Deck 8: Stock Valuationpart Four: Capital Budgeting
سؤال
سؤال
سؤال
سؤال
سؤال
سؤال
سؤال
سؤال
سؤال
سؤال
سؤال
سؤال
سؤال
سؤال
سؤال
سؤال
سؤال
سؤال
سؤال
سؤال
سؤال
سؤال
سؤال
سؤال
سؤال
سؤال
سؤال
سؤال
سؤال
سؤال
سؤال
سؤال
سؤال
سؤال
سؤال
سؤال
سؤال
سؤال
سؤال
سؤال
سؤال
سؤال
سؤال
سؤال
سؤال
سؤال
سؤال
سؤال
سؤال
سؤال
سؤال
سؤال
سؤال
سؤال
سؤال
سؤال
سؤال
سؤال
سؤال
سؤال
سؤال
سؤال
سؤال
سؤال
سؤال
سؤال
سؤال
سؤال
سؤال
سؤال
سؤال
سؤال
سؤال
سؤال
سؤال
سؤال
سؤال
سؤال
سؤال
سؤال
فتح الحزمة
قم بالتسجيل لفتح البطاقات في هذه المجموعة!
Unlock Deck
Unlock Deck
1/119
العب
ملء الشاشة (f)
Deck 8: Stock Valuationpart Four: Capital Budgeting
1
The secondary market is best defined by which one of the following?
A) market in which subordinated shares are issued and resold
B) market conducted solely by brokers
C) market dominated by dealers
D) market where outstanding shares of stock are resold
E) market where warrants are offered and sold
A) market in which subordinated shares are issued and resold
B) market conducted solely by brokers
C) market dominated by dealers
D) market where outstanding shares of stock are resold
E) market where warrants are offered and sold
market where outstanding shares of stock are resold
2
An agent who maintains an inventory from which he or she buys and sells securities is called a:
A) broker.
B) trader.
C) capitalist.
D) principal.
E) dealer.
A) broker.
B) trader.
C) capitalist.
D) principal.
E) dealer.
dealer.
3
Which one of the following is computed by dividing next year's annual dividend by the current stock price?
A) yield to maturity
B) total yield
C) dividend yield
D) capital gains yield
E) growth rate
A) yield to maturity
B) total yield
C) dividend yield
D) capital gains yield
E) growth rate
dividend yield
4
An individual on the floor of the NYSE who owns a trading license and buys and sells for his or her personal account is called a:
A) floor trader.
B) exchange customer.
C) specialist.
D) floor broker.
E) market maker.
A) floor trader.
B) exchange customer.
C) specialist.
D) floor broker.
E) market maker.
فتح الحزمة
افتح القفل للوصول البطاقات البالغ عددها 119 في هذه المجموعة.
فتح الحزمة
k this deck
5
Callander Enterprises stock is listed on NASDAQ.The firm is planning to issue some new equity shares for sale to the general public.This sale will occur in which one of the following markets?
A) private
B) auction
C) exchange floor
D) secondary
E) primary
A) private
B) auction
C) exchange floor
D) secondary
E) primary
فتح الحزمة
افتح القفل للوصول البطاقات البالغ عددها 119 في هذه المجموعة.
فتح الحزمة
k this deck
6
The stream of customer orders coming in to the NYSE trading floor is called the:
A) paper trail.
B) trading volume.
C) order flow.
D) bid-ask spread.
E) commission trail.
A) paper trail.
B) trading volume.
C) order flow.
D) bid-ask spread.
E) commission trail.
فتح الحزمة
افتح القفل للوصول البطاقات البالغ عددها 119 في هذه المجموعة.
فتح الحزمة
k this deck
7
Which one of the following is the electronic system used by the NYSE for directly transmitting orders to specialists?
A) OTCDOT
B) SuperDOT
C) Instinet
D) Internet
E) Floornet
A) OTCDOT
B) SuperDOT
C) Instinet
D) Internet
E) Floornet
فتح الحزمة
افتح القفل للوصول البطاقات البالغ عددها 119 في هذه المجموعة.
فتح الحزمة
k this deck
8
The person on the floor of the NYSE who executes buy and sell orders on behalf of customers is called a(n):
A) floor trader.
B) dealer.
C) specialist.
D) executor.
E) commission broker.
A) floor trader.
B) dealer.
C) specialist.
D) executor.
E) commission broker.
فتح الحزمة
افتح القفل للوصول البطاقات البالغ عددها 119 في هذه المجموعة.
فتح الحزمة
k this deck
9
Which one of the following types of stock is defined by the fact that it receives no preferential treatment in respect to either dividends or bankruptcy proceedings?
A) dual class
B) cumulative
C) non-cumulative
D) preferred
E) common
A) dual class
B) cumulative
C) non-cumulative
D) preferred
E) common
فتح الحزمة
افتح القفل للوصول البطاقات البالغ عددها 119 في هذه المجموعة.
فتح الحزمة
k this deck
10
An agent who arranges a transaction between a buyer and a seller of equity securities is called a:
A) broker.
B) floor trader.
C) capitalist.
D) principal.
E) dealer.
A) broker.
B) floor trader.
C) capitalist.
D) principal.
E) dealer.
فتح الحزمة
افتح القفل للوصول البطاقات البالغ عددها 119 في هذه المجموعة.
فتح الحزمة
k this deck
11
A market maker who acts as a dealer in one or more securities on the floor of the NYSE is called a:
A) floor trader.
B) floor post.
C) specialist.
D) floor broker.
E) commission broker.
A) floor trader.
B) floor post.
C) specialist.
D) floor broker.
E) commission broker.
فتح الحزمة
افتح القفل للوصول البطاقات البالغ عددها 119 في هذه المجموعة.
فتح الحزمة
k this deck
12
The owner of one of the 1,366 trading licenses for the NYSE is called a:
A) broker.
B) member.
C) agent.
D) specialist.
E) dealer.
A) broker.
B) member.
C) agent.
D) specialist.
E) dealer.
فتح الحزمة
افتح القفل للوصول البطاقات البالغ عددها 119 في هذه المجموعة.
فتح الحزمة
k this deck
13
A floor broker on the NYSE does which one of the following?
A) supervises the commission brokers for a financial firm
B) trades for his or her personal inventory
C) executes orders on behalf of a commission broker
D) maintains an inventory and takes the role of a specialist
E) is charged with maintaining a liquid,orderly market
A) supervises the commission brokers for a financial firm
B) trades for his or her personal inventory
C) executes orders on behalf of a commission broker
D) maintains an inventory and takes the role of a specialist
E) is charged with maintaining a liquid,orderly market
فتح الحزمة
افتح القفل للوصول البطاقات البالغ عددها 119 في هذه المجموعة.
فتح الحزمة
k this deck
14
A company has two open seats,Seat A and Seat B,on its board of directors.There are 6 candidates vying for these 2 positions.There will be a single election to determine the winner of both open seats.As the owner of 100 shares of stock,you will receive one vote per share for each open seat.You decide to cast all 200 of your votes for a single candidate.What is this type of voting called?
A) democratic
B) cumulative
C) straight
D) deferred
E) proxy
A) democratic
B) cumulative
C) straight
D) deferred
E) proxy
فتح الحزمة
افتح القفل للوصول البطاقات البالغ عددها 119 في هذه المجموعة.
فتح الحزمة
k this deck
15
Which one of following is the rate at which a stock's price is expected to appreciate?
A) current yield
B) total return
C) dividend yield
D) capital gains yield
E) coupon rate
A) current yield
B) total return
C) dividend yield
D) capital gains yield
E) coupon rate
فتح الحزمة
افتح القفل للوصول البطاقات البالغ عددها 119 في هذه المجموعة.
فتح الحزمة
k this deck
16
You cannot attend the shareholder's meeting for Alpha United so you authorize another shareholder to vote on your behalf.What is the granting of this authority called?
A) altering
B) cumulative voting
C) straight voting
D) indenture agreement
E) voting by proxy
A) altering
B) cumulative voting
C) straight voting
D) indenture agreement
E) voting by proxy
فتح الحزمة
افتح القفل للوصول البطاقات البالغ عددها 119 في هذه المجموعة.
فتح الحزمة
k this deck
17
Which one of the following is a type of equity security that has a fixed dividend and a priority status over other equity securities?
A) senior bond
B) debenture
C) warrant
D) common stock
E) preferred stock
A) senior bond
B) debenture
C) warrant
D) common stock
E) preferred stock
فتح الحزمة
افتح القفل للوصول البطاقات البالغ عددها 119 في هذه المجموعة.
فتح الحزمة
k this deck
18
What are the distributions to shareholders by a corporation called?
A) retained earnings
B) net income
C) dividends
D) capital payments
E) diluted profits
A) retained earnings
B) net income
C) dividends
D) capital payments
E) diluted profits
فتح الحزمة
افتح القفل للوصول البطاقات البالغ عددها 119 في هذه المجموعة.
فتح الحزمة
k this deck
19
What is the model called that determines the present value of a stock based on its next annual dividend,the dividend growth rate,and the applicable discount rate?
A) zero growth
B) dividend growth
C) capital pricing
D) earnings capitalization
E) discounted dividend
A) zero growth
B) dividend growth
C) capital pricing
D) earnings capitalization
E) discounted dividend
فتح الحزمة
افتح القفل للوصول البطاقات البالغ عددها 119 في هذه المجموعة.
فتح الحزمة
k this deck
20
You want to be on the board of directors of Wisely Foods.Since you are the only shareholder that will vote for you,you will need to own more than half of the outstanding shares of stock if you are to be elected to the board.What is the type of voting called that requires this level of stock ownership to be successfully elected under these conditions?
A) democratic
B) cumulative
C) straight
D) deferred
E) proxy
A) democratic
B) cumulative
C) straight
D) deferred
E) proxy
فتح الحزمة
افتح القفل للوصول البطاقات البالغ عددها 119 في هذه المجموعة.
فتح الحزمة
k this deck
21
A securities market primarily comprised of dealers who buy and sell for their own inventories is referred to which type of market?
A) auction
B) private
C) over-the-counter
D) regional
E) electronic network
A) auction
B) private
C) over-the-counter
D) regional
E) electronic network
فتح الحزمة
افتح القفل للوصول البطاقات البالغ عددها 119 في هذه المجموعة.
فتح الحزمة
k this deck
22
An ECN is best described as:
A) an electronic network which transmits orders directly to the floor of the NYSE.
B) the network used in the primary market for selling newly issued shares.
C) the international trading network of the NYSE.
D) a website that allows individual investors to trade directly with one another.
E) a computerized network used by independent brokers.
A) an electronic network which transmits orders directly to the floor of the NYSE.
B) the network used in the primary market for selling newly issued shares.
C) the international trading network of the NYSE.
D) a website that allows individual investors to trade directly with one another.
E) a computerized network used by independent brokers.
فتح الحزمة
افتح القفل للوصول البطاقات البالغ عددها 119 في هذه المجموعة.
