
Optical Fiber Communications 4th Edition by Gerd Keiser
النسخة 4الرقم المعياري الدولي: 978-0073380711
Optical Fiber Communications 4th Edition by Gerd Keiser
النسخة 4الرقم المعياري الدولي: 978-0073380711 تمرين 12
Show that under the boundary conditions
and
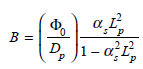
the solution to Eq. (6-23) is given by
where L p = ( D p p ) 1/2 is the diffusion length and
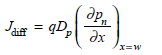
( b )Derive Eq. (6.25) using the relationship
( c )Verify that J tot is given by Eq. (6.26).
and
the solution to Eq. (6-23) is given by
where L p = ( D p p ) 1/2 is the diffusion length and
( b )Derive Eq. (6.25) using the relationship
( c )Verify that J tot is given by Eq. (6.26).
التوضيح
Optical Fiber Communications 4th Edition by Gerd Keiser
لماذا لم يعجبك هذا التمرين؟
أخرى 8 أحرف كحد أدنى و 255 حرفاً كحد أقصى
حرف 255

