
Macroeconomics 12th Edition by Rudiger Dornbusch ,Stanley Fischer,Richard Startz
النسخة 12الرقم المعياري الدولي: 978-1259070969
Macroeconomics 12th Edition by Rudiger Dornbusch ,Stanley Fischer,Richard Startz
النسخة 12الرقم المعياري الدولي: 978-1259070969 تمرين 5
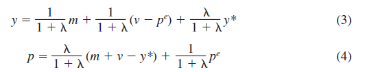
Use equations (3) and (4) to forecast both the price level and the level of output that result from the simple AS - AD model of Section 24-2. You may assume that the slope of the aggregate supply curve is
that the values of the money supply, velocity, and potential GDP are 9, 8, and 7, respectively; and that the expected price level is 5. b. Evaluate your forecast in light of the Lucas critique.
c. How does this forecast differ from that which would result from a perfect-foresight model
d. Is this forecast better or worse Explain

that the values of the money supply, velocity, and potential GDP are 9, 8, and 7, respectively; and that the expected price level is 5. b. Evaluate your forecast in light of the Lucas critique. c. How does this forecast differ from that which would result from a perfect-foresight model
d. Is this forecast better or worse Explain

التوضيح
Assume that,
Calculate the equilibrium...
Macroeconomics 12th Edition by Rudiger Dornbusch ,Stanley Fischer,Richard Startz
لماذا لم يعجبك هذا التمرين؟
أخرى 8 أحرف كحد أدنى و 255 حرفاً كحد أقصى
حرف 255

