Multiple Choice
Find the derivative of y with respect to x.
-y =
(
)
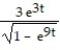
A) 
B) 
C) 
D) 
Correct Answer:
Verified
Related Questions
Q330: Find the derivative of y with respect
Q331: Find the derivative of y with respect
Q332: Find the derivative of y with respect
Q333: Find the derivative of y with respect
Q334: Find the derivative of y with respect
Q336: Find the value of Q337: Find the value of Q338: Find the value of Q339: Find the value of Q340: Find the value of Unlock this Answer For Free Now! View this answer and more for free by performing one of the following actions Scan the QR code to install the App and get 2 free unlocks Unlock quizzes for free by uploading documents![]()
![]()


![]()