
Service Management 7th Edition by James Fitzsimmons, Mona Fitzsimmons
النسخة 7الرقم المعياري الدولي: 9780071289276
Service Management 7th Edition by James Fitzsimmons, Mona Fitzsimmons
النسخة 7الرقم المعياري الدولي: 9780071289276 تمرين 14
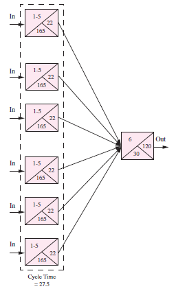
Revisit the Automobile Driver's License Office example.
a. What is the direct labor utilization for the process shown in Figure 7.6 a ?
b. What is the direct labor utilization for the process shown in Figure 7.6 b ?
c. What is the direct labor utilization for the process shown in Figure 7.7?
d. What do you conclude from these calculations?

a. What is the direct labor utilization for the process shown in Figure 7.6 a ?
b. What is the direct labor utilization for the process shown in Figure 7.6 b ?
c. What is the direct labor utilization for the process shown in Figure 7.7?
d. What do you conclude from these calculations?

التوضيح
Cycle time (CT) is the maximum time each...
Service Management 7th Edition by James Fitzsimmons, Mona Fitzsimmons
لماذا لم يعجبك هذا التمرين؟
أخرى 8 أحرف كحد أدنى و 255 حرفاً كحد أقصى
حرف 255