فتح الحزمة
k this deck
23
Which one of the following represents the capital gains yield as used in the dividend growth model?
A) D1
B) D1/P0
C) P0
D) g
E) g/P0
A) D1
B) D1/P0
C) P0
D) g
E) g/P0
فتح الحزمة
افتح القفل للوصول البطاقات البالغ عددها 119 في هذه المجموعة.
فتح الحزمة
k this deck
24
The counter area on the floor of the NYSE where a specialist operates is called a:
A) pit.
B) hot spot.
C) seat.
D) post.
E) DOT.
A) pit.
B) hot spot.
C) seat.
D) post.
E) DOT.
فتح الحزمة
افتح القفل للوصول البطاقات البالغ عددها 119 في هذه المجموعة.
فتح الحزمة
k this deck
25
The dividend growth model:
I.assumes that dividends increase at a constant rate forever.
II.can be used to compute a stock price at any point in time.
III.can be used to value zero-growth stocks.
IV.requires the growth rate to be less than the required return.
A) I and III only
B) II and IV only
C) I,III,and IV only
D) I,II,and IV only
E) I,II,III,and IV
I.assumes that dividends increase at a constant rate forever.
II.can be used to compute a stock price at any point in time.
III.can be used to value zero-growth stocks.
IV.requires the growth rate to be less than the required return.
A) I and III only
B) II and IV only
C) I,III,and IV only
D) I,II,and IV only
E) I,II,III,and IV
فتح الحزمة
افتح القفل للوصول البطاقات البالغ عددها 119 في هذه المجموعة.
فتح الحزمة
k this deck
26
Which one of the following statements is correct?
A) The capital gains yield is the annual rate of change in a stock's price.
B) Preferred stocks have constant growth dividends.
C) A constant dividend stock cannot be valued using the dividend growth model.
D) The dividend growth model can be used to compute the current value of any stock.
E) An increase in the required return will decrease the capital gains yield.
A) The capital gains yield is the annual rate of change in a stock's price.
B) Preferred stocks have constant growth dividends.
C) A constant dividend stock cannot be valued using the dividend growth model.
D) The dividend growth model can be used to compute the current value of any stock.
E) An increase in the required return will decrease the capital gains yield.
فتح الحزمة
افتح القفل للوصول البطاقات البالغ عددها 119 في هذه المجموعة.
فتح الحزمة
k this deck
27
An increase in which of the following will increase the current value of a stock according to the dividend growth model?
I.dividend amount
II.number of future dividends,provided the current number is less than infinite
III.discount rate
IV.dividend growth rate
A) I and II only
B) III and IV only
C) I,II,and III only
D) I,II,and IV only
E) I,II,III,and IV
I.dividend amount
II.number of future dividends,provided the current number is less than infinite
III.discount rate
IV.dividend growth rate
A) I and II only
B) III and IV only
C) I,II,and III only
D) I,II,and IV only
E) I,II,III,and IV
فتح الحزمة
افتح القفل للوصول البطاقات البالغ عددها 119 في هذه المجموعة.
فتح الحزمة
k this deck
28
Which one of the following sets of dividend payments best meets the definition of two-stage growth as it applies to the two-stage dividend growth model?
A) no dividends for 5 years,then increasing dividends forever
B) $1 per share annual dividend for 2 years,then $1.25 annual dividends forever
C) decreasing dividends for 6 years followed by one final liquidating dividend payment
D) dividends payments which increase by 2,3,and 4 percent respectively for 3 years followed by a constant dividend thereafter
E) dividend payments which increase by 10 percent per year for 5 years followed by dividends which increase by 3 percent annually thereafter
A) no dividends for 5 years,then increasing dividends forever
B) $1 per share annual dividend for 2 years,then $1.25 annual dividends forever
C) decreasing dividends for 6 years followed by one final liquidating dividend payment
D) dividends payments which increase by 2,3,and 4 percent respectively for 3 years followed by a constant dividend thereafter
E) dividend payments which increase by 10 percent per year for 5 years followed by dividends which increase by 3 percent annually thereafter
فتح الحزمة
افتح القفل للوصول البطاقات البالغ عددها 119 في هذه المجموعة.
فتح الحزمة
k this deck
29
Chemical Mines has 5,000 shareholders and is preparing to elect two new board members.
You do not own enough shares to personally control the elections but are determined to oust the current leadership.Likewise,no other single shareholder owns sufficient shares to personally control the outcome of the election.Which one of the following is the most likely outcome of this situation given that some shareholders are happy with the existing management?
A) negotiated settlement where each side is granted control over one of the open seats
B) protracted legal battle over control of the board of directors
C) arbitrated settlement where the arbitrator determines who will be elected to the board
D) control of the board decided without your influence
E) proxy fight for control of the board
You do not own enough shares to personally control the elections but are determined to oust the current leadership.Likewise,no other single shareholder owns sufficient shares to personally control the outcome of the election.Which one of the following is the most likely outcome of this situation given that some shareholders are happy with the existing management?
A) negotiated settlement where each side is granted control over one of the open seats
B) protracted legal battle over control of the board of directors
C) arbitrated settlement where the arbitrator determines who will be elected to the board
D) control of the board decided without your influence
E) proxy fight for control of the board
فتح الحزمة
افتح القفل للوصول البطاقات البالغ عددها 119 في هذه المجموعة.
فتح الحزمة
k this deck
30
Winston Co.has a dividend-paying stock with a total return for the year of -6.5 percent.Which one of the following must be true?
A) The dividend must be constant.
B) The stock has a negative capital gains yield.
C) The dividend yield must be zero.
D) The required rate of return for this stock increased over the year.
E) The firm is experiencing supernormal growth.
A) The dividend must be constant.
B) The stock has a negative capital gains yield.
C) The dividend yield must be zero.
D) The required rate of return for this stock increased over the year.
E) The firm is experiencing supernormal growth.
فتح الحزمة
افتح القفل للوصول البطاقات البالغ عددها 119 في هذه المجموعة.
فتح الحزمة
k this deck
31
National Trucking has paid an annual dividend of $1.00 per share on its common stock for the past fifteen years and is expected to continue paying a dollar a share long into the future.Given this,one share of the firm's stock is:
A) basically worthless as it offers no growth potential.
B) equal in value to the present value of $1 paid one year from today.
C) priced the same as a $1 perpetuity.
D) valued at an assumed growth rate of one percent.
E) worth $1 a share in the current market.
A) basically worthless as it offers no growth potential.
B) equal in value to the present value of $1 paid one year from today.
C) priced the same as a $1 perpetuity.
D) valued at an assumed growth rate of one percent.
E) worth $1 a share in the current market.
فتح الحزمة
افتح القفل للوصول البطاقات البالغ عددها 119 في هذه المجموعة.
فتح الحزمة
k this deck
32
Which one of the following statements is correct concerning the two-stage dividend growth model?
A) G1 cannot be negative.
B) Pt = Dt/R.
C) G1 must be greater than G2.
D) G1 can be greater than R.
E) R must be less than G1 but greater than G2.
A) G1 cannot be negative.
B) Pt = Dt/R.
C) G1 must be greater than G2.
D) G1 can be greater than R.
E) R must be less than G1 but greater than G2.
فتح الحزمة
افتح القفل للوصول البطاقات البالغ عددها 119 في هذه المجموعة.
فتح الحزمة
k this deck
33
The two-stage dividend growth model evaluates the current price of a stock based on the assumption a stock will:
A) pay an increasing dividend for a period of time and then cease paying dividends altogether.
B) increase the dividend amount every other year.
C) pay a constant dividend for the first two quarters of each year and then increase the dividend the last two quarters of each year.
D) grow at a fixed rate for a period of time after which it will grow at a different rate indefinitely.
E) pay increasing dividends for a fixed period of time,cease paying dividends for a period of time,and then commence paying increasing dividends for an indefinite period of time.
A) pay an increasing dividend for a period of time and then cease paying dividends altogether.
B) increase the dividend amount every other year.
C) pay a constant dividend for the first two quarters of each year and then increase the dividend the last two quarters of each year.
D) grow at a fixed rate for a period of time after which it will grow at a different rate indefinitely.
E) pay increasing dividends for a fixed period of time,cease paying dividends for a period of time,and then commence paying increasing dividends for an indefinite period of time.
فتح الحزمة
افتح القفل للوصول البطاقات البالغ عددها 119 في هذه المجموعة.
فتح الحزمة
k this deck
34
High Country Builders currently pays an annual dividend of $1.35 and plans on increasing that amount by 2.5 percent each year.Valley High Builders currently pays an annual dividend of $1.20 and plans on increasing its dividend by 3 percent annually.Given this information,you know for certain that the stock of High Country Builders' has a higher ______ than the stock of Valley High Builders.
A) market price.
B) dividend yield.
C) capital gains yield.
D) total return.
E) The answer cannot be determined based on the information provided.
A) market price.
B) dividend yield.
C) capital gains yield.
D) total return.
E) The answer cannot be determined based on the information provided.
فتح الحزمة
افتح القفل للوصول البطاقات البالغ عددها 119 في هذه المجموعة.
فتح الحزمة
k this deck
35
Which one of the following rights is never directly granted to all shareholders of a publicly-held corporation?
