
Optical Fiber Communications 4th Edition by Gerd Keiser
النسخة 4الرقم المعياري الدولي: 978-0073380711
Optical Fiber Communications 4th Edition by Gerd Keiser
النسخة 4الرقم المعياري الدولي: 978-0073380711 تمرين 9
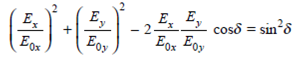
Elliptically polarized light can be represented by the two orthogonal waves given in Eqs (2.2) and (2.3). Show that elimination of the ( t - kz ) dependence between them yields
which is the equation of an ellipse making an angle with the x axis, where is given by Eq. (2.8).
which is the equation of an ellipse making an angle with the x axis, where is given by Eq. (2.8).
التوضيح
Elliptical polarised light can be repres...
Optical Fiber Communications 4th Edition by Gerd Keiser
لماذا لم يعجبك هذا التمرين؟
أخرى 8 أحرف كحد أدنى و 255 حرفاً كحد أقصى
حرف 255

