
Math and Dosage Calculations for Health Care 3rd Edition by James Whaley, Kathryn Booth, Booth Kathryn
النسخة 3الرقم المعياري الدولي: 9780077290498
Math and Dosage Calculations for Health Care 3rd Edition by James Whaley, Kathryn Booth, Booth Kathryn
النسخة 3الرقم المعياري الدولي: 9780077290498 تمرين 16
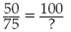
Cross-multiply to find the missing value. 

التوضيح
The ratio of any two numbers, say a and ...
Math and Dosage Calculations for Health Care 3rd Edition by James Whaley, Kathryn Booth, Booth Kathryn
لماذا لم يعجبك هذا التمرين؟
أخرى 8 أحرف كحد أدنى و 255 حرفاً كحد أقصى
حرف 255

