
Math and Dosage Calculations for Health Care 3rd Edition by James Whaley, Kathryn Booth, Booth Kathryn
النسخة 3الرقم المعياري الدولي: 9780077290498
Math and Dosage Calculations for Health Care 3rd Edition by James Whaley, Kathryn Booth, Booth Kathryn
النسخة 3الرقم المعياري الدولي: 9780077290498 تمرين 14
Step 1 of 4
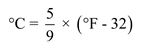
Temperature conversions are commonly required, and one can
convert from Fahrenheit to Celsius using the following
relation:
Temperature conversions are commonly required, and one can
convert from Fahrenheit to Celsius using the following
relation:

التوضيح
Step 2: Multiply, with 5/9, t...
Math and Dosage Calculations for Health Care 3rd Edition by James Whaley, Kathryn Booth, Booth Kathryn
لماذا لم يعجبك هذا التمرين؟
أخرى 8 أحرف كحد أدنى و 255 حرفاً كحد أقصى
حرف 255

