
Optical Fiber Communications 4th Edition by Gerd Keiser
النسخة 4الرقم المعياري الدولي: 978-0073380711
Optical Fiber Communications 4th Edition by Gerd Keiser
النسخة 4الرقم المعياري الدولي: 978-0073380711 تمرين 1
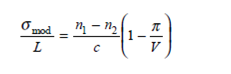
Consider a step-index fiber with core and cladding diameters of 62.5 and 125 m, respectively. Let the core index n 1 = 1.48 and let the index difference = 1.5 percent. Compare the modal dispersion in units of ns/km at 1310 nm of this fiber as given by Eq. (3.13) with the more exact expression
where L is the length of the fiber and n 2 is the cladding index.
where L is the length of the fiber and n 2 is the cladding index.
التوضيح
Refer to equation 3-13 from the text boo...
Optical Fiber Communications 4th Edition by Gerd Keiser
لماذا لم يعجبك هذا التمرين؟
أخرى 8 أحرف كحد أدنى و 255 حرفاً كحد أقصى
حرف 255

