Deck 19: Biomolecules: Amino Acids,peptides,and Proteins
سؤال
سؤال
سؤال
سؤال
سؤال
سؤال
سؤال
سؤال
سؤال
سؤال
سؤال
سؤال
سؤال
سؤال
سؤال
سؤال
سؤال
سؤال
سؤال
سؤال
سؤال
سؤال
سؤال
سؤال
سؤال
سؤال
سؤال
سؤال
سؤال
سؤال
سؤال
سؤال
سؤال
سؤال
سؤال
سؤال
فتح الحزمة
قم بالتسجيل لفتح البطاقات في هذه المجموعة!
Unlock Deck
Unlock Deck
1/36
العب
ملء الشاشة (f)
Deck 19: Biomolecules: Amino Acids,peptides,and Proteins
1
Refer to the data below to answer the following question.
Refer to instructions.At what pH would you carry out an electrophoresis experiment if you wanted to separate a mixture of lysine,aspartic acid and phenylalanine? Explain.
Refer to instructions.At what pH would you carry out an electrophoresis experiment if you wanted to separate a mixture of lysine,aspartic acid and phenylalanine? Explain.
The optimum pH for the electrophoresis of three amino acids occurs at the isoelectric point of the amino acid intermediate in acidity.At this pH,one amino acid migrates toward the cathode (the least acidic),one migrates toward the anode (the most acidic),and the amino acid intermediate in acidity does not migrate.In this example,electrophoresis at 5.89 allows the maximum separation of the three amino acids.
2
Instructions: Match a term from the list below to each definition.



3
Draw and name the structure of the product of the following reaction.
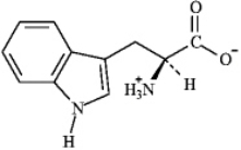
tryptophan
tryptophan 
4
Refer to the data below to answer the following question(s).
Porcine dynorphin is a neuropeptide having 17 amino acid residues.Its structure is shown below.
Tyr-Gly-Gly-Phe-Leu-Arg-Arg-Ile-Arg-Pro-Lys-Leu-Lys-Trp-Asp-Asn-Gln
Refer to instructions.What fragments would result if dynorphin were cleaved by chymotropsin?
Porcine dynorphin is a neuropeptide having 17 amino acid residues.Its structure is shown below.
Tyr-Gly-Gly-Phe-Leu-Arg-Arg-Ile-Arg-Pro-Lys-Leu-Lys-Trp-Asp-Asn-Gln
Refer to instructions.What fragments would result if dynorphin were cleaved by chymotropsin?
فتح الحزمة
افتح القفل للوصول البطاقات البالغ عددها 36 في هذه المجموعة.
فتح الحزمة
k this deck
5
Define isoelectric point.
فتح الحزمة
افتح القفل للوصول البطاقات البالغ عددها 36 في هذه المجموعة.
فتح الحزمة
k this deck
6
Match a structure from the list below to each of the following terms.


