Deck 7: Introduction to Linear Programming
سؤال
سؤال
سؤال
سؤال
سؤال
سؤال
سؤال
سؤال
سؤال
سؤال
سؤال
سؤال
سؤال
سؤال
سؤال
سؤال
سؤال
سؤال
سؤال
سؤال
سؤال
سؤال
سؤال
سؤال
سؤال
سؤال
سؤال
سؤال
سؤال
سؤال
سؤال
سؤال
سؤال
سؤال
سؤال
سؤال
سؤال
سؤال
سؤال
سؤال
سؤال
سؤال
سؤال
سؤال
سؤال
سؤال
سؤال
سؤال
سؤال
سؤال
سؤال
سؤال
سؤال
سؤال
سؤال
سؤال
سؤال
سؤال
سؤال
سؤال
فتح الحزمة
قم بالتسجيل لفتح البطاقات في هذه المجموعة!
Unlock Deck
Unlock Deck
1/60
العب
ملء الشاشة (f)
Deck 7: Introduction to Linear Programming
1
The maximization or minimization of a quantity is the
A)goal of management science.
B)decision for decision analysis.
C)constraint of operations research.
D)objective of linear programming.
A)goal of management science.
B)decision for decision analysis.
C)constraint of operations research.
D)objective of linear programming.
D
2
If there is a maximum of 4,000 hours of labor available per month and 300 ping-pong balls (x1)or 125 wiffle balls (x2)can be produced per hour of labor,which of the following constraints reflects this situation?
A)300x1 + 125x2 > 4,000
B)300x1 + 125x2 < 4,000
C)425(x1 + x2) < 4,000
D)300x1 + 125x2 = 4,000
A)300x1 + 125x2 > 4,000
B)300x1 + 125x2 < 4,000
C)425(x1 + x2) < 4,000
D)300x1 + 125x2 = 4,000
B
3
As long as the slope of the objective function stays between the slopes of the binding constraints
A)the value of the objective function won't change.
B)there will be alternative optimal solutions.
C)the values of the dual variables won't change.
D)there will be no slack in the solution.
A)the value of the objective function won't change.
B)there will be alternative optimal solutions.
C)the values of the dual variables won't change.
D)there will be no slack in the solution.
C
4
A constraint that does not affect the feasible region is a
A)non-negativity constraint.
B)redundant constraint.
C)standard constraint.
D)slack constraint.
A)non-negativity constraint.
B)redundant constraint.
C)standard constraint.
D)slack constraint.
فتح الحزمة
افتح القفل للوصول البطاقات البالغ عددها 60 في هذه المجموعة.
فتح الحزمة
k this deck
5
A redundant constraint results in
A)no change in the optimal solution(s)
B)an unbounded solution
C)no feasible solution
D)alternative optimal solutions
A)no change in the optimal solution(s)
B)an unbounded solution
C)no feasible solution
D)alternative optimal solutions
فتح الحزمة
افتح القفل للوصول البطاقات البالغ عددها 60 في هذه المجموعة.
فتح الحزمة
k this deck
6
A solution that satisfies all the constraints of a linear programming problem except the nonnegativity constraints is called
A)optimal.
B)feasible.
C)infeasible.
D)semi-feasible.
A)optimal.
B)feasible.
C)infeasible.
D)semi-feasible.
فتح الحزمة
افتح القفل للوصول البطاقات البالغ عددها 60 في هذه المجموعة.
فتح الحزمة
k this deck
7
Slack
A)is the difference between the left and right sides of a constraint.
B)is the amount by which the left side of a constraint is smaller than the right side.
C)is the amount by which the left side of a constraint is larger than the right side.
D)exists for each variable in a linear programming problem.
A)is the difference between the left and right sides of a constraint.
B)is the amount by which the left side of a constraint is smaller than the right side.
C)is the amount by which the left side of a constraint is larger than the right side.
D)exists for each variable in a linear programming problem.
فتح الحزمة
افتح القفل للوصول البطاقات البالغ عددها 60 في هذه المجموعة.
فتح الحزمة
k this deck
8
In what part(s)of a linear programming formulation would the decision variables be stated?
A)objective function and the left-hand side of each constraint
B)objective function and the right-hand side of each constraint
C)the left-hand side of each constraint only
D)the objective function only
A)objective function and the left-hand side of each constraint
B)objective function and the right-hand side of each constraint
C)the left-hand side of each constraint only
D)the objective function only
فتح الحزمة
افتح القفل للوصول البطاقات البالغ عددها 60 في هذه المجموعة.
فتح الحزمة
k this deck
9
Which of the following statements is not true?
A)A feasible solution satisfies all constraints.
B)An optimal solution satisfies all constraints.
C)An infeasible solution violates all constraints.
D)A feasible solution point does not have to lie on the boundary of the feasible region.
A)A feasible solution satisfies all constraints.
B)An optimal solution satisfies all constraints.
C)An infeasible solution violates all constraints.
D)A feasible solution point does not have to lie on the boundary of the feasible region.
فتح الحزمة
افتح القفل للوصول البطاقات البالغ عددها 60 في هذه المجموعة.
فتح الحزمة
k this deck
10
Decision variables
A)tell how much or how many of something to produce, invest, purchase, hire, etc.
B)represent the values of the constraints.
C)measure the objective function.
D)must exist for each constraint.
A)tell how much or how many of something to produce, invest, purchase, hire, etc.
B)represent the values of the constraints.
C)measure the objective function.
D)must exist for each constraint.
فتح الحزمة
افتح القفل للوصول البطاقات البالغ عددها 60 في هذه المجموعة.
فتح الحزمة
k this deck
11
The improvement in the value of the objective function per unit increase in a right-hand side is the
A)sensitivity value.
B)dual price.
C)constraint coefficient.
D)slack value.
A)sensitivity value.
B)dual price.
C)constraint coefficient.
D)slack value.
فتح الحزمة
افتح القفل للوصول البطاقات البالغ عددها 60 في هذه المجموعة.
فتح الحزمة
k this deck
12
All of the following statements about a redundant constraint are correct except
A)A redundant constraint does not affect the optimal solution.
B)A redundant constraint does not affect the feasible region.
C)Recognizing a redundant constraint is easy with the graphical solution method.
D)At the optimal solution, a redundant constraint will have zero slack.
A)A redundant constraint does not affect the optimal solution.
B)A redundant constraint does not affect the feasible region.
C)Recognizing a redundant constraint is easy with the graphical solution method.
D)At the optimal solution, a redundant constraint will have zero slack.
فتح الحزمة
افتح القفل للوصول البطاقات البالغ عددها 60 في هذه المجموعة.
فتح الحزمة
k this deck
13
Whenever all the constraints in a linear program are expressed as equalities,the linear program is said to be written in
A)standard form.
B)bounded form.
C)feasible form.
D)alternative form.
A)standard form.
B)bounded form.
C)feasible form.
D)alternative form.
فتح الحزمة
افتح القفل للوصول البطاقات البالغ عددها 60 في هذه المجموعة.
فتح الحزمة
k this deck
14
To find the optimal solution to a linear programming problem using the graphical method
A)find the feasible point that is the farthest away from the origin.
B)find the feasible point that is at the highest location.
