
Contemporary Mathematics for Business & Consumers 8th Edition by Robert Brechner,Geroge Bergeman
النسخة 8الرقم المعياري الدولي: 978-1305585454
Contemporary Mathematics for Business & Consumers 8th Edition by Robert Brechner,Geroge Bergeman
النسخة 8الرقم المعياري الدولي: 978-1305585454 تمرين 18
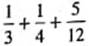
Add the following fractions and reduce to lowest terms.


التوضيح
Follow the steps to add unlike fraction ...
Contemporary Mathematics for Business & Consumers 8th Edition by Robert Brechner,Geroge Bergeman
لماذا لم يعجبك هذا التمرين؟
أخرى 8 أحرف كحد أدنى و 255 حرفاً كحد أقصى
حرف 255