فتح الحزمة
افتح القفل للوصول البطاقات البالغ عددها 36 في هذه المجموعة.
فتح الحزمة
k this deck
7
Draw the structure of the product of the following reaction and describe the usefulness of this type of reaction.
فتح الحزمة
افتح القفل للوصول البطاقات البالغ عددها 36 في هذه المجموعة.
فتح الحزمة
k this deck
8
Refer to the data below to answer the following question(s).
Porcine dynorphin is a neuropeptide having 17 amino acid residues.Its structure is shown below.
Tyr-Gly-Gly-Phe-Leu-Arg-Arg-Ile-Arg-Pro-Lys-Leu-Lys-Trp-Asp-Asn-Gln
Refer to instructions.Show the steps involved in a synthesis of F-G-I using the Merrifield procedure.
Porcine dynorphin is a neuropeptide having 17 amino acid residues.Its structure is shown below.
Tyr-Gly-Gly-Phe-Leu-Arg-Arg-Ile-Arg-Pro-Lys-Leu-Lys-Trp-Asp-Asn-Gln
Refer to instructions.Show the steps involved in a synthesis of F-G-I using the Merrifield procedure.
فتح الحزمة
افتح القفل للوصول البطاقات البالغ عددها 36 في هذه المجموعة.
فتح الحزمة
k this deck
9
Consider the following structure.Based on this structure answer the following question(s).
Refer to instructions.Identify the C-terminal amino acid and the N-terminal amino acid.
Refer to instructions.Identify the C-terminal amino acid and the N-terminal amino acid.
فتح الحزمة
افتح القفل للوصول البطاقات البالغ عددها 36 في هذه المجموعة.
فتح الحزمة
k this deck
10
Which of the following amino acids has an aromatic side chain?
A)isoleucine
B)valine
C)tyrosine
D)threonine
A)isoleucine
B)valine
C)tyrosine
D)threonine
فتح الحزمة
افتح القفل للوصول البطاقات البالغ عددها 36 في هذه المجموعة.
فتح الحزمة
k this deck
11
Which of the following amino acids would contain the highest concentration of zwitterions at pH 5.90?
A)aspartic acid (pI 2.77)
B)alanine (pI 6.01)
C)lysine (pI 9.74)
D)glutamic acid (pI 3.22)
E)all of these contain approximately equal concentrations of zwitterions
A)aspartic acid (pI 2.77)
B)alanine (pI 6.01)
C)lysine (pI 9.74)
D)glutamic acid (pI 3.22)
E)all of these contain approximately equal concentrations of zwitterions
فتح الحزمة
افتح القفل للوصول البطاقات البالغ عددها 36 في هذه المجموعة.
فتح الحزمة
k this deck
12
Instructions: Consider the following structure.Based on this structure answer the following question(s). 
Refer to instructions.How many other peptides could be formed from this same combination of amino acids?
A)3
B)6
C)9
D)12