A) electing the board of directors
B) receiving a distribution of company profits
C) voting either for or against a proposed merger or acquisition
D) determining the amount of the dividend to be paid per share
E) having first chance to purchase any new equity shares that may be offered
A) electing the board of directors
B) receiving a distribution of company profits
C) voting either for or against a proposed merger or acquisition
D) determining the amount of the dividend to be paid per share
E) having first chance to purchase any new equity shares that may be offered
فتح الحزمة
افتح القفل للوصول البطاقات البالغ عددها 119 في هذه المجموعة.
فتح الحزمة
k this deck
36
Jen owns 30 shares of stock in Delta Fashions and wants to win a seat on the board of directors.The firm has a total of 100 shares of stock outstanding.Each share receives one vote.Presently,the company is voting to elect three new directors.Which one of the following statements must be true given this information?
A) Regardless of the voting procedure,Jen does not own enough shares to gain a seat on the board.
B) If straight voting applies,Jen is assured a seat on the board.
C) If straight voting applies,Jen can control all of the open seats.
D) If cumulative voting applies,Jen is assured one seat on the board.
E) If cumulative voting applies,Jen can control all of the open seats.
A) Regardless of the voting procedure,Jen does not own enough shares to gain a seat on the board.
B) If straight voting applies,Jen is assured a seat on the board.
C) If straight voting applies,Jen can control all of the open seats.
D) If cumulative voting applies,Jen is assured one seat on the board.
E) If cumulative voting applies,Jen can control all of the open seats.
فتح الحزمة
افتح القفل للوصول البطاقات البالغ عددها 119 في هذه المجموعة.
فتح الحزمة
k this deck
37
The Blue Marlin is owned by a group of 5 shareholders who all vote independently and who all want personal control over the firm.What is the minimum percentage of the outstanding shares one of these shareholders must own if he or she is to gain personal control over this firm given that the firm uses straight voting?
A) 17 percent
B) 20 percent plus one vote
C) 25 percent plus one vote
D) 50 percent plus one vote
E) 51 percent
A) 17 percent
B) 20 percent plus one vote
C) 25 percent plus one vote
D) 50 percent plus one vote
E) 51 percent
فتح الحزمة
افتح القفل للوصول البطاقات البالغ عددها 119 في هذه المجموعة.
فتح الحزمة
k this deck
38
Supernormal growth is a growth rate that:
A) is both positive and follows a year or more of negative growth.
B) exceeds a firm's previous year's rate of growth.
C) is generally constant for an infinite period of time.
D) is unsustainable over the long term.
E) applies to a single,abnormal year.
A) is both positive and follows a year or more of negative growth.
B) exceeds a firm's previous year's rate of growth.
C) is generally constant for an infinite period of time.
D) is unsustainable over the long term.
E) applies to a single,abnormal year.
فتح الحزمة
افتح القفل للوصول البطاقات البالغ عددها 119 في هذه المجموعة.
فتح الحزمة
k this deck
39
Answer this question based on the dividend growth model.If you expect the market rate of return to increase across the board on all equity securities,then you should also expect:
A) an increase in all stock values.
B) all stock values to remain constant.
C) a decrease in all stock values.
D) dividend-paying stocks to maintain a constant price while non-dividend paying stocks decrease in value.
E) dividend-paying stocks to increase in price while non-dividend paying stocks decrease in value.
A) an increase in all stock values.
B) all stock values to remain constant.
C) a decrease in all stock values.
D) dividend-paying stocks to maintain a constant price while non-dividend paying stocks decrease in value.
E) dividend-paying stocks to increase in price while non-dividend paying stocks decrease in value.
فتح الحزمة
افتح القفل للوصول البطاقات البالغ عددها 119 في هذه المجموعة.
فتح الحزمة
k this deck
40
Which one of the following is an underlying assumption of the dividend growth model?
A) A stock has the same value to every investor.
B) A stock's value is equal to the discounted present value of the future cash flows which it generates.
C) A stock's value changes in direct relation to the required return.
D) Stocks that pay the same annual dividend have equal market values.
E) The dividend growth rate is inversely related to a stock's market price.
A) A stock has the same value to every investor.
B) A stock's value is equal to the discounted present value of the future cash flows which it generates.
C) A stock's value changes in direct relation to the required return.
D) Stocks that pay the same annual dividend have equal market values.
E) The dividend growth rate is inversely related to a stock's market price.
فتح الحزمة
افتح القفل للوصول البطاقات البالغ عددها 119 في هذه المجموعة.
فتح الحزمة
k this deck
41
Which one of the following statements related to the NYSE is correct?
A) Commission brokers work on behalf of brokerage firm clients.
B) Shareholders of NYSE Group,Inc.own "seats" on the exchange.
C) Specialists buy at the asked price.
D) The NYSE is primarily a dealer's market.
E) Floor brokers earn income in the form of a bid-ask spread.
A) Commission brokers work on behalf of brokerage firm clients.
B) Shareholders of NYSE Group,Inc.own "seats" on the exchange.
C) Specialists buy at the asked price.
D) The NYSE is primarily a dealer's market.
E) Floor brokers earn income in the form of a bid-ask spread.
فتح الحزمة
افتح القفل للوصول البطاقات البالغ عددها 119 في هذه المجموعة.
فتح الحزمة
k this deck
42
Which of the following features do preferred shareholders and bondholders frequently have in common?
I.lack of voting rights
II.conversion option into common stock
III.annuity payments
IV.fixed liquidation value
A) I and II only
B) III and IV only
C) II,III,and IV only
D) I,III,and IV only
E) I,II,III,and IV
I.lack of voting rights
II.conversion option into common stock
III.annuity payments
IV.fixed liquidation value
A) I and II only
B) III and IV only
C) II,III,and IV only
D) I,III,and IV only
E) I,II,III,and IV
فتح الحزمة
افتح القفل للوصول البطاقات البالغ عددها 119 في هذه المجموعة.
فتح الحزمة
k this deck
43
You are the sole shareholder of a small corporation.Presently,you wish to diversify your holdings and thus want to sell a portion of your shares but do not want to incur the costs associated with SEC filings.Which one of the following markets,if any,might be conducive to this sale?
A) NASDAQ
B) OTCBB
C) Pink Sheets
D) NYSE
A) NASDAQ
B) OTCBB
C) Pink Sheets
D) NYSE
فتح الحزمة
افتح القفل للوصول البطاقات البالغ عددها 119 في هذه المجموعة.
فتح الحزمة
k this deck
44
You own one share of a cumulative preferred stock which pays quarterly dividends.The firm has recently suffered some financial setbacks and has failed to pay the last two dividends.However,new funding has been arranged and the firm intends to restore all dividends,both common and preferred,this quarter.As a preferred shareholder,you should expect to receive the equivalent of ____ quarter(s)of dividends when the next dividend is paid.
A) 0
B) 1
C) 2
D) 3
E) either 1,2,or 3
A) 0
B) 1
C) 2
D) 3
E) either 1,2,or 3
فتح الحزمة
افتح القفل للوصول البطاقات البالغ عددها 119 في هذه المجموعة.
فتح الحزمة
k this deck
45
Miller Brothers Hardware paid an annual dividend of $0.95 per share last month.Today,the company announced that future dividends will be increasing by 2.6 percent annually.If you require a 13 percent rate of return,how much are you willing to pay to purchase one share of this stock today?
A) $9.23
B) $9.37
C) $9.67
D) $9.72
E) $9.88
A) $9.23
B) $9.37
C) $9.67
D) $9.72
E) $9.88
فتح الحزمة
افتح القفل للوصول البطاقات البالغ عددها 119 في هذه المجموعة.
فتح الحزمة
k this deck
46
Which one of the following statements applies to NASDAQ?
A) a partner with the London exchange
B) exchange floor is located in Chicago
C) single market maker for each listed security
D) broker's market
E) comprised of three separate markets
A) a partner with the London exchange
B) exchange floor is located in Chicago
C) single market maker for each listed security
D) broker's market
E) comprised of three separate markets
فتح الحزمة
افتح القفل للوصول البطاقات البالغ عددها 119 في هذه المجموعة.
فتح الحزمة
k this deck
47
Hardy Lumber has a capital structure which includes bonds,preferred stock,and common stock.
Which of the following rights have most likely been granted to the preferred shareholders?
I.right to share in company profits prior to other shareholders
II.right to elect the corporate directors
III.right to vote on proposed mergers
IV.right to all residual income after the common dividends have been paid
A) I only
B) I and III only
C) I and IV only
D) II,III,and IV only
E) I,II,III,and IV
Which of the following rights have most likely been granted to the preferred shareholders?
I.right to share in company profits prior to other shareholders
II.right to elect the corporate directors
III.right to vote on proposed mergers
IV.right to all residual income after the common dividends have been paid
A) I only
B) I and III only
C) I and IV only
D) II,III,and IV only
E) I,II,III,and IV
فتح الحزمة
افتح القفل للوصول البطاقات البالغ عددها 119 في هذه المجموعة.
فتح الحزمة
k this deck
48
Which one of the following players on the floor of the NYSE can be likened to part-time help because they are called to duty only when others are fully employed?
A) floor trader
B) specialist
C) dealer
D) floor broker
E) commission broker
A) floor trader
B) specialist
C) dealer
D) floor broker
E) commission broker
فتح الحزمة
افتح القفل للوصول البطاقات البالغ عددها 119 في هذه المجموعة.
فتح الحزمة
k this deck
49
Who owns the NYSE?
A) NYSE members
B) specialists
C) dealers
D) floor brokers
E) shareholders
A) NYSE members
B) specialists
C) dealers
D) floor brokers
E) shareholders
فتح الحزمة
افتح القفل للوصول البطاقات البالغ عددها 119 في هذه المجموعة.
فتح الحزمة
k this deck
50

