Deck 27: Biomolecules: Lipids
سؤال
سؤال
سؤال
سؤال
سؤال
سؤال
سؤال
سؤال
سؤال
سؤال
سؤال
سؤال
سؤال
سؤال
سؤال
سؤال
سؤال
سؤال
سؤال
سؤال
سؤال
سؤال
سؤال
سؤال
سؤال
سؤال
سؤال
سؤال
سؤال
سؤال
سؤال
سؤال
سؤال
سؤال
سؤال
سؤال
سؤال
سؤال
سؤال
سؤال
سؤال
سؤال
سؤال
سؤال
سؤال
سؤال
سؤال
سؤال
سؤال
سؤال
سؤال
سؤال
سؤال
سؤال
فتح الحزمة
قم بالتسجيل لفتح البطاقات في هذه المجموعة!
Unlock Deck
Unlock Deck
1/54
العب
ملء الشاشة (f)
Deck 27: Biomolecules: Lipids
1
Exhibit 27-2
Refer to the structures of the terpenes below to answer the following question(s).
Show the positions of the isoprene units in each of the indicated terpenes.

abietic acid
Refer to the structures of the terpenes below to answer the following question(s).
Show the positions of the isoprene units in each of the indicated terpenes.

abietic acid

2
Exhibit 27-3
Indicate by asterisks the stereogenic centers present in each of the indicated terpenes.
grandisol
Indicate by asterisks the stereogenic centers present in each of the indicated terpenes.

grandisol

3
Exhibit 27-3
Indicate by asterisks the stereogenic centers present in each of the indicated terpenes.
abietic acid
Indicate by asterisks the stereogenic centers present in each of the indicated terpenes.

abietic acid

4
Exhibit 27-1
MATCH each of the following terms to a structure from the list below.There is only one correct structure for each term,and structures may be used more than once.Place the letter of the structure in the blank to the left of the corresponding term.
_____ a triglyceride
A)
B)
C)
D)
E)
F)
G)Malonyl ACP
H)

I)
J)

MATCH each of the following terms to a structure from the list below.There is only one correct structure for each term,and structures may be used more than once.Place the letter of the structure in the blank to the left of the corresponding term.
_____ a triglyceride
A)
B)
C)
D)
E)
F)
G)Malonyl ACP
H)

I)
J)

فتح الحزمة
افتح القفل للوصول البطاقات البالغ عددها 54 في هذه المجموعة.
فتح الحزمة
k this deck
5
Exhibit 27-1
MATCH each of the following terms to a structure from the list below.There is only one correct structure for each term,and structures may be used more than once.Place the letter of the structure in the blank to the left of the corresponding term.
_____ a sphingomyelin
A)
B)
C)
D)
E)
F)
G)Malonyl ACP
H)

I)
J)

MATCH each of the following terms to a structure from the list below.There is only one correct structure for each term,and structures may be used more than once.Place the letter of the structure in the blank to the left of the corresponding term.
_____ a sphingomyelin
A)
B)
C)
D)
E)
F)
G)Malonyl ACP
H)

I)
J)

فتح الحزمة
افتح القفل للوصول البطاقات البالغ عددها 54 في هذه المجموعة.
فتح الحزمة
k this deck
6
Exhibit 27-1
MATCH each of the following terms to a structure from the list below.There is only one correct structure for each term,and structures may be used more than once.Place the letter of the structure in the blank to the left of the corresponding term.
_____ starting material for fatty acid biosynthesis.
A)
B)
C)
D)
E)
F)
G) Malonyl ACP
H)

I)
J)

MATCH each of the following terms to a structure from the list below.There is only one correct structure for each term,and structures may be used more than once.Place the letter of the structure in the blank to the left of the corresponding term.
_____ starting material for fatty acid biosynthesis.
A)
B)
C)
D)
E)
F)
G) Malonyl ACP
H)

I)
J)

فتح الحزمة
افتح القفل للوصول البطاقات البالغ عددها 54 في هذه المجموعة.
فتح الحزمة
k this deck
7
Exhibit 27-1
MATCH each of the following terms to a structure from the list below.There is only one correct structure for each term,and structures may be used more than once.Place the letter of the structure in the blank to the left of the corresponding term.
_____ a phosphoglyceride
A)
B)
C)
D)
E)
F)
G)Malonyl ACP
H)

