
Optical Fiber Communications 4th Edition by Gerd Keiser
النسخة 4الرقم المعياري الدولي: 978-0073380711
Optical Fiber Communications 4th Edition by Gerd Keiser
النسخة 4الرقم المعياري الدولي: 978-0073380711 تمرين 18
Assume a given mode in a graded-index fiber has a power density p ( r ) = P0exp( -Kr 2 ), where the factor K depends on the modal power distribution.
( a ) Letting n ( r ) in Eq. (3.11) be given by Eq. (2.78) with = 2, show that the loss in this mode is
Since p ( r ) is a rapidly decaying function of r and since 1, for ease of calculation assume that the top relation in Eq. (2.78) holds for all values of r.
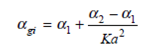
( b ) Choose K such that p ( a ) = 0.1 P0; that is, 10 percent of the power flows in the cladding. Find gi in terms of 1 and 2.
( a ) Letting n ( r ) in Eq. (3.11) be given by Eq. (2.78) with = 2, show that the loss in this mode is
Since p ( r ) is a rapidly decaying function of r and since 1, for ease of calculation assume that the top relation in Eq. (2.78) holds for all values of r.
( b ) Choose K such that p ( a ) = 0.1 P0; that is, 10 percent of the power flows in the cladding. Find gi in terms of 1 and 2.
التوضيح
(a) We want to solve Eq. (3.12) for gi. ...
Optical Fiber Communications 4th Edition by Gerd Keiser
لماذا لم يعجبك هذا التمرين؟
أخرى 8 أحرف كحد أدنى و 255 حرفاً كحد أقصى
حرف 255