Sessler Manufacturers made two announcements concerning its common stock today.First,the company announced that the next annual dividend will be $1.75 a share.Secondly,all dividends after that will decrease by 1.5 percent annually.What is the maximum amount you should pay to purchase a share of this stock today if you require a 14 percent rate of return?
A) $11.29
B) $12.64
C) $13.27
D) $14.00
E) $14.21
فتح الحزمة
افتح القفل للوصول البطاقات البالغ عددها 119 في هذه المجموعة.
فتح الحزمة
k this deck
51
Which one of these statements related to preferred stock is correct?
A) Preferred shareholders normally receive one vote per share of stock owned.
B) Preferred shareholders determine the outcome of any election that involves a proxy fight.
C) Preferred shareholders are considered to be the residual owners of a corporation.
D) Preferred stock normally has a stated liquidating value of $1,000 per share.
E) Cumulative preferred shares are more valuable than comparable non-cumulative shares.
A) Preferred shareholders normally receive one vote per share of stock owned.
B) Preferred shareholders determine the outcome of any election that involves a proxy fight.
C) Preferred shareholders are considered to be the residual owners of a corporation.
D) Preferred stock normally has a stated liquidating value of $1,000 per share.
E) Cumulative preferred shares are more valuable than comparable non-cumulative shares.
فتح الحزمة
افتح القفل للوصول البطاقات البالغ عددها 119 في هذه المجموعة.
فتح الحزمة
k this deck
52
Boston Free Press has a dividend policy whereby the firm pays a constant annual dividend of $2.40 per share of common stock.The firm has 1,000 shares of stock outstanding.The company:
A) must always show a current liability of $2,400, ($2.40 × 1,000),for dividends payable.
B) must still declare each dividend before it becomes an actual company liability.
C) is obligated to pay $2.40 per share each year in perpetuity.
D) will be declared in default if it does not pay at least $2.40 per share per year on a timely basis.
E) has a liability that must be paid at a later date should the company miss paying an annual dividend payment.
A) must always show a current liability of $2,400, ($2.40 × 1,000),for dividends payable.
B) must still declare each dividend before it becomes an actual company liability.
C) is obligated to pay $2.40 per share each year in perpetuity.
D) will be declared in default if it does not pay at least $2.40 per share per year on a timely basis.
E) has a liability that must be paid at a later date should the company miss paying an annual dividend payment.
فتح الحزمة
افتح القفل للوصول البطاقات البالغ عددها 119 في هذه المجموعة.
فتح الحزمة
k this deck
53
Which one of the following statements currently applies to a NYSE broker?
A) owns a "seat" on the exchange
B) buys at the bid price
C) remains at his or her specified post
D) matches customer buy and sell orders
E) trades for his or her personal account
A) owns a "seat" on the exchange
B) buys at the bid price
C) remains at his or her specified post
D) matches customer buy and sell orders
E) trades for his or her personal account
فتح الحزمة
افتح القفل للوصول البطاقات البالغ عددها 119 في هذه المجموعة.
فتح الحزمة
k this deck
54
Which one of the following transactions occurs in the primary market?
A) purchase of 500 shares of GE stock from a current shareholder
B) gift of 100 shares of stock to a charitable organization
C) gift of 200 shares of stock by a mother to her daughter
D) a purchase of newly issued stock from AT&T
E) IBM's purchase of GE stock
A) purchase of 500 shares of GE stock from a current shareholder
B) gift of 100 shares of stock to a charitable organization
C) gift of 200 shares of stock by a mother to her daughter
D) a purchase of newly issued stock from AT&T
E) IBM's purchase of GE stock
فتح الحزمة
افتح القفل للوصول البطاقات البالغ عددها 119 في هذه المجموعة.
فتح الحزمة
k this deck
55
You are an accountant and have been analyzing the financial statements of Euro Place Markets,which is a foreign retailer.While the firm's financials are not prepared according to GAAP,you have still been able to understand the firm's accounting practices and feel that this firm has a bright future.On which one of the following U.S.markets,if any,might you be able to purchase shares in this firm?
A) NYSE.
B) NASDAQ.
C) OTCBB.
D) Pink Sheets.
E) No U.S.market will list this foreign security.
A) NYSE.
B) NASDAQ.
C) OTCBB.
D) Pink Sheets.
E) No U.S.market will list this foreign security.
فتح الحزمة
افتح القفل للوصول البطاقات البالغ عددها 119 في هذه المجموعة.
فتح الحزمة
k this deck
56