I)
J)

MATCH each of the following terms to a structure from the list below.There is only one correct structure for each term,and structures may be used more than once.Place the letter of the structure in the blank to the left of the corresponding term.
_____ a phosphoglyceride
A)
B)
C)
D)
E)
F)
G)Malonyl ACP
H)

I)
J)

فتح الحزمة
افتح القفل للوصول البطاقات البالغ عددها 54 في هذه المجموعة.
فتح الحزمة
k this deck
8
Exhibit 27-1
MATCH each of the following terms to a structure from the list below.There is only one correct structure for each term,and structures may be used more than once.Place the letter of the structure in the blank to the left of the corresponding term.
_____ a sesquiterpene
A)
B)
C)
D)
E)
F)
G)Malonyl ACP
H)

I)
J)

MATCH each of the following terms to a structure from the list below.There is only one correct structure for each term,and structures may be used more than once.Place the letter of the structure in the blank to the left of the corresponding term.
_____ a sesquiterpene
A)
B)
C)
D)
E)
F)
G)Malonyl ACP
H)

I)
J)

فتح الحزمة
افتح القفل للوصول البطاقات البالغ عددها 54 في هذه المجموعة.
فتح الحزمة
k this deck
9
Exhibit 27-2
Refer to the structures of the terpenes below to answer the following question(s).
Show the positions of the isoprene units in each of the indicated terpenes.

α-santonin
Refer to the structures of the terpenes below to answer the following question(s).
Show the positions of the isoprene units in each of the indicated terpenes.

α-santonin
فتح الحزمة
افتح القفل للوصول البطاقات البالغ عددها 54 في هذه المجموعة.
فتح الحزمة
k this deck
10
Exhibit 27-2
Refer to the structures of the terpenes below to answer the following question(s).
Show the positions of the isoprene units in each of the indicated terpenes.

linalool
Refer to the structures of the terpenes below to answer the following question(s).
Show the positions of the isoprene units in each of the indicated terpenes.

linalool
فتح الحزمة
افتح القفل للوصول البطاقات البالغ عددها 54 في هذه المجموعة.
فتح الحزمة
k this deck
11
Bolecic acid,C18H26O2,yields stearic acid,CH3(CH2)16COOH,on catalytic hydrogenation.Ozonolysis of bolecic acid yields the following products:
CH2O HOOC−COOH,HOOC(CH2)7COOH,and OHC(CH2)4COOH
Propose a structure for bolecic acid.
CH2O HOOC−COOH,HOOC(CH2)7COOH,and OHC(CH2)4COOH
Propose a structure for bolecic acid.
فتح الحزمة
افتح القفل للوصول البطاقات البالغ عددها 54 في هذه المجموعة.
فتح الحزمة
k this deck
12
Exhibit 27-1
MATCH each of the following terms to a structure from the list below.There is only one correct structure for each term,and structures may be used more than once.Place the letter of the structure in the blank to the left of the corresponding term.
_____ monoterpene precursor
A)
B)
C)
D)
E)
F)
G)Malonyl ACP
H)

I)
J)

MATCH each of the following terms to a structure from the list below.There is only one correct structure for each term,and structures may be used more than once.Place the letter of the structure in the blank to the left of the corresponding term.
_____ monoterpene precursor
A)
B)
C)
D)
E)
F)
G)Malonyl ACP
H)

I)
J)

فتح الحزمة
افتح القفل للوصول البطاقات البالغ عددها 54 في هذه المجموعة.
فتح الحزمة
k this deck
13
Exhibit 27-1
MATCH each of the following terms to a structure from the list below.There is only one correct structure for each term,and structures may be used more than once.Place the letter of the structure in the blank to the left of the corresponding term.
_____ a prostaglandin
A)
B)
C)
D)
E)
F)
G)Malonyl ACP
H)

I)
J)

MATCH each of the following terms to a structure from the list below.There is only one correct structure for each term,and structures may be used more than once.Place the letter of the structure in the blank to the left of the corresponding term.
_____ a prostaglandin
A)
B)
C)
D)
E)
F)
G)Malonyl ACP
H)

I)
J)

فتح الحزمة
افتح القفل للوصول البطاقات البالغ عددها 54 في هذه المجموعة.
فتح الحزمة
k this deck
14
Exhibit 27-3
Indicate by asterisks the stereogenic centers present in each of the indicated terpenes.
α-santonin
Indicate by asterisks the stereogenic centers present in each of the indicated terpenes.

