
Optical Fiber Communications 4th Edition by Gerd Keiser
النسخة 4الرقم المعياري الدولي: 978-0073380711
Optical Fiber Communications 4th Edition by Gerd Keiser
النسخة 4الرقم المعياري الدولي: 978-0073380711 تمرين 3
The equalizer in an optical receiver normally is a linear frequency-shaping filter used to mitigate the effects of signal distortion and intersymbol interference. To account for the fact that pulses arrive rounded and distorted at the receiver, the binary digital pulse train incident on the photodetector can be described by
Here P ( t ) is the received optical power, T b is the bit period, b n represents the energy in the n th pulse ( b n = b 0 for a 0 pulse and b 1 for 1 pulse), and h p ( t ) is the received pulse shape.
Show that the following pulse shapes satisfy the normalization condition
( a ) Rectangular pulse ( = constant)
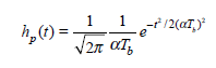
( b ) Gaussian pulse
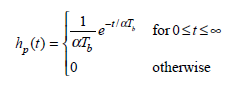
( c ) Exponential pulse
Here P ( t ) is the received optical power, T b is the bit period, b n represents the energy in the n th pulse ( b n = b 0 for a 0 pulse and b 1 for 1 pulse), and h p ( t ) is the received pulse shape.
Show that the following pulse shapes satisfy the normalization condition
( a ) Rectangular pulse ( = constant)
( b ) Gaussian pulse
( c ) Exponential pulse

التوضيح
(a)
Consider the following repulsive fun...
Optical Fiber Communications 4th Edition by Gerd Keiser
لماذا لم يعجبك هذا التمرين؟
أخرى 8 أحرف كحد أدنى و 255 حرفاً كحد أقصى
حرف 255