Refer to instructions.How many other peptides could be formed from this same combination of amino acids?
A)3
B)6
C)9
D)12
فتح الحزمة
افتح القفل للوصول البطاقات البالغ عددها 36 في هذه المجموعة.
فتح الحزمة
k this deck
13
Refer to the data below to answer the following question(s).
Porcine dynorphin is a neuropeptide having 17 amino acid residues.Its structure is shown below.
Tyr-Gly-Gly-Phe-Leu-Arg-Arg-Ile-Arg-Pro-Lys-Leu-Lys-Trp-Asp-Asn-Gln
Refer to instructions.What fragments would result if dynorphin were cleaved by trypsin?
Porcine dynorphin is a neuropeptide having 17 amino acid residues.Its structure is shown below.
Tyr-Gly-Gly-Phe-Leu-Arg-Arg-Ile-Arg-Pro-Lys-Leu-Lys-Trp-Asp-Asn-Gln
Refer to instructions.What fragments would result if dynorphin were cleaved by trypsin?
فتح الحزمة
افتح القفل للوصول البطاقات البالغ عددها 36 في هذه المجموعة.
فتح الحزمة
k this deck
14
Which of the following amino acids contains two stereocenters?
A)isoleucine
B)proline
C)phenylalanine
D)glutamine
A)isoleucine
B)proline
C)phenylalanine
D)glutamine
فتح الحزمة
افتح القفل للوصول البطاقات البالغ عددها 36 في هذه المجموعة.
فتح الحزمة
k this deck
15
Which of the following amino acids has a non-polar side chain?
A)histidine
B)arginine
C)glutamine
D)valine
A)histidine
B)arginine
C)glutamine
D)valine
فتح الحزمة
افتح القفل للوصول البطاقات البالغ عددها 36 في هذه المجموعة.
فتح الحزمة
k this deck
16
Which of the following amino acids is a secondary amine?
A)proline
B)glutamine
C)histidine
D)aspargine
A)proline
B)glutamine
C)histidine
D)aspargine
فتح الحزمة
افتح القفل للوصول البطاقات البالغ عددها 36 في هذه المجموعة.
فتح الحزمة
k this deck
17
Consider the following structure.Based on this structure answer the following question(s).
Refer to instructions.Circle the peptide bonds.
Refer to instructions.Circle the peptide bonds.
فتح الحزمة
افتح القفل للوصول البطاقات البالغ عددها 36 في هذه المجموعة.
فتح الحزمة
k this deck
18
Consider the following structure.Based on this structure answer the following question(s).
Refer to instructions.Name the peptide using both the three-letter and one-letter codes.
Refer to instructions.Name the peptide using both the three-letter and one-letter codes.
فتح الحزمة
افتح القفل للوصول البطاقات البالغ عددها 36 في هذه المجموعة.
فتح الحزمة
k this deck
19
Write the equation for the reaction,using methanol (CH3OH),that would render the carboxyl group of alanine unreactive.
فتح الحزمة
افتح القفل للوصول البطاقات البالغ عددها 36 في هذه المجموعة.
فتح الحزمة
k this deck
20
Which of the following amino acids has a sulfur-containing side chain?
A)serine
B)cysteine
C)lysine
D)methionine
E)both b and d
A)serine
B)cysteine
C)lysine
D)methionine
E)both b and d
فتح الحزمة
افتح القفل للوصول البطاقات البالغ عددها 36 في هذه المجموعة.
فتح الحزمة
k this deck
21
How does phenyl isothiocyanate,Ph-N=C=S,react with a peptide in the Edman degradation?
A)the sp carbon acts as an electrophile in a reaction with an amino group of the peptide
B)the sulfur acts as a nucleophile and adds to the carbon of the peptide bond
C)the nitrogen acts as a nucleophile and adds to the carbon of the peptide bond
D)the sp carbon acts as an electrophile in a reaction with a carboxylate of the peptide
A)the sp carbon acts as an electrophile in a reaction with an amino group of the peptide
B)the sulfur acts as a nucleophile and adds to the carbon of the peptide bond
C)the nitrogen acts as a nucleophile and adds to the carbon of the peptide bond
D)the sp carbon acts as an electrophile in a reaction with a carboxylate of the peptide
فتح الحزمة
افتح القفل للوصول البطاقات البالغ عددها 36 في هذه المجموعة.
فتح الحزمة
k this deck
22
Identify the aldehyde byproduct that results from the following reaction.
فتح الحزمة
افتح القفل للوصول البطاقات البالغ عددها 36 في هذه المجموعة.
فتح الحزمة
k this deck
23
To what structural feature does the term "quaternary structure" refer?
A)the sequence of amino acids in proteins
B)the overall folding pattern of proteins
C)the aggregation of polypeptides
D)the conformation of local regions of polypeptides
A)the sequence of amino acids in proteins
B)the overall folding pattern of proteins
C)the aggregation of polypeptides
D)the conformation of local regions of polypeptides
فتح الحزمة
افتح القفل للوصول البطاقات البالغ عددها 36 في هذه المجموعة.
فتح الحزمة
k this deck
24
Which of the following tripeptides is not hydrolysed by chymotrypsin?
A)Phe-Lys-Glu
B)Lys-Tyr-Phe
C)Gln-Ser-Phe
D)Gln-Tyr-Ser
A)Phe-Lys-Glu
B)Lys-Tyr-Phe
C)Gln-Ser-Phe
D)Gln-Tyr-Ser
فتح الحزمة
افتح القفل للوصول البطاقات البالغ عددها 36 في هذه المجموعة.
فتح الحزمة
k this deck
25
To what structural feature does the term "primary structure" refer?
A)the sequence of amino acids in proteins
B)the overall folding pattern of proteins
C)the aggregation of polypeptides
D)the conformation of local regions of polypeptides
A)the sequence of amino acids in proteins
B)the overall folding pattern of proteins
C)the aggregation of polypeptides
D)the conformation of local regions of polypeptides
فتح الحزمة
افتح القفل للوصول البطاقات البالغ عددها 36 في هذه المجموعة.
فتح الحزمة
k this deck
26
What are the R/S designations of the two stereocenters of L-threonine? 
A)2R,3R
B)2R,3S
C)2S,3R
D)2S,3S

