
Contemporary Mathematics for Business & Consumers 8th Edition by Robert Brechner,Geroge Bergeman
النسخة 8الرقم المعياري الدولي: 978-1305585454
Contemporary Mathematics for Business & Consumers 8th Edition by Robert Brechner,Geroge Bergeman
النسخة 8الرقم المعياري الدولي: 978-1305585454 تمرين 43
Solve the following increase or decrease problems for the unknown. Round decimals to hundredths and percents to the nearest tenth.
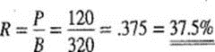
If a number increases from 320 to 440, what is the rate of increase
Portion = Increase = 440 320 = 120
Base = Original number = 320

If a number increases from 320 to 440, what is the rate of increase
Portion = Increase = 440 320 = 120
Base = Original number = 320

التوضيح
Let us consider that the number increase...
Contemporary Mathematics for Business & Consumers 8th Edition by Robert Brechner,Geroge Bergeman
لماذا لم يعجبك هذا التمرين؟
أخرى 8 أحرف كحد أدنى و 255 حرفاً كحد أقصى
حرف 255