How much are you willing to pay for one share of Jumbo Trout stock if the company just paid a $0.70 annual dividend,the dividends increase by 2.5 percent annually,and you require a 10 percent rate of return?
A) $9.29
B) $9.33
C) $9.57
D) $9.53
E) $9.59
فتح الحزمة
افتح القفل للوصول البطاقات البالغ عددها 119 في هذه المجموعة.
فتح الحزمة
k this deck
57
Which of the following apply to a specialist who trades on the floor of the NYSE?
I.provides liquidity for an individual security
II.partially being replaced by SuperDOT
III.pays an annual fee for a trading license
IV.acts as a dealer
A) I and III only
B) II and IV only
C) I,III,and IV only
D) II,III,and IV only
E) I,II,III,and IV
I.provides liquidity for an individual security
II.partially being replaced by SuperDOT
III.pays an annual fee for a trading license
IV.acts as a dealer
A) I and III only
B) II and IV only
C) I,III,and IV only
D) II,III,and IV only
E) I,II,III,and IV
فتح الحزمة
افتح القفل للوصول البطاقات البالغ عددها 119 في هذه المجموعة.
فتح الحزمة
k this deck
58

Free Motion Enterprises paid a $2.20 per share annual dividend last week.Dividends are expected to increase by 3.75 percent annually.What is one share of this stock worth to you today if your required rate of return is 15 percent?
A) $19.06
B) $19.30
C) $19.56
D) $20.29
E) $20.59
فتح الحزمة
افتح القفل للوصول البطاقات البالغ عددها 119 في هذه المجموعة.
فتح الحزمة
k this deck
59
Which one of the following statements related to corporate dividends is correct?
A) Dividends are nontaxable income to shareholders.
B) Dividends reduce the taxable income of the corporation.
C) The Chief Executive Officer of a corporation is responsible for declaring dividends.
D) The Chief Financial Officer of a corporation determines the amount of dividend to be paid.
E) Corporate shareholders may receive a tax break on a portion of their dividend income.
A) Dividends are nontaxable income to shareholders.
B) Dividends reduce the taxable income of the corporation.
C) The Chief Executive Officer of a corporation is responsible for declaring dividends.
D) The Chief Financial Officer of a corporation determines the amount of dividend to be paid.
E) Corporate shareholders may receive a tax break on a portion of their dividend income.
فتح الحزمة
افتح القفل للوصول البطاقات البالغ عددها 119 في هذه المجموعة.
فتح الحزمة
k this deck
60
You own 600 shares of a NASDAQ listed stock that you wish to sell.Which of the following are options available to you for this purpose?
I.sell the shares to a dealer at the dealer's bid price
II.sell directly to another individual via an ECN
III.offer the shares yourself on NASDAQ via an ECN
IV.have a broker offer the shares for sale on the NYSE
A) I and II only
B) III and IV only
C) II and III only
D) I,II,and III only
E) II,III,and IV only
I.sell the shares to a dealer at the dealer's bid price
II.sell directly to another individual via an ECN
III.offer the shares yourself on NASDAQ via an ECN
IV.have a broker offer the shares for sale on the NYSE
A) I and II only
B) III and IV only
C) II and III only
D) I,II,and III only
E) II,III,and IV only
فتح الحزمة
افتح القفل للوصول البطاقات البالغ عددها 119 في هذه المجموعة.
فتح الحزمة
k this deck
61

