
Optical Fiber Communications 4th Edition by Gerd Keiser
النسخة 4الرقم المعياري الدولي: 978-0073380711
Optical Fiber Communications 4th Edition by Gerd Keiser
النسخة 4الرقم المعياري الدولي: 978-0073380711 تمرين 7
Consider a sinusoidally modulated optical signal P ( t ) of frequency , modulation index m , and average power P0given by
P ( t ) = P0(l + m cos t ) 2
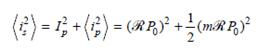
Show that when this optical signal falls on a photodetector, the mean-square signal current
generated consists of a dc (average) component I p and a signal current i p given by
where the responsivity is given by Eq. (6.6).
P ( t ) = P0(l + m cos t ) 2
Show that when this optical signal falls on a photodetector, the mean-square signal current
generated consists of a dc (average) component I p and a signal current i p given by
where the responsivity is given by Eq. (6.6).
التوضيح
Optical Fiber Communications 4th Edition by Gerd Keiser
لماذا لم يعجبك هذا التمرين؟
أخرى 8 أحرف كحد أدنى و 255 حرفاً كحد أقصى
حرف 255