C)find the feasible point that is closest to the origin.
D)None of the alternatives is correct.
A)find the feasible point that is the farthest away from the origin.
B)find the feasible point that is at the highest location.
C)find the feasible point that is closest to the origin.
D)None of the alternatives is correct.
فتح الحزمة
افتح القفل للوصول البطاقات البالغ عددها 60 في هذه المجموعة.
فتح الحزمة
k this deck
15
Increasing the right-hand side of a nonbinding constraint will not cause a change in the optimal solution.
فتح الحزمة
افتح القفل للوصول البطاقات البالغ عددها 60 في هذه المجموعة.
فتح الحزمة
k this deck
16
A variable added to the left-hand side of a less-than-or-equal-to constraint to convert the constraint into an equality is
A)a standard variable
B)a slack variable
C)a surplus variable
D)a non-negative variable
A)a standard variable
B)a slack variable
C)a surplus variable
D)a non-negative variable
فتح الحزمة
افتح القفل للوصول البطاقات البالغ عددها 60 في هذه المجموعة.
فتح الحزمة
k this deck
17
Which of the following special cases does not require reformulation of the problem in order to obtain a solution?
A)alternate optimality
B)infeasibility
C)unboundedness
D)each case requires a reformulation.
A)alternate optimality
B)infeasibility
C)unboundedness
D)each case requires a reformulation.
فتح الحزمة
افتح القفل للوصول البطاقات البالغ عددها 60 في هذه المجموعة.
فتح الحزمة
k this deck
18
All linear programming problems have all of the following properties except
A)a linear objective function that is to be maximized or minimized.
B)a set of linear constraints.
C)alternative optimal solutions.
D)variables that are all restricted to nonnegative values.
A)a linear objective function that is to be maximized or minimized.
B)a set of linear constraints.
C)alternative optimal solutions.
D)variables that are all restricted to nonnegative values.
فتح الحزمة
افتح القفل للوصول البطاقات البالغ عددها 60 في هذه المجموعة.
فتح الحزمة
k this deck
19
Which of the following is a valid objective function for a linear programming problem?
A)Max 5xy
B)Min 4x + 3y + (2/3)z
C)Max 5x2 + 6y2
D)Min (x1 + x2)/x3
A)Max 5xy
B)Min 4x + 3y + (2/3)z
C)Max 5x2 + 6y2
D)Min (x1 + x2)/x3
فتح الحزمة
افتح القفل للوصول البطاقات البالغ عددها 60 في هذه المجموعة.
فتح الحزمة
k this deck
20
The three assumptions necessary for a linear programming model to be appropriate include all of the following except
A)proportionality
B)additivity
C)divisibility
D)normality
A)proportionality
B)additivity
C)divisibility
D)normality
فتح الحزمة
افتح القفل للوصول البطاقات البالغ عددها 60 في هذه المجموعة.
فتح الحزمة
k this deck
21
It is possible to have exactly two optimal solutions to a linear programming problem.
فتح الحزمة
افتح القفل للوصول البطاقات البالغ عددها 60 في هذه المجموعة.
فتح الحزمة
k this deck
22
The constraint 5x1 2x2 0 passes through the point (20,50).
فتح الحزمة
افتح القفل للوصول البطاقات البالغ عددها 60 في هذه المجموعة.
فتح الحزمة
k this deck
23
An infeasible problem is one in which the objective function can be increased to infinity.
فتح الحزمة
افتح القفل للوصول البطاقات البالغ عددها 60 في هذه المجموعة.
فتح الحزمة
k this deck
24
A redundant constraint is a binding constraint.
فتح الحزمة
افتح القفل للوصول البطاقات البالغ عددها 60 في هذه المجموعة.
فتح الحزمة
k this deck
25
Decision variables limit the degree to which the objective in a linear programming problem is satisfied.
فتح الحزمة
افتح القفل للوصول البطاقات البالغ عددها 60 في هذه المجموعة.
فتح الحزمة
k this deck
26
In a linear programming problem,the objective function and the constraints must be linear functions of the decision variables.
فتح الحزمة
افتح القفل للوصول البطاقات البالغ عددها 60 في هذه المجموعة.
فتح الحزمة
k this deck
27
The constraint 2x1 x2 = 0 passes through the point (200,100).
فتح الحزمة
افتح القفل للوصول البطاقات البالغ عددها 60 في هذه المجموعة.
فتح الحزمة
k this deck
28
An optimal solution to a linear programming problem can be found at an extreme point of the feasible region for the problem.
فتح الحزمة
افتح القفل للوصول البطاقات البالغ عددها 60 في هذه المجموعة.
فتح الحزمة
k this deck
29
A linear programming problem can be both unbounded and infeasible.
فتح الحزمة
افتح القفل للوصول البطاقات البالغ عددها 60 في هذه المجموعة.
فتح الحزمة
k this deck
30
Explain the difference between profit and contribution in an objective function.Why is it important for the decision maker to know which of these the objective function coefficients represent?
فتح الحزمة
افتح القفل للوصول البطاقات البالغ عددها 60 في هذه المجموعة.
فتح الحزمة
k this deck
31
An unbounded feasible region might not result in an unbounded solution for a minimization or maximization problem.
فتح الحزمة
افتح القفل للوصول البطاقات البالغ عددها 60 في هذه المجموعة.
فتح الحزمة
k this deck
32
The point (3,2)is feasible for the constraint 2x1 + 6x2 30.
فتح الحزمة
افتح القفل للوصول البطاقات البالغ عددها 60 في هذه المجموعة.
فتح الحزمة
k this deck
33
In a feasible problem,an equal-to constraint cannot be nonbinding.
فتح الحزمة
افتح القفل للوصول البطاقات البالغ عددها 60 في هذه المجموعة.
فتح الحزمة
k this deck
34
Because surplus variables represent the amount by which the solution exceeds a minimum target,they are given positive coefficients in the objective function.
فتح الحزمة
افتح القفل للوصول البطاقات البالغ عددها 60 في هذه المجموعة.
فتح الحزمة
k this deck
35
No matter what value it has,each objective function line is parallel to every other objective function line in a problem.
فتح الحزمة
افتح القفل للوصول البطاقات البالغ عددها 60 في هذه المجموعة.
فتح الحزمة
k this deck
36
Only binding constraints form the shape (boundaries)of the feasible region.
فتح الحزمة
افتح القفل للوصول البطاقات البالغ عددها 60 في هذه المجموعة.
فتح الحزمة
k this deck
37
Alternative optimal solutions occur when there is no feasible solution to the problem.
فتح الحزمة
افتح القفل للوصول البطاقات البالغ عددها 60 في هذه المجموعة.
فتح الحزمة
k this deck
38
Because the dual price represents the improvement in the value of the optimal solution per unit increase in right-hand-side,a dual price cannot be negative.
فتح الحزمة
افتح القفل للوصول البطاقات البالغ عددها 60 في هذه المجموعة.
فتح الحزمة
k this deck
39
The standard form of a linear programming problem will have the same solution as the original problem.
فتح الحزمة
افتح القفل للوصول البطاقات البالغ عددها 60 في هذه المجموعة.
فتح الحزمة
k this deck
40
A range of optimality is applicable only if the other coefficient remains at its original value.
فتح الحزمة
افتح القفل للوصول البطاقات البالغ عددها 60 في هذه المجموعة.
فتح الحزمة
k this deck
41
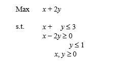
For the following linear programming problem,determine the optimal solution by the graphical solution method.Are any of the constraints redundant? If yes,then identify the constraint that is redundant.


