
Contemporary Mathematics for Business & Consumers 8th Edition by Robert Brechner,Geroge Bergeman
النسخة 8الرقم المعياري الدولي: 978-1305585454
Contemporary Mathematics for Business & Consumers 8th Edition by Robert Brechner,Geroge Bergeman
النسخة 8الرقم المعياري الدولي: 978-1305585454 تمرين 145
Solve the following for the rate. Round to the nearest tenth of percent when necessary.
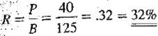
40 is _____% of 125

40 is _____% of 125

التوضيح
Given 40 is ____% of 125
We have to solv...
Contemporary Mathematics for Business & Consumers 8th Edition by Robert Brechner,Geroge Bergeman
لماذا لم يعجبك هذا التمرين؟
أخرى 8 أحرف كحد أدنى و 255 حرفاً كحد أقصى
حرف 255

