
Optical Fiber Communications 4th Edition by Gerd Keiser
النسخة 4الرقم المعياري الدولي: 978-0073380711
Optical Fiber Communications 4th Edition by Gerd Keiser
النسخة 4الرقم المعياري الدولي: 978-0073380711 تمرين 10
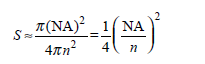
Assuming that Rayleight scattering is approximately isotropic (uniform in all directions), show that the fraction S of scattered light trapped in a multimode fiber in the backward direction is given by
where NA is the fiber numerical aperture, n is the core refractive index, and NA/ n represents the half-angle of the cone of captured rays. If NA = 0.20 and n = 1.50, what fraction of the scattered light is recaptured by the fiber in the reverse direction.
where NA is the fiber numerical aperture, n is the core refractive index, and NA/ n represents the half-angle of the cone of captured rays. If NA = 0.20 and n = 1.50, what fraction of the scattered light is recaptured by the fiber in the reverse direction.
التوضيح
Consider the radius of a sphere as ' r '...
Optical Fiber Communications 4th Edition by Gerd Keiser
لماذا لم يعجبك هذا التمرين؟
أخرى 8 أحرف كحد أدنى و 255 حرفاً كحد أقصى
حرف 255