α-santonin
فتح الحزمة
افتح القفل للوصول البطاقات البالغ عددها 54 في هذه المجموعة.
فتح الحزمة
k this deck
15
Exhibit 27-2
Refer to the structures of the terpenes below to answer the following question(s).
Show the positions of the isoprene units in each of the indicated terpenes.

grandisol
Refer to the structures of the terpenes below to answer the following question(s).
Show the positions of the isoprene units in each of the indicated terpenes.

grandisol
فتح الحزمة
افتح القفل للوصول البطاقات البالغ عددها 54 في هذه المجموعة.
فتح الحزمة
k this deck
16
Exhibit 27-1
MATCH each of the following terms to a structure from the list below.There is only one correct structure for each term,and structures may be used more than once.Place the letter of the structure in the blank to the left of the corresponding term.
_____ a glycerophospholipid
A)
B)
C)
D)
E)
F)
G)Malonyl ACP
H)

I)
J)

MATCH each of the following terms to a structure from the list below.There is only one correct structure for each term,and structures may be used more than once.Place the letter of the structure in the blank to the left of the corresponding term.
_____ a glycerophospholipid
A)
B)
C)
D)
E)
F)
G)Malonyl ACP
H)

I)
J)

فتح الحزمة
افتح القفل للوصول البطاقات البالغ عددها 54 في هذه المجموعة.
فتح الحزمة
k this deck
17
Exhibit 27-1
MATCH each of the following terms to a structure from the list below.There is only one correct structure for each term,and structures may be used more than once.Place the letter of the structure in the blank to the left of the corresponding term.
_____ a steroid
A)
B)
C)
D)
E)
F)
G)Malonyl ACP
H)

I)
J)

MATCH each of the following terms to a structure from the list below.There is only one correct structure for each term,and structures may be used more than once.Place the letter of the structure in the blank to the left of the corresponding term.
_____ a steroid
A)
B)
C)
D)
E)
F)
G)Malonyl ACP
H)

I)
J)

فتح الحزمة
افتح القفل للوصول البطاقات البالغ عددها 54 في هذه المجموعة.
فتح الحزمة
k this deck
18
Exhibit 27-1
MATCH each of the following terms to a structure from the list below.There is only one correct structure for each term,and structures may be used more than once.Place the letter of the structure in the blank to the left of the corresponding term.
_____ a soap
A)
B)
C)
D)
E)
F)
G)Malonyl ACP
H)

I)
J)

MATCH each of the following terms to a structure from the list below.There is only one correct structure for each term,and structures may be used more than once.Place the letter of the structure in the blank to the left of the corresponding term.
_____ a soap
A)
B)
C)
D)
E)
F)
G)Malonyl ACP
H)

I)
J)

فتح الحزمة
افتح القفل للوصول البطاقات البالغ عددها 54 في هذه المجموعة.
فتح الحزمة
k this deck
19
Exhibit 27-2
Refer to the structures of the terpenes below to answer the following question(s).
Show the positions of the isoprene units in each of the indicated terpenes.

lineatin
Refer to the structures of the terpenes below to answer the following question(s).
Show the positions of the isoprene units in each of the indicated terpenes.

lineatin
فتح الحزمة
افتح القفل للوصول البطاقات البالغ عددها 54 في هذه المجموعة.
فتح الحزمة
k this deck
20
Exhibit 27-2
Refer to the structures of the terpenes below to answer the following question(s).
Show the positions of the isoprene units in each of the indicated terpenes.

ocimene
Refer to the structures of the terpenes below to answer the following question(s).
Show the positions of the isoprene units in each of the indicated terpenes.

ocimene
فتح الحزمة
افتح القفل للوصول البطاقات البالغ عددها 54 في هذه المجموعة.
فتح الحزمة
k this deck
21
Exhibit 27-3
Indicate by asterisks the stereogenic centers present in each of the indicated terpenes.
lineatin
Indicate by asterisks the stereogenic centers present in each of the indicated terpenes.

