
Math and Dosage Calculations for Health Care 3rd Edition by James Whaley, Kathryn Booth, Booth Kathryn
النسخة 3الرقم المعياري الدولي: 9780077290498
Math and Dosage Calculations for Health Care 3rd Edition by James Whaley, Kathryn Booth, Booth Kathryn
النسخة 3الرقم المعياري الدولي: 9780077290498 تمرين 316
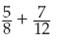
Find the following sums. (Rewrite answers in the proper form.) 

التوضيح
Consider the following: The objective i...
Math and Dosage Calculations for Health Care 3rd Edition by James Whaley, Kathryn Booth, Booth Kathryn
لماذا لم يعجبك هذا التمرين؟
أخرى 8 أحرف كحد أدنى و 255 حرفاً كحد أقصى
حرف 255

