Deck 2: Alkanes: The Nature of Organic Compounds
سؤال
سؤال
سؤال
سؤال
سؤال
سؤال
سؤال
سؤال
سؤال
سؤال
سؤال
سؤال
سؤال
سؤال
سؤال
سؤال
سؤال
سؤال
سؤال
سؤال
سؤال
سؤال
سؤال
سؤال
سؤال
سؤال
سؤال
سؤال
سؤال
سؤال
سؤال
سؤال
سؤال
سؤال
سؤال
سؤال
سؤال
سؤال
سؤال
سؤال
سؤال
سؤال
سؤال
سؤال
سؤال
سؤال
Match between columns
فتح الحزمة
قم بالتسجيل لفتح البطاقات في هذه المجموعة!
Unlock Deck
Unlock Deck
1/46
العب
ملء الشاشة (f)
Deck 2: Alkanes: The Nature of Organic Compounds
1
Label the following pair of compounds as: 
A) identical
B) constitutional isomers
C) stereoisomers
D) unrelated

A) identical
B) constitutional isomers
C) stereoisomers
D) unrelated
B
2
Provide a skeletal structure for 5-tert-butyl-2,3-dimethyloctane.

3
Which hydrogen atom(s) in the following compound is (are) classified as tertiary? 
A) a
B) b
C) c
D) both a and c
E) There are no tertiary hydrogen atoms.

A) a
B) b
C) c
D) both a and c
E) There are no tertiary hydrogen atoms.
B
4
Draw the structure of a five carbon ketone containing one tertiary carbon atom.
فتح الحزمة
افتح القفل للوصول البطاقات البالغ عددها 46 في هذه المجموعة.
فتح الحزمة
k this deck
5
Provide the proper IUPAC name for the compound below. 

فتح الحزمة
افتح القفل للوصول البطاقات البالغ عددها 46 في هذه المجموعة.
فتح الحزمة
k this deck
6
One of the functional group classifications is characterized by the presence of an sp2 hybridized carbon atom. This functional group could be:
A) alkyl halide
B) sulfide
C) alcohol
D) aldehyde
E) alkyne
A) alkyl halide
B) sulfide
C) alcohol
D) aldehyde
E) alkyne
فتح الحزمة
افتح القفل للوصول البطاقات البالغ عددها 46 في هذه المجموعة.
فتح الحزمة
k this deck
7
Instructions: Refer to the structure below to answer the following question(s).
Refer to instructions. Which of the labeled groups in the structure are equatorial?
Refer to instructions. Which of the labeled groups in the structure are equatorial? فتح الحزمة
افتح القفل للوصول البطاقات البالغ عددها 46 في هذه المجموعة.
فتح الحزمة
k this deck
8
To which functional group classification does the following molecule belong? 
A) ester
B) ketone
C) alcohol
D) carboxylic acid
E) both b and c

A) ester
B) ketone
C) alcohol
D) carboxylic acid
E) both b and c
فتح الحزمة
افتح القفل للوصول البطاقات البالغ عددها 46 في هذه المجموعة.
فتح الحزمة
k this deck
9
Circle and name each functional group in the following structure.


فتح الحزمة
افتح القفل للوصول البطاقات البالغ عددها 46 في هذه المجموعة.
فتح الحزمة
k this deck
10
What is the IUPAC name of the following compound? 
A) 2-ethyl-4-methylpentane
B) 2,4-dimethylhexane
C) 3,5-dimethylhexane
D) 1,1,3-trimethylpentane

A) 2-ethyl-4-methylpentane
B) 2,4-dimethylhexane
C) 3,5-dimethylhexane
D) 1,1,3-trimethylpentane
فتح الحزمة
افتح القفل للوصول البطاقات البالغ عددها 46 في هذه المجموعة.
فتح الحزمة
k this deck
11
Which of the following functional group classifications do not contain oxygen?
A) ether
B) thiol
C) aldehyde
D) ester
E) amide
A) ether
B) thiol
C) aldehyde
D) ester
E) amide
فتح الحزمة
افتح القفل للوصول البطاقات البالغ عددها 46 في هذه المجموعة.
فتح الحزمة
k this deck
12
Name these groups (left to right).
where
represents the parent chain.
A) sec-propyl, sec-butyl, isobutyl
B) isopropyl, isobutyl, sec-butyl
C) sec-propyl, tert-butyl, isobutyl
D) isopropyl, tert-butyl, isobutyl
E) isopropyl, tert-butyl, sec-butyl
where
represents the parent chain.A) sec-propyl, sec-butyl, isobutyl
B) isopropyl, isobutyl, sec-butyl
C) sec-propyl, tert-butyl, isobutyl
D) isopropyl, tert-butyl, isobutyl
E) isopropyl, tert-butyl, sec-butyl
فتح الحزمة
افتح القفل للوصول البطاقات البالغ عددها 46 في هذه المجموعة.
فتح الحزمة
k this deck
13
Provide a proper IUPAC name for the compound given below. 