A)2R,3R
B)2R,3S
C)2S,3R
D)2S,3S
فتح الحزمة
افتح القفل للوصول البطاقات البالغ عددها 36 في هذه المجموعة.
فتح الحزمة
k this deck
27
Which of the following tripeptides is not hydrolysed by trypsin?
A)Glu-Arg-Ser
B)Arg-Glu-Thr
C)Glu-Ser-Arg
D)Lys-Ser-Arg
A)Glu-Arg-Ser
B)Arg-Glu-Thr
C)Glu-Ser-Arg
D)Lys-Ser-Arg
فتح الحزمة
افتح القفل للوصول البطاقات البالغ عددها 36 في هذه المجموعة.
فتح الحزمة
k this deck
28
To what structural feature does the term "secondary structure" refer?
A)the sequence of amino acids in proteins
B)the overall folding pattern of proteins
C)the aggregation of polypeptides
D)the conformation of local regions of polypeptides
A)the sequence of amino acids in proteins
B)the overall folding pattern of proteins
C)the aggregation of polypeptides
D)the conformation of local regions of polypeptides
فتح الحزمة
افتح القفل للوصول البطاقات البالغ عددها 36 في هذه المجموعة.
فتح الحزمة
k this deck
29
Which of the following dipeptides is L-Cys-L-Ala?
A)
B)
C)
D)
A)

B)

C)

D)

فتح الحزمة
افتح القفل للوصول البطاقات البالغ عددها 36 في هذه المجموعة.
فتح الحزمة
k this deck
30
An enzyme classified as a ligase would be associated with a reaction than involves the:
A)introduction of a double bond.
B)loss of water.
C)loss of carbon dioxide.
D)transfer of an amino group.
E)hydrolysis of an ester.
A)introduction of a double bond.
B)loss of water.
C)loss of carbon dioxide.
D)transfer of an amino group.
E)hydrolysis of an ester.
فتح الحزمة
افتح القفل للوصول البطاقات البالغ عددها 36 في هذه المجموعة.
فتح الحزمة
k this deck
31
Which of the following reagents can be used to cleave a tert-butoxycarbonyl (Boc)protecting group from a peptide?
A)H2/Pd
B)CF3CO2H
C)Na2CO3,H2O
D)LiAlH4
A)H2/Pd
B)CF3CO2H
C)Na2CO3,H2O
D)LiAlH4
فتح الحزمة
افتح القفل للوصول البطاقات البالغ عددها 36 في هذه المجموعة.
فتح الحزمة
k this deck
32
Which of the following dipeptides is L-Ser-L-Phe?
A)
B)
C)
D)
A)

B)

C)

D)

فتح الحزمة
افتح القفل للوصول البطاقات البالغ عددها 36 في هذه المجموعة.
فتح الحزمة
k this deck
33
Which of the following amino acids migrates to the negative electrode on paper electrophoresis at a pH of 7.0?
A)lysine
B)aspartic acid
C)asparagine
D)glutamic acid
A)lysine
B)aspartic acid
C)asparagine
D)glutamic acid
فتح الحزمة
افتح القفل للوصول البطاقات البالغ عددها 36 في هذه المجموعة.
فتح الحزمة
k this deck
34
Which of the following amino acids migrates to the positive electrode on paper electrophoresis at a pH of 7.0?
A)glutamic acid
B)arginine
C)lysine
D)histadine
A)glutamic acid
B)arginine
C)lysine
D)histadine
فتح الحزمة
افتح القفل للوصول البطاقات البالغ عددها 36 في هذه المجموعة.
فتح الحزمة
k this deck
35
To what structural feature does the term "tertiary structure" refer?
A)the sequence of amino acids in proteins
B)the overall folding pattern of proteins
C)the aggregation of polypeptides
D)the conformation of local regions of polypeptides
A)the sequence of amino acids in proteins
B)the overall folding pattern of proteins
C)the aggregation of polypeptides
D)the conformation of local regions of polypeptides
فتح الحزمة
افتح القفل للوصول البطاقات البالغ عددها 36 في هذه المجموعة.
فتح الحزمة
k this deck
36
Which amino acid results from the following sequence of transformations?

فتح الحزمة
افتح القفل للوصول البطاقات البالغ عددها 36 في هذه المجموعة.
فتح الحزمة
k this deck