lineatin
فتح الحزمة
افتح القفل للوصول البطاقات البالغ عددها 54 في هذه المجموعة.
فتح الحزمة
k this deck
22
Plant extracts,called essential oils,are largely a mixture of these lipids.
A)sphingolipids
B)prostaglandins
C)phosphoglycerides
D)terpenoids
A)sphingolipids
B)prostaglandins
C)phosphoglycerides
D)terpenoids
فتح الحزمة
افتح القفل للوصول البطاقات البالغ عددها 54 في هذه المجموعة.
فتح الحزمة
k this deck
23
Male sex hormones like testosterone are called:
A)androgens
B)estrogens
C)progestins
D)glucocorticoids
A)androgens
B)estrogens
C)progestins
D)glucocorticoids
فتح الحزمة
افتح القفل للوصول البطاقات البالغ عددها 54 في هذه المجموعة.
فتح الحزمة
k this deck
24
The major lipid components of cell membranes are:
A)sphingolipids
B)prostaglandins
C)phosphoglycerides
D)terpenoids
A)sphingolipids
B)prostaglandins
C)phosphoglycerides
D)terpenoids
فتح الحزمة
افتح القفل للوصول البطاقات البالغ عددها 54 في هذه المجموعة.
فتح الحزمة
k this deck
25
When soaps disperse in water,the long hydrocarbon tails cluster together in a hydrophobic ball,while the ionic heads on the surface of the cluster stick out into the water.These spherical clusters are called:
A)fatty acid esters
B)triacylglycerols
C)lipid bilayers
D)micelles
A)fatty acid esters
B)triacylglycerols
C)lipid bilayers
D)micelles
فتح الحزمة
افتح القفل للوصول البطاقات البالغ عددها 54 في هذه المجموعة.
فتح الحزمة
k this deck
26
Cell membranes,which form an effective barrier to the passage of ions and other components into and out of the cell,are:
A)fatty acid esters
B)tricacylglycerols
C)lipid bilayers
D)micelles
A)fatty acid esters
B)tricacylglycerols
C)lipid bilayers
D)micelles
فتح الحزمة
افتح القفل للوصول البطاقات البالغ عددها 54 في هذه المجموعة.
فتح الحزمة
k this deck
27
Exhibit 27-4
Draw the structures of the major organic product(s) you would expect to obtain from reaction of androsterone with each of the following reagents.
NaH,then CH3I
Draw the structures of the major organic product(s) you would expect to obtain from reaction of androsterone with each of the following reagents.

NaH,then CH3I
فتح الحزمة
افتح القفل للوصول البطاقات البالغ عددها 54 في هذه المجموعة.
فتح الحزمة
k this deck
28
Exhibit 27-4
Draw the structures of the major organic product(s) you would expect to obtain from reaction of androsterone with each of the following reagents.
PCC
Draw the structures of the major organic product(s) you would expect to obtain from reaction of androsterone with each of the following reagents.

PCC
فتح الحزمة
افتح القفل للوصول البطاقات البالغ عددها 54 في هذه المجموعة.
فتح الحزمة
k this deck
29
In humans,most steroids function as:
A)enzymes
B)hormones
C)nucleic acids
D)proteins
A)enzymes
B)hormones
C)nucleic acids
D)proteins
فتح الحزمة
افتح القفل للوصول البطاقات البالغ عددها 54 في هذه المجموعة.
فتح الحزمة
k this deck
30
Explain why soaps produce a scum when used in hard water (water containing divalent ions such as magnesium and calcium).
فتح الحزمة
افتح القفل للوصول البطاقات البالغ عددها 54 في هذه المجموعة.
فتح الحزمة
k this deck
31
Draw and name the product of the complete reaction of the following with glycerol.Atoms other than hydrogen and oxygen are labeled. 

فتح الحزمة
افتح القفل للوصول البطاقات البالغ عددها 54 في هذه المجموعة.
فتح الحزمة
k this deck
32
Abietic acid is an example of:
A)a monoterpene
B)a sesquiterpene
C)a diterpene
D)a sesterterpene
A)a monoterpene
B)a sesquiterpene
C)a diterpene
D)a sesterterpene
فتح الحزمة
افتح القفل للوصول البطاقات البالغ عددها 54 في هذه المجموعة.
فتح الحزمة
k this deck
33
Exhibit 27-4
Draw the structures of the major organic product(s) you would expect to obtain from reaction of androsterone with each of the following reagents.
NaBH4,ethanol
Draw the structures of the major organic product(s) you would expect to obtain from reaction of androsterone with each of the following reagents.