فتح الحزمة
افتح القفل للوصول البطاقات البالغ عددها 46 في هذه المجموعة.
فتح الحزمة
k this deck
14
Which of the following alkanes is the most likely to be a liquid at room temperature?
A) propane
B) butane
C) pentane
D) hexane
A) propane
B) butane
C) pentane
D) hexane
فتح الحزمة
افتح القفل للوصول البطاقات البالغ عددها 46 في هذه المجموعة.
فتح الحزمة
k this deck
15
The carbon atoms within the functional group of the following classifications are: alkene ester carboxylic acid amide
A) sp
B) sp2
C) sp3
D) sp2 and sp3
A) sp
B) sp2
C) sp3
D) sp2 and sp3
فتح الحزمة
افتح القفل للوصول البطاقات البالغ عددها 46 في هذه المجموعة.
فتح الحزمة
k this deck
16
4-ethyl-3,3,4-trimethylheptane contains:
A) two quaternary carbon atoms
B) two tertiary carbon atoms
C) four secondary carbon atoms
D) a and c
E) all of these
A) two quaternary carbon atoms
B) two tertiary carbon atoms
C) four secondary carbon atoms
D) a and c
E) all of these
فتح الحزمة
افتح القفل للوصول البطاقات البالغ عددها 46 في هذه المجموعة.
فتح الحزمة
k this deck
17
Draw and name the seven constitutional isomers for cycloalkane, C6H12.
فتح الحزمة
افتح القفل للوصول البطاقات البالغ عددها 46 في هذه المجموعة.
فتح الحزمة
k this deck
18
4-ethyl-3,3,4-trimethylheptane could be classified as:
A) an alkane
B) saturated
C) aliphatic
D) a paraffin
E) all of these
A) an alkane
B) saturated
C) aliphatic
D) a paraffin
E) all of these
فتح الحزمة
افتح القفل للوصول البطاقات البالغ عددها 46 في هذه المجموعة.
فتح الحزمة
k this deck
19
How many constitutional isomers are there with the molecular formula C6H14?
A) 3
B) 4
C) 5
D) 8
A) 3
B) 4
C) 5
D) 8
فتح الحزمة
افتح القفل للوصول البطاقات البالغ عددها 46 في هذه المجموعة.
فتح الحزمة
k this deck
20
Designate each carbon as primary, secondary, tertiary, or quaternary. 

فتح الحزمة
افتح القفل للوصول البطاقات البالغ عددها 46 في هذه المجموعة.
فتح الحزمة
k this deck
21
Which of the following structures represents trans-1,2-dimethylcyclohexane?
A)
B)
C)
D)
A)

B)

C)

D)

فتح الحزمة
افتح القفل للوصول البطاقات البالغ عددها 46 في هذه المجموعة.
فتح الحزمة
k this deck
22
Instructions: Label each pair of compounds below as:
Where stereoisomers are present, label the isomers as cis and trans.
Label:

Where stereoisomers are present, label the isomers as cis and trans.Label:

فتح الحزمة
افتح القفل للوصول البطاقات البالغ عددها 46 في هذه المجموعة.
فتح الحزمة
k this deck
23
Which of the following cycloalkanes has the most ring strain?
A) cyclopropane
B) cyclobutane
C) cyclopentane
D) cyclohexane
A) cyclopropane
B) cyclobutane
C) cyclopentane
D) cyclohexane
فتح الحزمة
افتح القفل للوصول البطاقات البالغ عددها 46 في هذه المجموعة.
فتح الحزمة
k this deck
24
This skeletal structure corresponds to the molecular formula:


فتح الحزمة
افتح القفل للوصول البطاقات البالغ عددها 46 في هذه المجموعة.
فتح الحزمة
k this deck
25
Instructions:
MATCH a structure below to each of the following descriptions and place the letter corresponding to the structure in the blank.
Refer to Instructions. _____is an aromatic ketone.
MATCH a structure below to each of the following descriptions and place the letter corresponding to the structure in the blank.
Refer to Instructions. _____is an aromatic ketone. فتح الحزمة
افتح القفل للوصول البطاقات البالغ عددها 46 في هذه المجموعة.
فتح الحزمة
k this deck
26
Instructions: Label each pair of compounds below as:


فتح الحزمة
افتح القفل للوصول البطاقات البالغ عددها 46 في هذه المجموعة.
فتح الحزمة
k this deck
27
Instructions: Refer to the structure below to answer the following question(s).
Refer to instructions. Which of the labeled groups is trans to b?
Refer to instructions. Which of the labeled groups is trans to b? فتح الحزمة
افتح القفل للوصول البطاقات البالغ عددها 46 في هذه المجموعة.
فتح الحزمة
k this deck
28
Which of the following is the most stable conformation of trans-1-ethyl-3-methylcyclohexane?
A)
B)
C)
D)
A)

B)

C)

D)

فتح الحزمة
افتح القفل للوصول البطاقات البالغ عددها 46 في هذه المجموعة.
فتح الحزمة
k this deck
29
Instructions: (-)-Menthol is responsible for the characteristic flavor and taste of peppermint. The structure of (-)-menthol is shown below. Use this information to answer the following question.
Refer to instructions. On the chair template provided below, draw the two chair conformations that are in equilibrium for (-)-menthol. 
Refer to instructions. On the chair template provided below, draw the two chair conformations that are in equilibrium for (-)-menthol. 
فتح الحزمة
افتح القفل للوصول البطاقات البالغ عددها 46 في هذه المجموعة.
فتح الحزمة
k this deck
30
Draw two isomeric alcohols with the formula C4H10O.
فتح الحزمة
افتح القفل للوصول البطاقات البالغ عددها 46 في هذه المجموعة.
فتح الحزمة
k this deck
31
D-Pinitol is an interesting hexahydroxycyclohexane, whose structure is shown below.
On the templates provided, draw the two chair conformations that are in equilibrium for D-pinitol. Circle the most stable conformation. 
On the templates provided, draw the two chair conformations that are in equilibrium for D-pinitol. Circle the most stable conformation. 
فتح الحزمة
افتح القفل للوصول البطاقات البالغ عددها 46 في هذه المجموعة.
فتح الحزمة
k this deck
32
Instructions: Refer to the structure below to answer the following question(s).
Refer to instructions. Which groups have a 1,3-diaxial interaction with each other?
Refer to instructions. Which groups have a 1,3-diaxial interaction with each other? فتح الحزمة
افتح القفل للوصول البطاقات البالغ عددها 46 في هذه المجموعة.
فتح الحزمة
k this deck
33
Which of the following is the most stable conformation of cis-1-isopropyl-3-methylcyclohexane?
A)
B)
C)
D)
A)

B)

C)

D)

فتح الحزمة
افتح القفل للوصول البطاقات البالغ عددها 46 في هذه المجموعة.
فتح الحزمة
k this deck
34
Instructions:
MATCH a structure below to each of the following descriptions and place the letter corresponding to the structure in the blank.
Refer to Instructions. _____is a tertiary chloride.
MATCH a structure below to each of the following descriptions and place the letter corresponding to the structure in the blank.
Refer to Instructions. _____is a tertiary chloride. فتح الحزمة
افتح القفل للوصول البطاقات البالغ عددها 46 في هذه المجموعة.
فتح الحزمة
k this deck
35
Which of the following structures represents trans-1,3-dimethylcyclohexane?
A)
B)
C)
D)
A)

B)

C)

D)

