
Optical Fiber Communications 4th Edition by Gerd Keiser
النسخة 4الرقم المعياري الدولي: 978-0073380711
Optical Fiber Communications 4th Edition by Gerd Keiser
النسخة 4الرقم المعياري الدولي: 978-0073380711 تمرين 5
The derivation of Eq. (4.46) assumes that the refractive index n is independent of wavelength.
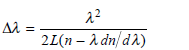
(a) Show that when n depends on , we have
( b ) If the group refractive index ( n dn/d ) is 4.5 for GaAs at 850 nm, what is the mode spacing for a 400 -µ m-long laser.
(a) Show that when n depends on , we have
( b ) If the group refractive index ( n dn/d ) is 4.5 for GaAs at 850 nm, what is the mode spacing for a 400 -µ m-long laser.
التوضيح
(a)
Refer to equation 4.46 from the text...
Optical Fiber Communications 4th Edition by Gerd Keiser
لماذا لم يعجبك هذا التمرين؟
أخرى 8 أحرف كحد أدنى و 255 حرفاً كحد أقصى
حرف 255