NaBH4,ethanol
فتح الحزمة
افتح القفل للوصول البطاقات البالغ عددها 54 في هذه المجموعة.
فتح الحزمة
k this deck
34
A group of C20 lipids that contain a five-membered ring with two long side chains.
A)sphingolipids
B)prostaglandins
C)phosphoglycerides
D)terpenoids
A)sphingolipids
B)prostaglandins
C)phosphoglycerides
D)terpenoids
فتح الحزمة
افتح القفل للوصول البطاقات البالغ عددها 54 في هذه المجموعة.
فتح الحزمة
k this deck
35
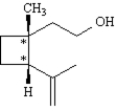
Exhibit 27-3
Indicate by asterisks the stereogenic centers present in each of the indicated terpenes.
linalool
Indicate by asterisks the stereogenic centers present in each of the indicated terpenes.

linalool
فتح الحزمة
افتح القفل للوصول البطاقات البالغ عددها 54 في هذه المجموعة.
فتح الحزمة
k this deck
36
Chemically,these are triacylglycerols,triesters of glycerol with three long-chain carboxylic acids.
A)waxes
B)fats and oils
C)fatty acids
D)soaps
A)waxes
B)fats and oils
C)fatty acids
D)soaps
فتح الحزمة
افتح القفل للوصول البطاقات البالغ عددها 54 في هذه المجموعة.
فتح الحزمة
k this deck
37
Suggest a mechanism by which caryophyllene is transformed into humulene by treatment with acid. 

فتح الحزمة
افتح القفل للوصول البطاقات البالغ عددها 54 في هذه المجموعة.
فتح الحزمة
k this deck
38
Draw the most stable chair conformation of terpin hydrate. 

فتح الحزمة
افتح القفل للوصول البطاقات البالغ عددها 54 في هذه المجموعة.
فتح الحزمة
k this deck
39
Exhibit 27-4
Draw the structures of the major organic product(s) you would expect to obtain from reaction of androsterone with each of the following reagents.
CH3COCl,pyridine
Draw the structures of the major organic product(s) you would expect to obtain from reaction of androsterone with each of the following reagents.

CH3COCl,pyridine
فتح الحزمة
افتح القفل للوصول البطاقات البالغ عددها 54 في هذه المجموعة.
فتح الحزمة
k this deck
40
Mixtures of esters of long-chain carboxylic acids with long-chain alcohols are called:
A)waxes
B)fats and oils
C)fatty acids
D)soaps
A)waxes
B)fats and oils
C)fatty acids
D)soaps
فتح الحزمة
افتح القفل للوصول البطاقات البالغ عددها 54 في هذه المجموعة.
فتح الحزمة
k this deck
41
Using a condensed formula,draw the product of the complete reaction of the following with the 30-carbon saturated straight chain alcohol,triacontanol.Atoms other than hydrogen and oxygen are labeled. 

فتح الحزمة
افتح القفل للوصول البطاقات البالغ عددها 54 في هذه المجموعة.
فتح الحزمة
k this deck
42
Which of the following would be the general structure of a phospholipid?
A)
B)
C)
D)All of these could be a phospholipid depending on the identity of the R groups.
A)

B)

C)

D)All of these could be a phospholipid depending on the identity of the R groups.
فتح الحزمة
افتح القفل للوصول البطاقات البالغ عددها 54 في هذه المجموعة.
فتح الحزمة
k this deck
43
Which of the following would have the highest melting point? Atoms other than carbon and hydrogen are labeled.
A)
B)
C)
D)All have about the same melting point.
A)

B)

C)

