
Optical Fiber Communications 4th Edition by Gerd Keiser
النسخة 4الرقم المعياري الدولي: 978-0073380711
Optical Fiber Communications 4th Edition by Gerd Keiser
النسخة 4الرقم المعياري الدولي: 978-0073380711 تمرين 15
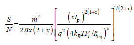
Show that, when the gain M is given by the expression in Prob. 7.13, the signalto-noise ratio given by Eq. (7.32) can be written as
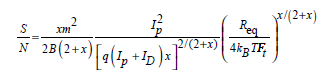
( b ) Show that, when I p is much larger than I D , the foregoing expression becomes
( b ) Show that, when I p is much larger than I D , the foregoing expression becomes

التوضيح
Optical Fiber Communications 4th Edition by Gerd Keiser
لماذا لم يعجبك هذا التمرين؟
أخرى 8 أحرف كحد أدنى و 255 حرفاً كحد أقصى
حرف 255

