Deck 16: Reactions of Aldehydes and Ketones More Reactions of Carboxylic Acid Derivatives
سؤال
سؤال
سؤال
سؤال
سؤال
سؤال
سؤال
سؤال
سؤال
سؤال
سؤال
فتح الحزمة
قم بالتسجيل لفتح البطاقات في هذه المجموعة!
Unlock Deck
Unlock Deck
1/11
العب
ملء الشاشة (f)
Deck 16: Reactions of Aldehydes and Ketones More Reactions of Carboxylic Acid Derivatives
1
What is the systematic name of the following compound?

A) 3-methyl-4-oxopentanal
B) 3-methyl-2-oxopentanal
C) 3-methyl-2-oxo-5-pentanal
D) 3-methyl-5-oxo-2-pentanone
E) 3-methylpentan-5-one-1-al

A) 3-methyl-4-oxopentanal
B) 3-methyl-2-oxopentanal
C) 3-methyl-2-oxo-5-pentanal
D) 3-methyl-5-oxo-2-pentanone
E) 3-methylpentan-5-one-1-al
3-methyl-4-oxopentanal
2
What is the correct order of decreasing reactivity toward nucleophilic addition?
1) Acyl halide
2) Aldehyde
3) Carboxylate ion
4) Carboxylic acid
5) Ketone
A) 1>2>3>4>5
B) 1>2>5>4>3
C) 1>5>2>4>3
D) 2>5>1>3>4
E) 5>2>1>3>4
1) Acyl halide
2) Aldehyde
3) Carboxylate ion
4) Carboxylic acid
5) Ketone
A) 1>2>3>4>5
B) 1>2>5>4>3
C) 1>5>2>4>3
D) 2>5>1>3>4
E) 5>2>1>3>4
1>2>5>4>3
3
Which pair of reagents will form the given product? 
A) a + g
B) b + f
C) c + e
D) d + f
E) all except D

A) a + g
B) b + f
C) c + e
D) d + f
E) all except D
all except D
4
Which reagent(s) will form the given product? 
A) NaBH4
B) LiAlH4
C) Raney Ni/H2
D) H2, Pd/C
E) A and B

A) NaBH4
B) LiAlH4
C) Raney Ni/H2
D) H2, Pd/C
E) A and B
فتح الحزمة
افتح القفل للوصول البطاقات البالغ عددها 11 في هذه المجموعة.
فتح الحزمة
k this deck
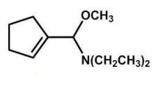
5
What is the product of the following reaction? 
A) an amine
B) a carbinolamine
C) an enamine
D) an imine
E) no reaction

A) an amine
B) a carbinolamine
C) an enamine
D) an imine
E) no reaction
فتح الحزمة
افتح القفل للوصول البطاقات البالغ عددها 11 في هذه المجموعة.
فتح الحزمة
k this deck
6
Which reagents will form the given product?

A)
B)
C)
D)
E)

A)

B)

C)

D)

E)

فتح الحزمة
افتح القفل للوصول البطاقات البالغ عددها 11 في هذه المجموعة.
فتح الحزمة
k this deck
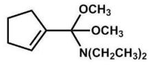
7
The role of an acid catalyst in the formation of an acetal is to____________.
A) protonate the C?O, making it a better electrophile
B) protonate the C?O, making it more reactive toward weak nucleophiles such as alcohols
C) protonate the hemiacetal, which facilitates loss of water
D) do all of the above
A) protonate the C?O, making it a better electrophile
B) protonate the C?O, making it more reactive toward weak nucleophiles such as alcohols
C) protonate the hemiacetal, which facilitates loss of water
D) do all of the above
فتح الحزمة
افتح القفل للوصول البطاقات البالغ عددها 11 في هذه المجموعة.
فتح الحزمة
k this deck
8
What is the product of the following reaction? 
A)
B)
C)
D)
E) No reaction

A)

B)

C)

D)

E) No reaction
فتح الحزمة
افتح القفل للوصول البطاقات البالغ عددها 11 في هذه المجموعة.
فتح الحزمة
k this deck
9
Which of the following alkyl halides cannot be used to form a phosphonium ylide?
A)
B)
C)
D)
A)

B)

C)

D)

فتح الحزمة
افتح القفل للوصول البطاقات البالغ عددها 11 في هذه المجموعة.
فتح الحزمة
k this deck
10
What is the major product of the following reaction?

A)
B)
C)
D)
E)

A)

B)

C)

D)

E)

فتح الحزمة
افتح القفل للوصول البطاقات البالغ عددها 11 في هذه المجموعة.
فتح الحزمة
k this deck
11
What is the major product of the following reaction? 
A)
B)
C)
D)
E)

A)

B)

C)

D)

E)

فتح الحزمة
افتح القفل للوصول البطاقات البالغ عددها 11 في هذه المجموعة.
فتح الحزمة
k this deck

