
Optical Fiber Communications 4th Edition by Gerd Keiser
النسخة 4الرقم المعياري الدولي: 978-0073380711
Optical Fiber Communications 4th Edition by Gerd Keiser
النسخة 4الرقم المعياري الدولي: 978-0073380711 تمرين 10
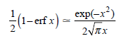
A useful approximation to 1 / 2 (1 - erf x ) for values of x greater than 3 is given by
Using this approximation, consider an on-off binary system that transmits the signal levels 0 and A with equal probability in the presence of gaussian noise. Let the signal amplitude A be K multiplied by the standard deviation of the noise.
( a ) Calculate the net probability of error if K = 10.
( b ) Find the value of K required to give a net error probability of 10 -5.
Using this approximation, consider an on-off binary system that transmits the signal levels 0 and A with equal probability in the presence of gaussian noise. Let the signal amplitude A be K multiplied by the standard deviation of the noise.
( a ) Calculate the net probability of error if K = 10.
( b ) Find the value of K required to give a net error probability of 10 -5.
التوضيح
Optical Fiber Communications 4th Edition by Gerd Keiser
لماذا لم يعجبك هذا التمرين؟
أخرى 8 أحرف كحد أدنى و 255 حرفاً كحد أقصى
حرف 255