فتح الحزمة
افتح القفل للوصول البطاقات البالغ عددها 46 في هذه المجموعة.
فتح الحزمة
k this deck
36
Instructions: For each disubstituted cyclohexane below, draw its ring-flip isomer. Circle the most stable conformation and label the substituent groups as axial or equatorial.
Draw and label:
Draw and label:
فتح الحزمة
افتح القفل للوصول البطاقات البالغ عددها 46 في هذه المجموعة.
فتح الحزمة
k this deck
37
In which of the following compounds would the carbon-carbon bond angle diverge the greatest from 109 ?
A) cyclodecane
B) cyclooctane
C) cyclopentane
D) cyclopropane
A) cyclodecane
B) cyclooctane
C) cyclopentane
D) cyclopropane
فتح الحزمة
افتح القفل للوصول البطاقات البالغ عددها 46 في هذه المجموعة.
فتح الحزمة
k this deck
38
Instructions:
MATCH a structure below to each of the following descriptions and place the letter corresponding to the structure in the blank.
Refer to Instructions. _______is an amino aldehyde.
MATCH a structure below to each of the following descriptions and place the letter corresponding to the structure in the blank.
Refer to Instructions. _______is an amino aldehyde. فتح الحزمة
افتح القفل للوصول البطاقات البالغ عددها 46 في هذه المجموعة.
فتح الحزمة
k this deck
39
Substitution of which of the following groups on a cycloalkane would result in the greatest amount of steric strain?
A) bromo
B) ethyl
C) isopropyl
D) hydroxyl
A) bromo
B) ethyl
C) isopropyl
D) hydroxyl
فتح الحزمة
افتح القفل للوصول البطاقات البالغ عددها 46 في هذه المجموعة.
فتح الحزمة
k this deck
40
Instructions: For each disubstituted cyclohexane below, draw its ring-flip isomer. Circle the most stable conformation and label the substituent groups as axial or equatorial.
Draw and label:
Draw and label:
فتح الحزمة
افتح القفل للوصول البطاقات البالغ عددها 46 في هذه المجموعة.
فتح الحزمة
k this deck
41
Draw the Newman projection for the specified conformations for rotation about the C-C bond of 1,2-dichloroethane.
There are two staggered conformations of 1,2-dichloroethane. Draw them.
There are two staggered conformations of 1,2-dichloroethane. Draw them.
فتح الحزمة
افتح القفل للوصول البطاقات البالغ عددها 46 في هذه المجموعة.
فتح الحزمة
k this deck
42
Instructions:
MATCH a structure below to each of the following descriptions and place the letter corresponding to the structure in the blank.
Refer to Instructions. _____is a cyclic alkane with two cis methyl groups.
MATCH a structure below to each of the following descriptions and place the letter corresponding to the structure in the blank.
Refer to Instructions. _____is a cyclic alkane with two cis methyl groups. فتح الحزمة
افتح القفل للوصول البطاقات البالغ عددها 46 في هذه المجموعة.
فتح الحزمة
k this deck
43
Draw the Newman projection for the specified conformations for rotation about the C-C bond of 1,2-dichloroethane.
There are two eclipsed conformations of 1,2-dichloroethane. Draw them.
There are two eclipsed conformations of 1,2-dichloroethane. Draw them.
فتح الحزمة
افتح القفل للوصول البطاقات البالغ عددها 46 في هذه المجموعة.
فتح الحزمة
k this deck
44
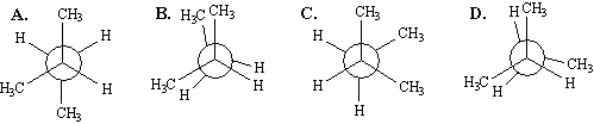
Instructions:
Consider the conformations of 2-methylbutane shown below to answer the following questions.
Refer to Instructions. Which of the structures represents the least stable conformation of 2-methylbutane?
Consider the conformations of 2-methylbutane shown below to answer the following questions.
Refer to Instructions. Which of the structures represents the least stable conformation of 2-methylbutane? فتح الحزمة
افتح القفل للوصول البطاقات البالغ عددها 46 في هذه المجموعة.
فتح الحزمة
k this deck
45
Draw a structure corresponding to the following name:
cis-1-sec-butyl-2-ethylcyclopentane
cis-1-sec-butyl-2-ethylcyclopentane
فتح الحزمة
افتح القفل للوصول البطاقات البالغ عددها 46 في هذه المجموعة.
فتح الحزمة
k this deck
47
Match between columns
فتح الحزمة
افتح القفل للوصول البطاقات البالغ عددها 46 في هذه المجموعة.
فتح الحزمة
k this deck