Denver Shoppes will pay an annual dividend of $1.46 a share next year with future dividends increasing by 4.2 percent annually.What is the market rate of return if the stock is currently selling for $42.10 a share?
A) 6.55 percent
B) 7.13 percent
C) 7.46 percent
D) 7.67 percent
E) 8.29 percent
فتح الحزمة
افتح القفل للوصول البطاقات البالغ عددها 119 في هذه المجموعة.
فتح الحزمة
k this deck
62

The common stock of Textile Mills pays an annual dividend of $1.65 a share.The company has promised to maintain a constant dividend even though economic times are tough.How much are you willing to pay for one share of this stock if you want to earn a 12 percent annual return?
A) $13.75
B) $14.01
C) $14.56
D) $14.79
E) $15.23
فتح الحزمة
افتح القفل للوصول البطاقات البالغ عددها 119 في هذه المجموعة.
فتح الحزمة
k this deck
63
Roy's Welding Supplies common stock sells for $38 a share and pays an annual dividend that increases by 3 percent annually.The market rate of return on this stock is 8.20 percent.What is the amount of the last dividend paid?
A) $1.80
B) $1.86
C) $1.92
D) $1.98
E) $2.10
A) $1.80
B) $1.86
C) $1.92
D) $1.98
E) $2.10
فتح الحزمة
افتح القفل للوصول البطاقات البالغ عددها 119 في هذه المجموعة.
فتح الحزمة
k this deck
64

