
Genetics: Analysis and Principles 5th Edition by Robert Brooker
النسخة 5الرقم المعياري الدولي: 978-0073525341
Genetics: Analysis and Principles 5th Edition by Robert Brooker
النسخة 5الرقم المعياري الدولي: 978-0073525341 تمرين 53
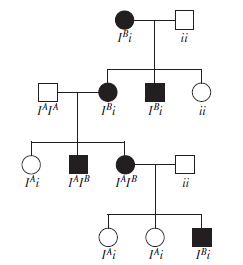
In humans, a rare dominant disorder known as nail-patella syndrome causes abnormalities in the fingernails, toenails, and kneecaps. Researchers have examined family pedigrees with regard to this disorder and, within the same pedigree, also examined the individuals with regard to their blood types. (A description of blood genotypes is found in Chapter 4.) In the following pedigree, individuals affected with nail-patella disorder are shown with filled symbols. The genotype of each individual with regard to their ABO blood type is also shown. Does this pedigree suggest any linkage between the gene that causes nail-patella syndrome and the gene that causes blood type


التوضيح
In the given pedigree it can be seen tha...
Genetics: Analysis and Principles 5th Edition by Robert Brooker
لماذا لم يعجبك هذا التمرين؟
أخرى 8 أحرف كحد أدنى و 255 حرفاً كحد أقصى
حرف 255

