Deck 8: Reactions of Alkenes and Alkynes
سؤال
سؤال
سؤال
سؤال
سؤال
سؤال
سؤال
سؤال
سؤال
سؤال
سؤال
سؤال
سؤال
سؤال
سؤال
سؤال
سؤال
سؤال
سؤال
سؤال
سؤال
سؤال
سؤال
سؤال
سؤال
سؤال
سؤال
سؤال
سؤال
سؤال
سؤال
سؤال
سؤال
سؤال
سؤال
سؤال
سؤال
سؤال
فتح الحزمة
قم بالتسجيل لفتح البطاقات في هذه المجموعة!
Unlock Deck
Unlock Deck
1/38
العب
ملء الشاشة (f)
Deck 8: Reactions of Alkenes and Alkynes
1
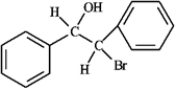
How many isomeric products would be formed when the following compound undergoes dehydration? 
A) 1
B) 2
C) 3
D) 4
E) 5

A) 1
B) 2
C) 3
D) 4
E) 5
5
2
The reaction conditions to carry out the production of cyclopentene using bromocyclopentane as the starting material would be:
A) KOH, CH3CH2OH
B) H2SO4, THF
C) H2O2, OH−
D) Hg(OAc)2,H2O
A) KOH, CH3CH2OH
B) H2SO4, THF
C) H2O2, OH−
D) Hg(OAc)2,H2O
KOH, CH3CH2OH
3
Compare the products when the following compound reacts with Br2 in the presence of an organic solvent versus water. 

Organic solvent − bromination
Water − halohydrin formation
In an organic solvent halogenation of the alkene will occur producing a halogenated alkane, while in water (another nucleophile) the product formed would be the halohydrin.
Water − halohydrin formation
In an organic solvent halogenation of the alkene will occur producing a halogenated alkane, while in water (another nucleophile) the product formed would be the halohydrin. 4
The product(s) of the reaction when carried out in an organic solvent
would be:
A) cis-1,2-dibromocyclohexane only
B) trans-1,2-dibromocyclohexane only
C) 50/50 mixture of cis-1,2-dibromocyclohexane and trans-1,2-dibromocyclohexane only
D) mixture with > 50% being trans-1,2-dibromocyclohexane only
would be:A) cis-1,2-dibromocyclohexane only
B) trans-1,2-dibromocyclohexane only
C) 50/50 mixture of cis-1,2-dibromocyclohexane and trans-1,2-dibromocyclohexane only
D) mixture with > 50% being trans-1,2-dibromocyclohexane only
فتح الحزمة
افتح القفل للوصول البطاقات البالغ عددها 38 في هذه المجموعة.
فتح الحزمة
k this deck
5
The reaction of 2-methylpropene with HBr in ether gives one of the two products below. Answer the following question(s) about this reaction. 
Refer to instructions. The reaction mixture would contain a majority of which isomeric product?

Refer to instructions. The reaction mixture would contain a majority of which isomeric product?
فتح الحزمة
افتح القفل للوصول البطاقات البالغ عددها 38 في هذه المجموعة.
فتح الحزمة
k this deck
6
Consider the reaction sequence below to answer the following question. 
Refer to instructions. Write the complete reaction mechanism for the first step of this reaction sequence. Show all electron flow with arrows and show all intermediate structures.

Refer to instructions. Write the complete reaction mechanism for the first step of this reaction sequence. Show all electron flow with arrows and show all intermediate structures.
فتح الحزمة
افتح القفل للوصول البطاقات البالغ عددها 38 في هذه المجموعة.
فتح الحزمة
k this deck
7
Predict the products of each reaction below. Indicate regiochemistry and stereochemistry when relevant.
Predict and indicate:
Predict and indicate:

فتح الحزمة
افتح القفل للوصول البطاقات البالغ عددها 38 في هذه المجموعة.
فتح الحزمة
k this deck
8
Predict the structure of the alkene you would use to prepare the alkyl halide below.
Predict:
Predict:

فتح الحزمة
افتح القفل للوصول البطاقات البالغ عددها 38 في هذه المجموعة.
فتح الحزمة
k this deck
9
Which set of reagents is used for the Markovnikov addition of water to an alkene without rearrangement?
A) BH3, THF followed by H2O2, NaOH
B) H2O, H2SO4
C) Hg(O2CCH3)2, H2O followed by NaBH4, NaOH
D) none of these
A) BH3, THF followed by H2O2, NaOH
B) H2O, H2SO4
C) Hg(O2CCH3)2, H2O followed by NaBH4, NaOH
D) none of these
فتح الحزمة
افتح القفل للوصول البطاقات البالغ عددها 38 في هذه المجموعة.
فتح الحزمة
k this deck
10
For each reaction below, suggest structures for alkenes that give the indicated reaction products. There may be more than one answer.
Suggest structure(s):
Suggest structure(s):

فتح الحزمة
افتح القفل للوصول البطاقات البالغ عددها 38 في هذه المجموعة.
فتح الحزمة
k this deck
11
What is the major product of this reaction? 

