
Optical Fiber Communications 4th Edition by Gerd Keiser
النسخة 4الرقم المعياري الدولي: 978-0073380711
Optical Fiber Communications 4th Edition by Gerd Keiser
النسخة 4الرقم المعياري الدولي: 978-0073380711 تمرين 6
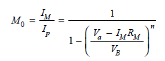
The low-frequency gain M 0 of an avalanche photodiode depends on the carrier ionization rate and on the width of the multiplication region, both of which depend on the applied reverse-bias voltage V a. This gain can be described by the empirical relationship 33
(P6.4)
where V B is the breakdown voltage at which M 0 goes to infinity ( M 0 ), I M is the total multiplied current, and R M accounts for the photodiode series resistance and the detector load resistance. The exponential factor n depends on the semiconductor material and its doping profile. Its value varies between about 2.5 and 7.
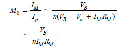
( a ) Show that for applied voltages near the breakdown voltage, at which point V B » I M R M , Eq. (P6.4) can be approximated by
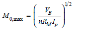
( b ) The maximum value of M 0 occurs when V a = V B. Show that, at this point,
(P6.4)where V B is the breakdown voltage at which M 0 goes to infinity ( M 0 ), I M is the total multiplied current, and R M accounts for the photodiode series resistance and the detector load resistance. The exponential factor n depends on the semiconductor material and its doping profile. Its value varies between about 2.5 and 7.
( a ) Show that for applied voltages near the breakdown voltage, at which point V B » I M R M , Eq. (P6.4) can be approximated by
( b ) The maximum value of M 0 occurs when V a = V B. Show that, at this point,

التوضيح
Optical Fiber Communications 4th Edition by Gerd Keiser
لماذا لم يعجبك هذا التمرين؟
أخرى 8 أحرف كحد أدنى و 255 حرفاً كحد أقصى
حرف 255