فتح الحزمة
افتح القفل للوصول البطاقات البالغ عددها 60 في هذه المجموعة.
فتح الحزمة
k this deck
42
Muir Manufacturing produces two popular grades of commercial carpeting among its many other products.In the coming production period,Muir needs to decide how many rolls of each grade should be produced in order to maximize profit.Each roll of Grade X carpet uses 50 units of synthetic fiber,requires 25 hours of production time,and needs 20 units of foam backing.Each roll of Grade Y carpet uses 40 units of synthetic fiber,requires 28 hours of production time,and needs 15 units of foam backing.
The profit per roll of Grade X carpet is $200 and the profit per roll of Grade Y carpet is $160.In the coming production period,Muir has 3000 units of synthetic fiber available for use.Workers have been scheduled to provide at least 1800 hours of production time (overtime is a possibility).The company has 1500 units of foam backing available for use.
Develop and solve a linear programming model for this problem.
The profit per roll of Grade X carpet is $200 and the profit per roll of Grade Y carpet is $160.In the coming production period,Muir has 3000 units of synthetic fiber available for use.Workers have been scheduled to provide at least 1800 hours of production time (overtime is a possibility).The company has 1500 units of foam backing available for use.
Develop and solve a linear programming model for this problem.
فتح الحزمة
افتح القفل للوصول البطاقات البالغ عددها 60 في هذه المجموعة.
فتح الحزمة
k this deck
43
Explain what to look for in problems that are infeasible or unbounded.
فتح الحزمة
افتح القفل للوصول البطاقات البالغ عددها 60 في هذه المجموعة.
فتح الحزمة
k this deck
44
Does the following linear programming problem exhibit infeasibility,unboundedness,or alternate optimal solutions? Explain.