D)All have about the same melting point.
فتح الحزمة
افتح القفل للوصول البطاقات البالغ عددها 54 في هذه المجموعة.
فتح الحزمة
k this deck
44
Describe how a micelle and cell membrane are similar.
فتح الحزمة
افتح القفل للوصول البطاقات البالغ عددها 54 في هذه المجموعة.
فتح الحزمة
k this deck
45
Which of the following correctly does not correctly describe the composition of a phosphatidylethanolamine?
A)Glycerol residue
B)Phosphate group
C)One fatty acid residue
D)Ethanolamine residue
E)All of the above
A)Glycerol residue
B)Phosphate group
C)One fatty acid residue
D)Ethanolamine residue
E)All of the above
فتح الحزمة
افتح القفل للوصول البطاقات البالغ عددها 54 في هذه المجموعة.
فتح الحزمة
k this deck
46
The following compound could be classified as all of the following except which one?
A)Phospholipid
B)Glycerophosopholipid
C)Sphingomyelin
D)Phosphodiester
A)Phospholipid
B)Glycerophosopholipid
C)Sphingomyelin
D)Phosphodiester
فتح الحزمة
افتح القفل للوصول البطاقات البالغ عددها 54 في هذه المجموعة.
فتح الحزمة
k this deck
47
The following generalized structure is that of a: 
A)prostaglandin
B)thromboxane
C)leukotriene

A)prostaglandin
B)thromboxane
C)leukotriene
فتح الحزمة
افتح القفل للوصول البطاقات البالغ عددها 54 في هذه المجموعة.
فتح الحزمة
k this deck
48
Which of the following is common to both glycerophospholipids and sphingomyelins?
A)Phosphatidic acid
B)Sphingosine
C)Phosphate
D)Choline
A)Phosphatidic acid
B)Sphingosine
C)Phosphate
D)Choline
فتح الحزمة
افتح القفل للوصول البطاقات البالغ عددها 54 في هذه المجموعة.
فتح الحزمة
k this deck
49
Which of the following types/classes of compounds are derived from the following structure? 
A)Thromboxanes
B)Leukotrienes
C)Prostaglandins
D)Eicosanoids
E)All are derived from this structure.

A)Thromboxanes
B)Leukotrienes
C)Prostaglandins
D)Eicosanoids
E)All are derived from this structure.
فتح الحزمة
افتح القفل للوصول البطاقات البالغ عددها 54 في هذه المجموعة.
فتح الحزمة
k this deck
50
Examine the following structure.Atoms other than carbon and hydrogen are labeled.
This substance:
A)is a saturated fatty acid.
B)would be found in animal fat.
C)could react with glycerol to form a triacylglycerol.
D)could react with a long chain alcohol to form a wax.
E)All of the above characterize this structure.
This substance:A)is a saturated fatty acid.
B)would be found in animal fat.
C)could react with glycerol to form a triacylglycerol.
D)could react with a long chain alcohol to form a wax.
E)All of the above characterize this structure.
فتح الحزمة
افتح القفل للوصول البطاقات البالغ عددها 54 في هذه المجموعة.
فتح الحزمة
k this deck
51
Examine the following structure.Atoms other than carbon and hydrogen are labeled.
Which of the following does not characterize this structure?
A)Polyunsaturated fatty acid
B)Cis fatty acid
C)Omega-6 fatty acid
D)Essential in the human diet
E)All of the above characterize this structure.
Which of the following does not characterize this structure?A)Polyunsaturated fatty acid
B)Cis fatty acid
C)Omega-6 fatty acid
D)Essential in the human diet
E)All of the above characterize this structure.
فتح الحزمة
افتح القفل للوصول البطاقات البالغ عددها 54 في هذه المجموعة.
فتح الحزمة
k this deck
52
Write the saponification reaction of glyceryl monooleate distearate with aqueous NaOH.
فتح الحزمة
افتح القفل للوصول البطاقات البالغ عددها 54 في هذه المجموعة.
فتح الحزمة
k this deck
53
Which feature is common to all lipids?
A)Contain carbonyl groups
B)Fused rings
C)Polar character
D)Solubility in nonpolar solvents
E)Ester linkages
A)Contain carbonyl groups
B)Fused rings
C)Polar character
D)Solubility in nonpolar solvents
E)Ester linkages
فتح الحزمة
افتح القفل للوصول البطاقات البالغ عددها 54 في هذه المجموعة.
فتح الحزمة
k this deck
54
Classify the following structure. 
A)wax
B)fat
C)oil
D)soap

A)wax
B)fat
C)oil
D)soap
فتح الحزمة
افتح القفل للوصول البطاقات البالغ عددها 54 في هذه المجموعة.
فتح الحزمة
k this deck

