
A) $2,000
B) $3,000
C) $4,000
D) This activity cannot be crashed.
فتح الحزمة
افتح القفل للوصول البطاقات البالغ عددها 139 في هذه المجموعة.
فتح الحزمة
k this deck
73
Table 7.6

Using Table 7.6, what is the critical path for this project?
A) B-E-H-K
B) B-E-H-J
C) A-E-G-J
D) C-F-I-L

Using Table 7.6, what is the critical path for this project?
A) B-E-H-K
B) B-E-H-J
C) A-E-G-J
D) C-F-I-L
فتح الحزمة
افتح القفل للوصول البطاقات البالغ عددها 139 في هذه المجموعة.
فتح الحزمة
k this deck
74
Figure to accompany Table 7.7
Table 7.7

What is the crashing cost per week for activity A in Table 7.7?
A) $2,000
B) $3,000
C) $4,000
D) This activity cannot be crashed.
Table 7.7

What is the crashing cost per week for activity A in Table 7.7?
A) $2,000
B) $3,000
C) $4,000
D) This activity cannot be crashed.
فتح الحزمة
افتح القفل للوصول البطاقات البالغ عددها 139 في هذه المجموعة.
فتح الحزمة
k this deck
75
Figure to accompany Table 7.7
Table 7.7

What is the critical path for the project shown in the above network and Table 7.7, using the normal times?
A) A-B-D-F
B) A-C-D-F
C) A-C-E-F
D) A-B-C-D-E-F
Table 7.7

What is the critical path for the project shown in the above network and Table 7.7, using the normal times?
A) A-B-D-F
B) A-C-D-F
C) A-C-E-F
D) A-B-C-D-E-F
فتح الحزمة
افتح القفل للوصول البطاقات البالغ عددها 139 في هذه المجموعة.
فتح الحزمة
k this deck
76
Table 7.8

Using Table 7.8, what is the minimum crashing cost to finish this project in 18 days?
A) $3,450
B) $850
C) $1,150
D) $1,500

Using Table 7.8, what is the minimum crashing cost to finish this project in 18 days?
A) $3,450
B) $850
C) $1,150
D) $1,500
فتح الحزمة
افتح القفل للوصول البطاقات البالغ عددها 139 في هذه المجموعة.
فتح الحزمة
k this deck
77
Table 7.6

Using Table 7.6, suppose activity I is delayed, taking eight days to complete instead of two days. Assume all other activity times remain the same. How much longer will the total project earliest completion time become?
A) zero days
B) one or two days
C) three or four days
D) five or six days

Using Table 7.6, suppose activity I is delayed, taking eight days to complete instead of two days. Assume all other activity times remain the same. How much longer will the total project earliest completion time become?
A) zero days
B) one or two days
C) three or four days
D) five or six days
فتح الحزمة
افتح القفل للوصول البطاقات البالغ عددها 139 في هذه المجموعة.
فتح الحزمة
k this deck
78
Table 7.9

Using Table 7.9, what is the earliest completion time of this project if normal times are used for all activities?
A) fewer than 13 weeks
B) 13 weeks
C) 14 weeks
D) more than 14 weeks

Using Table 7.9, what is the earliest completion time of this project if normal times are used for all activities?
A) fewer than 13 weeks
B) 13 weeks
C) 14 weeks
D) more than 14 weeks
فتح الحزمة
افتح القفل للوصول البطاقات البالغ عددها 139 في هذه المجموعة.
فتح الحزمة
k this deck
79
Table 7.6

Using Table 7.6, what is the latest start time for activity A?
A) day 0
B) day 1
C) day 2
D) day 3 or later

Using Table 7.6, what is the latest start time for activity A?
A) day 0
B) day 1
C) day 2
D) day 3 or later
فتح الحزمة
افتح القفل للوصول البطاقات البالغ عددها 139 في هذه المجموعة.
فتح الحزمة
k this deck
80
Table 7.8

Using Table 7.8, what is the critical path for this project using the normal times?
A) A-D-H
B) C-F
C) B-E-H
D) B-G-H

Using Table 7.8, what is the critical path for this project using the normal times?
A) A-D-H
B) C-F
C) B-E-H
D) B-G-H
فتح الحزمة
افتح القفل للوصول البطاقات البالغ عددها 139 في هذه المجموعة.
فتح الحزمة
k this deck

