
Optical Fiber Communications 4th Edition by Gerd Keiser
النسخة 4الرقم المعياري الدولي: 978-0073380711
Optical Fiber Communications 4th Edition by Gerd Keiser
النسخة 4الرقم المعياري الدولي: 978-0073380711 تمرين 19
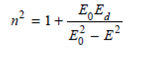
For wavelengths less than 1.0 m the refractive index n satisfies a Sellmeier relation of the form 69
where E = hc/ is the photon energy and E 0 and E d are, respectively, material oscillator energy and dispersion energy parameters. In SiO 2 glass, E 0 = 13.4 eV and E d = 14.7 eV. Show that, for wavelengths between 0.20 and 1.0 / m, the values of n found from the Sellmeier relation are in good agreement with those shown in Fig. 3.12. To make the comparison, select three representative points, for example, at 0.2, 0.6, and 1.0 m.
where E = hc/ is the photon energy and E 0 and E d are, respectively, material oscillator energy and dispersion energy parameters. In SiO 2 glass, E 0 = 13.4 eV and E d = 14.7 eV. Show that, for wavelengths between 0.20 and 1.0 / m, the values of n found from the Sellmeier relation are in good agreement with those shown in Fig. 3.12. To make the comparison, select three representative points, for example, at 0.2, 0.6, and 1.0 m.
التوضيح
With in units of micrometers, ...
Optical Fiber Communications 4th Edition by Gerd Keiser
لماذا لم يعجبك هذا التمرين؟
أخرى 8 أحرف كحد أدنى و 255 حرفاً كحد أقصى
حرف 255

