
Optical Fiber Communications 4th Edition by Gerd Keiser
النسخة 4الرقم المعياري الدولي: 978-0073380711
Optical Fiber Communications 4th Edition by Gerd Keiser
النسخة 4الرقم المعياري الدولي: 978-0073380711 تمرين 2
Approximate expressions for the transverse and lateral optical-field confinement factors T and L , respectively, in a Fabry-Perot lasing cavity are
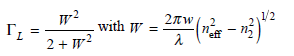
And
Where
Here w and d are the width and thickness, respectively, of the active layer, and n 1 and n 2 are the refractive indices inside and outside the cavity, respectively.
( a ) Consider a 1300-nm InGaAsP laser diode in which the active region is 0.1 µ m thick, 1.0 mm wide, and 250 µ m long with refractive indices n 1 = 3.55 and n 2 = 3.20. What are the transverse and lateral optical- field confinement factors
( b ) Given that the total confinement factor is = T L , what is the gain threshold if the effective absorption coefficient is = 30 cm 1 and the facet reflectivities are R 1 = R 2 = 0.31
And
Where
Here w and d are the width and thickness, respectively, of the active layer, and n 1 and n 2 are the refractive indices inside and outside the cavity, respectively.
( a ) Consider a 1300-nm InGaAsP laser diode in which the active region is 0.1 µ m thick, 1.0 mm wide, and 250 µ m long with refractive indices n 1 = 3.55 and n 2 = 3.20. What are the transverse and lateral optical- field confinement factors
( b ) Given that the total confinement factor is = T L , what is the gain threshold if the effective absorption coefficient is = 30 cm 1 and the facet reflectivities are R 1 = R 2 = 0.31
التوضيح
(a)
Determine the value of D. Substitut...
Optical Fiber Communications 4th Edition by Gerd Keiser
لماذا لم يعجبك هذا التمرين؟
أخرى 8 أحرف كحد أدنى و 255 حرفاً كحد أقصى
حرف 255