فتح الحزمة
افتح القفل للوصول البطاقات البالغ عددها 38 في هذه المجموعة.
فتح الحزمة
k this deck
12
The reaction of 2-methylpropene with HBr in ether gives one of the two products below. Answer the following question(s) about this reaction. 
Refer to instructions. Which product is the Markovnikov product?

Refer to instructions. Which product is the Markovnikov product?
فتح الحزمة
افتح القفل للوصول البطاقات البالغ عددها 38 في هذه المجموعة.
فتح الحزمة
k this deck
13
To answer the question(s) below, consider the following reaction:
When cyclohexene reacts with chlorine in tetrachloromethane, the trans-dihalide is formed.
Refer to instructions. Write the complete, stepwise mechanism for this reaction. Show all intermediate structures and all electron flow using arrows.
When cyclohexene reacts with chlorine in tetrachloromethane, the trans-dihalide is formed.

Refer to instructions. Write the complete, stepwise mechanism for this reaction. Show all intermediate structures and all electron flow using arrows.
فتح الحزمة
افتح القفل للوصول البطاقات البالغ عددها 38 في هذه المجموعة.
فتح الحزمة
k this deck
14
For each reaction below, suggest structures for alkenes that give the indicated reaction products. There may be more than one answer.
Suggest structure(s):
Suggest structure(s):

فتح الحزمة
افتح القفل للوصول البطاقات البالغ عددها 38 في هذه المجموعة.
فتح الحزمة
k this deck
15
Predict the products of each reaction below. Indicate regiochemistry and stereochemistry when relevant.
Predict and indicate:
a)
b)If the product of the above reaction were subsequently treated with periodic acid (HIO4), write the formula for the product formed.
Predict and indicate:
a)
b)If the product of the above reaction were subsequently treated with periodic acid (HIO4), write the formula for the product formed. فتح الحزمة
افتح القفل للوصول البطاقات البالغ عددها 38 في هذه المجموعة.
فتح الحزمة
k this deck
16
Predict the product of the reaction below. Indicate regiochemistry and stereochemistry if relevant. (D2 = deuterium) 

فتح الحزمة
افتح القفل للوصول البطاقات البالغ عددها 38 في هذه المجموعة.
فتح الحزمة
k this deck
17
The reaction of 2-methylpropene with HBr in ether gives one of the two products below. Answer the following question(s) about this reaction. 
Refer to instructions. Which product would have a lower energy transition state for the formation of the intermediate leading to it?

Refer to instructions. Which product would have a lower energy transition state for the formation of the intermediate leading to it?
فتح الحزمة
افتح القفل للوصول البطاقات البالغ عددها 38 في هذه المجموعة.
فتح الحزمة
k this deck
18
Consider the reaction below to answer the following question(s).
Alkenes may be hydrated by the hydroboration/oxidation procedure shown.
Refer to instructions. The regiochemistry of hydroboration/oxidation of alkenes is:
A) Markovnikov.
B) non-Markovnikov
C) subject to solvent effects.
D) unrelated to alkene structure.
Alkenes may be hydrated by the hydroboration/oxidation procedure shown.

Refer to instructions. The regiochemistry of hydroboration/oxidation of alkenes is:
A) Markovnikov.
B) non-Markovnikov
C) subject to solvent effects.
D) unrelated to alkene structure.
فتح الحزمة
افتح القفل للوصول البطاقات البالغ عددها 38 في هذه المجموعة.
فتح الحزمة
k this deck
19
Consider the reaction below to answer the following question(s).
Alkenes may be hydrated by the hydroboration/oxidation procedure shown.
Refer to instructions. The intermediate formed in the first step of this reaction is:
A)

B)

C)

D)

Alkenes may be hydrated by the hydroboration/oxidation procedure shown.

Refer to instructions. The intermediate formed in the first step of this reaction is:
A)

B)

C)

D)

فتح الحزمة
افتح القفل للوصول البطاقات البالغ عددها 38 في هذه المجموعة.
فتح الحزمة
k this deck
20
Predict the major product of the following reaction. 

فتح الحزمة
افتح القفل للوصول البطاقات البالغ عددها 38 في هذه المجموعة.
فتح الحزمة
k this deck
21
What type of reaction mechanism is involved in the reaction of an alcohol with aqueous acid to give an alkene?
A) nucleophilic addition
B) electrophilic addition
C) radical addition
D) elimination
A) nucleophilic addition
B) electrophilic addition
C) radical addition
D) elimination
فتح الحزمة
افتح القفل للوصول البطاقات البالغ عددها 38 في هذه المجموعة.
فتح الحزمة
k this deck
22
What type of reactive intermediate is formed in the reaction of an alkene with HBr to give a bromoalkane?
A) carbocation
B) carbanion
C) radical
D) cyclic bromonium ion
A) carbocation
B) carbanion
C) radical
D) cyclic bromonium ion
فتح الحزمة
افتح القفل للوصول البطاقات البالغ عددها 38 في هذه المجموعة.
فتح الحزمة
k this deck
23
Draw the structure of the polymer formed from the monomer given below, showing four repeating units. 