فتح الحزمة
افتح القفل للوصول البطاقات البالغ عددها 60 في هذه المجموعة.
فتح الحزمة
k this deck
45
Use this graph to answer the questions.
a.Which area (I, II, III, IV, or V) forms the feasible region?
b.Which point (A, B, C, D, or E) is optimal?
c.Which constraints are binding?
d.Which slack variables are zero?
a.Which area (I, II, III, IV, or V) forms the feasible region?
b.Which point (A, B, C, D, or E) is optimal?
c.Which constraints are binding?
d.Which slack variables are zero?
فتح الحزمة
افتح القفل للوصول البطاقات البالغ عددها 60 في هذه المجموعة.
فتح الحزمة
k this deck
46
A businessman is considering opening a small specialized trucking firm.To make the firm profitable,it is estimated that it must have a daily trucking capacity of at least 84,000 cu.ft.Two types of trucks are appropriate for the specialized operation.Their characteristics and costs are summarized in the table below.Note that truck 2 requires 3 drivers for long haul trips.There are 41 potential drivers available and there are facilities for at most 40 trucks.The businessman's objective is to minimize the total cost outlay for trucks.
Solve the problem graphically and note there are alternate optimal solutions.Which optimal solution:
a.uses only one type of truck?
b.utilizes the minimum total number of trucks?
c.uses the same number of small and large trucks?
Solve the problem graphically and note there are alternate optimal solutions.Which optimal solution: a.uses only one type of truck?
b.utilizes the minimum total number of trucks?
c.uses the same number of small and large trucks?
فتح الحزمة
افتح القفل للوصول البطاقات البالغ عددها 60 في هذه المجموعة.
فتح الحزمة
k this deck
47
Solve the following system of simultaneous equations.
6x + 2y = 50
2x + 4y = 20
6x + 2y = 50
2x + 4y = 20
فتح الحزمة
افتح القفل للوصول البطاقات البالغ عددها 60 في هذه المجموعة.
فتح الحزمة
k this deck
48
Maxwell Manufacturing makes two models of felt tip marking pens.Requirements for each lot of pens are given below.
The profit for either model is $1000 per lot.
a.What is the linear programming model for this problem?
b.Find the optimal solution.
c.Will there be excess capacity in any resource?
The profit for either model is $1000 per lot. a.What is the linear programming model for this problem?
b.Find the optimal solution.
c.Will there be excess capacity in any resource?
فتح الحزمة
افتح القفل للوصول البطاقات البالغ عددها 60 في هذه المجموعة.
فتح الحزمة
k this deck
49
Find the complete optimal solution to this linear programming problem.


