
Optical Fiber Communications 4th Edition by Gerd Keiser
النسخة 4الرقم المعياري الدولي: 978-0073380711
Optical Fiber Communications 4th Edition by Gerd Keiser
النسخة 4الرقم المعياري الدولي: 978-0073380711 تمرين 13
Consider a modulated photon flux density
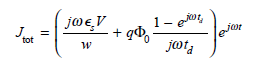
to fall on a photodetector, where is the modulation frequency. The total current through the depletion region generated by this photon flux can be shown to be 35
where s is the material permittivity, V is the voltage across the depletion layer, and t d is the transit time of carriers through the depletion region.
( a ) From the short-circuit current density ( V = 0), find the value of t d at which the
photocurrent amplitude is reduced by
( b ) If the depletion region thickness is assumed to be 1/ s , what is the 3-dB modulation frequency in terms of s and v d (the drift velocity)
to fall on a photodetector, where is the modulation frequency. The total current through the depletion region generated by this photon flux can be shown to be 35
where s is the material permittivity, V is the voltage across the depletion layer, and t d is the transit time of carriers through the depletion region.
( a ) From the short-circuit current density ( V = 0), find the value of t d at which the
photocurrent amplitude is reduced by
( b ) If the depletion region thickness is assumed to be 1/ s , what is the 3-dB modulation frequency in terms of s and v d (the drift velocity)
التوضيح
By extrapolation, ...
Optical Fiber Communications 4th Edition by Gerd Keiser
لماذا لم يعجبك هذا التمرين؟
أخرى 8 أحرف كحد أدنى و 255 حرفاً كحد أقصى
حرف 255