فتح الحزمة
افتح القفل للوصول البطاقات البالغ عددها 38 في هذه المجموعة.
فتح الحزمة
k this deck
24
What type of reactive intermediate is formed in the reaction of an alkene with aqueous acid to give an alcohol?
A) carbocation
B) carbanion
C) radical
D) carbene
A) carbocation
B) carbanion
C) radical
D) carbene
فتح الحزمة
افتح القفل للوصول البطاقات البالغ عددها 38 في هذه المجموعة.
فتح الحزمة
k this deck
25
What is the major organic product obtained from the following reaction? 

فتح الحزمة
افتح القفل للوصول البطاقات البالغ عددها 38 في هذه المجموعة.
فتح الحزمة
k this deck
26
Circle whichever of the following would be classified as a conjugated diene. 

فتح الحزمة
افتح القفل للوصول البطاقات البالغ عددها 38 في هذه المجموعة.
فتح الحزمة
k this deck
27
Draw the structure of the monomer used to prepare the polymer shown below. 

فتح الحزمة
افتح القفل للوصول البطاقات البالغ عددها 38 في هذه المجموعة.
فتح الحزمة
k this deck
28
Draw all the isomeric products formed from the addition of HCl to the following compound. 

فتح الحزمة
افتح القفل للوصول البطاقات البالغ عددها 38 في هذه المجموعة.
فتح الحزمة
k this deck
29
What is the best choice of reagents to perform the following transformation? 
A) H2O, H2SO4
B) Hg(OAc)2 and H2O; followed by NaBH4
C) BH3; followed by H2O2, NaOH
D) OsO4; followed by NaHSO3

A) H2O, H2SO4
B) Hg(OAc)2 and H2O; followed by NaBH4
C) BH3; followed by H2O2, NaOH
D) OsO4; followed by NaHSO3
فتح الحزمة
افتح القفل للوصول البطاقات البالغ عددها 38 في هذه المجموعة.
فتح الحزمة
k this deck
30
What type of reactive intermediate is involved in both of the following general reaction types? 1)
Reaction of an alkene with Br2 in the presence of water to give a bromohydrin
2)
Two-step hydroxylation of an alkene
A) carbocation
B) carbanion
C) radical
D) cyclic bromonium ion
E) cyclic ion
Reaction of an alkene with Br2 in the presence of water to give a bromohydrin
2)
Two-step hydroxylation of an alkene
A) carbocation
B) carbanion
C) radical
D) cyclic bromonium ion
E) cyclic ion
فتح الحزمة
افتح القفل للوصول البطاقات البالغ عددها 38 في هذه المجموعة.
فتح الحزمة
k this deck
31
Complete the following reaction 

فتح الحزمة
افتح القفل للوصول البطاقات البالغ عددها 38 في هذه المجموعة.
فتح الحزمة
k this deck
32
What is the major organic product obtained from the following reaction? 

فتح الحزمة
افتح القفل للوصول البطاقات البالغ عددها 38 في هذه المجموعة.
فتح الحزمة
k this deck
33
What is the major organic product obtained from the following reaction? 

فتح الحزمة
افتح القفل للوصول البطاقات البالغ عددها 38 في هذه المجموعة.
فتح الحزمة
k this deck
34
What type of reaction mechanism accounts for the reaction of an alkyne with HBr to give an alkyl bromide?
A) nucleophilic addition
B) electrophilic addition
C) radical addition
D) elimination
A) nucleophilic addition
B) electrophilic addition
C) radical addition
D) elimination
فتح الحزمة
افتح القفل للوصول البطاقات البالغ عددها 38 في هذه المجموعة.
فتح الحزمة
k this deck
35
On the structures provided, draw arrows showing the electron flow in the reaction mechanism for the electrophilic addition of hydrogen bromide to hex-1-yne. 

فتح الحزمة
افتح القفل للوصول البطاقات البالغ عددها 38 في هذه المجموعة.
فتح الحزمة
k this deck
36
What type of reaction mechanism accounts for the reaction of an alkene with HBr to give an alkyl bromide?
A) nucleophilic addition
B) electrophilic addition
C) radical addition
D) elimination
A) nucleophilic addition
B) electrophilic addition
C) radical addition
D) elimination
فتح الحزمة
افتح القفل للوصول البطاقات البالغ عددها 38 في هذه المجموعة.
فتح الحزمة
k this deck
37
What is the best choice of reagents to perform the following transformation? 
A) H2O, H2SO4
B) HgSO4; followed by NaBH4
C) BH3; followed by H2O2
D) OsO4; followed by NaHSO3

A) H2O, H2SO4
B) HgSO4; followed by NaBH4
C) BH3; followed by H2O2
D) OsO4; followed by NaHSO3
فتح الحزمة
افتح القفل للوصول البطاقات البالغ عددها 38 في هذه المجموعة.
فتح الحزمة
k this deck
38
What is the major organic product obtained from the following reaction? 

فتح الحزمة
افتح القفل للوصول البطاقات البالغ عددها 38 في هذه المجموعة.
فتح الحزمة
k this deck