فتح الحزمة
افتح القفل للوصول البطاقات البالغ عددها 60 في هذه المجموعة.
فتح الحزمة
k this deck
50
Use a graph to illustrate why a change in an objective function coefficient does not necessarily lead to a change in the optimal values of the decision variables,but a change in the right-hand sides of a binding constraint does lead to new values.
فتح الحزمة
افتح القفل للوصول البطاقات البالغ عددها 60 في هذه المجموعة.
فتح الحزمة
k this deck
51
Find the complete optimal solution to this linear programming problem.


فتح الحزمة
افتح القفل للوصول البطاقات البالغ عددها 60 في هذه المجموعة.
فتح الحزمة
k this deck
52
Find the complete optimal solution to this linear programming problem.


فتح الحزمة
افتح القفل للوصول البطاقات البالغ عددها 60 في هذه المجموعة.
فتح الحزمة
k this deck
53
Solve the following system of simultaneous equations.
6x + 4y = 40
2x + 3y = 20
6x + 4y = 40
2x + 3y = 20
فتح الحزمة
افتح القفل للوصول البطاقات البالغ عددها 60 في هذه المجموعة.
فتح الحزمة
k this deck
54
Find the complete optimal solution to this linear programming problem.


فتح الحزمة
افتح القفل للوصول البطاقات البالغ عددها 60 في هذه المجموعة.
فتح الحزمة
k this deck
55
Explain the concepts of proportionality,additivity,and divisibility.
فتح الحزمة
افتح القفل للوصول البطاقات البالغ عددها 60 في هذه المجموعة.
فتح الحزمة
k this deck
56
Solve the following linear program by the graphical method.


فتح الحزمة
افتح القفل للوصول البطاقات البالغ عددها 60 في هذه المجموعة.
فتح الحزمة
k this deck
57
The Sanders Garden Shop mixes two types of grass seed into a blend.Each type of grass has been rated (per pound)according to its shade tolerance,ability to stand up to traffic,and drought resistance,as shown in the table.Type A seed costs $1 and Type B seed costs $2.If the blend needs to score at least 300 points for shade tolerance,400 points for traffic resistance,and 750 points for drought resistance,how many pounds of each seed should be in the blend? Which targets will be exceeded? How much will the blend cost? 

فتح الحزمة
افتح القفل للوصول البطاقات البالغ عددها 60 في هذه المجموعة.
فتح الحزمة
k this deck
58
Create a linear programming problem with two decision variables and three constraints that will include both a slack and a surplus variable in standard form.Write your problem in standard form.
فتح الحزمة
افتح القفل للوصول البطاقات البالغ عددها 60 في هذه المجموعة.
فتح الحزمة
k this deck
59
Explain how to graph the line x1 2x2 0.
فتح الحزمة
افتح القفل للوصول البطاقات البالغ عددها 60 في هذه المجموعة.
فتح الحزمة
k this deck
60
Does the following linear programming problem exhibit infeasibility,unboundedness,or alternate optimal solutions? Explain.


فتح الحزمة
افتح القفل للوصول البطاقات البالغ عددها 60 في هذه المجموعة.
فتح الحزمة
k this deck