Northern Gas recently paid a $2.80 annual dividend on its common stock.This dividend increases at an average rate of 3.8 percent per year.The stock is currently selling for $26.91 a share.What is the market rate of return?
A) 13.88 percent
B) 14.03 percent
C) 14.21 percent
D) 14.37 percent
E) 14.60 percent
فتح الحزمة
افتح القفل للوصول البطاقات البالغ عددها 119 في هذه المجموعة.
فتح الحزمة
k this deck
65
Electronics,Inc.common stock returned a nifty 23.5 percent rate of return last year.The dividend amount was $0.25 a share which equated to a dividend yield of 0.95 percent.What was the rate of price appreciation for the year?
A) 22.55 percent
B) 23.38 percent
C) 23.60 percent
D) 23.87 percent
E) 23.52 percent
A) 22.55 percent
B) 23.38 percent
C) 23.60 percent
D) 23.87 percent
E) 23.52 percent
فتح الحزمة
افتح القفل للوصول البطاقات البالغ عددها 119 في هذه المجموعة.
فتح الحزمة
k this deck
66

Upper Crust Bakers just paid an annual dividend of $3.10 a share and is expected to increase that amount by 4 percent per year.If you are planning to buy 1,000 shares of this stock next year,how much should you expect to pay per share if the market rate of return for this type of security is 12 percent at the time of your purchase?
A) $37.33
B) $38.16
C) $38.83
D) $41.91
E) $42.00
فتح الحزمة
افتح القفل للوصول البطاقات البالغ عددها 119 في هذه المجموعة.
فتح الحزمة
k this deck
67

Combined Communications is a new firm in a rapidly growing industry.The company is planning on increasing its annual dividend by 15 percent a year for the next 4 years and then decreasing the growth rate to 3.5 percent per year.The company just paid its annual dividend in the amount of $0.20 per share.What is the current value of one share of this stock if the required rate of return is 15.5 percent?
A) $1.82
B) $2.04
C) $2.49
D) $2.71
E) $3.05
فتح الحزمة
افتح القفل للوصول البطاقات البالغ عددها 119 في هذه المجموعة.
فتح الحزمة
k this deck
68

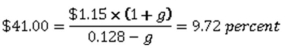
Home Canning Products common stock sells for $41.00 a share and has a market rate of return of 12.8 percent.The company just paid an annual dividend of $1.15 per share.What is the dividend growth rate?
A) 8.29 percent
B) 8.45 percent
C) 9.23 percent
D) 9.67 percent
E) 9.72 percent
فتح الحزمة
افتح القفل للوصول البطاقات البالغ عددها 119 في هذه المجموعة.
فتح الحزمة
k this deck
69

The current dividend yield on Clayton's Metals common stock is 3.2 percent.The company just paid a $1.48 annual dividend and announced plans to pay $1.54 next year.The dividend growth rate is expected to remain constant at the current level.What is the required rate of return on this stock?
A) 7.25 percent
B) 7.82 percent
C) 8.08 percent
D) 8.39 percent
E) 8.75 percent
فتح الحزمة
افتح القفل للوصول البطاقات البالغ عددها 119 في هذه المجموعة.
فتح الحزمة
k this deck
70

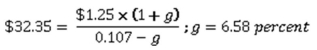
Shares of Hot Donuts common stock are currently selling for $32.35.The last annual dividend paid was $1.25 per share and the market rate of return is 10.7 percent.At what rate is the dividend growing?
A) 6.58 percent
B) 8.67 percent
C) 10.42 percent
D) 12.60 percent
E) 14.10 percent
فتح الحزمة
افتح القفل للوصول البطاقات البالغ عددها 119 في هذه المجموعة.
فتح الحزمة
k this deck
71

Douglass Gardens pays an annual dividend that is expected to increase by 3.6 percent per year.The stock commands a market rate of return of 12.6 percent and sells for $28.50 a share.What is the expected amount of the next dividend?
A) $2.03
B) $2.57
C) $3.17
D) $2.20
E) $2.28
فتح الحزمة
افتح القفل للوصول البطاقات البالغ عددها 119 في هذه المجموعة.
فتح الحزمة
k this deck
72
A stock pays a constant annual dividend and sells for $56.10 a share.If the market rate of return on this stock is 12.5 percent,what is the amount of the next annual dividend?
A) $5.67
B) $5.94
C) $6.21
D) $6.84
E) $7.30
A) $5.67
B) $5.94
C) $6.21
D) $6.84
E) $7.30
فتح الحزمة
افتح القفل للوصول البطاقات البالغ عددها 119 في هذه المجموعة.
فتح الحزمة
k this deck
73

Hightower Pharmacy just paid a $3.10 annual dividend.The company has a policy of increasing the dividend by 4.2 percent annually.You would like to purchase 100 shares of stock in this firm but realize that you will not have the funds to do so for another four years.If you require a 16 percent rate of return,how much will you be willing to pay per share for the 100 shares when you can afford to make this investment?
A) $31.50
B) $32.27
C) $33.12
D) $33.78
E) $34.47
فتح الحزمة
افتح القفل للوصول البطاقات البالغ عددها 119 في هذه المجموعة.
فتح الحزمة
k this deck
74

Atlas Mines has adopted a policy of increasing the annual dividend on its common stock at a constant rate of 2.75 percent annually.The firm just paid an annual dividend of $1.67.What will the dividend be six years from now?
A) $1.88
B) $1.92
C) $1.97
D) $2.02
E) $2.05
فتح الحزمة
افتح القفل للوصول البطاقات البالغ عددها 119 في هذه المجموعة.
فتح الحزمة
k this deck
75
You want to purchase some shares of Green World stock but need a 15 percent rate of return to compensate for the perceived risk of such ownership.What is the maximum you are willing to spend per share to buy this stock if the company pays a constant $0.90 annual dividend per share?
A) $5.40
B) $6.00
C) $6.90
D) $7.20
E) $7.80
A) $5.40
B) $6.00
C) $6.90
D) $7.20
E) $7.80
فتح الحزمة
افتح القفل للوصول البطاقات البالغ عددها 119 في هذه المجموعة.
فتح الحزمة
k this deck
76

Winter Time Adventures is going to pay an annual dividend of $2.86 a share on its common stock next year.This year,the company paid a dividend of $2.75 a share.The company adheres to a constant rate of growth dividend policy.What will one share of this common stock be worth five years from now if the applicable discount rate is 11.7 percent?
A) $43.45
B) $43.87
C) $44.15
D) $45.19
E) $47.00
فتح الحزمة
افتح القفل للوصول البطاقات البالغ عددها 119 في هذه المجموعة.
فتح الحزمة
k this deck
77

Great Lakes Health Care common stock offers an expected total return of 9.2 percent.The last annual dividend was $2.10 a share.Dividends increase at a constant 2.6 percent per year.What is the dividend yield?
A) 3.75 percent
B) 4.20 percent
C) 4.55 percent
D) 5.25 percent
E) 6.60 percent
فتح الحزمة
افتح القفل للوصول البطاقات البالغ عددها 119 في هذه المجموعة.
فتح الحزمة
k this deck
78

Show Boat Dinner Theatres has paid annual dividends of $0.32,$0.52,and $0.60 a share over the past three years,respectively.The company now predicts that it will maintain a constant dividend since its business has leveled off and sales are expected to remain relatively flat.Given the lack of future growth,you will only buy this stock if you can earn at least a 19 percent rate of return.What is the maximum amount you are willing to pay for one share of this stock today?
A) $2.43
B) $3.16
C) $4.43
D) $4.69
E) $4.82
فتح الحزمة
افتح القفل للوصول البطاقات البالغ عددها 119 في هذه المجموعة.
فتح الحزمة
k this deck
79

National Warehousing just announced it is increasing its annual dividend to $1.18 next year and establishing a policy whereby the dividend will increase by 3.25 percent annually thereafter.How much will one share of this stock be worth 8 years from now if the required rate of return is 9.5 percent?
A) $24.38
B) $25.68
C) $26.51
D) $27.02
E) $27.37
فتح الحزمة
افتح القفل للوصول البطاقات البالغ عددها 119 في هذه المجموعة.
فتح الحزمة
k this deck
80

The common stock of Auto Deliveries sells for $28.16 a share.The stock is expected to pay $1.35 per share next year when the annual dividend is distributed.The firm has established a pattern of increasing its dividends by 3 percent annually and expects to continue doing so.What is the market rate of return on this stock?
A) 7.42 percent
B) 7.79 percent
C) 19.67 percent
D) 20.14 percent
E) 20.86 percent
فتح الحزمة
افتح القفل للوصول البطاقات البالغ عددها 119 في هذه المجموعة.
فتح الحزمة
k this deck

