Deck 18: Protein Structure and Function
Question
Question
Question
Question
Question
Question
Question
Question
Question
Question
Question
Question
Question
Question
Question
Question
Question
Question
Question
Question
Question
Question
Question
Question
Question
Question
Question
Question
Question
Question
Question
Question
Question
Question
Question
Question
Question
Question
Question
Question
Question
Question
Question
Question
Question
Question
Question
Question
Question
Question
Question
Question
Question
Question
Question
Question
Question
Question
Question
Question
Question
Question
Question
Question
Question
Question
Question
Question
Question
Question
Question
Question
Question
Question
Question
Unlock Deck
Sign up to unlock the cards in this deck!
Unlock Deck
Unlock Deck
1/75
Play
Full screen (f)
Deck 18: Protein Structure and Function
1
Consider the following forms of the amino acid alanine (Ala).Which statement concerning these structures is FALSE? 
A)Structure I represents the form of Ala present in the blood at physiological pH.
B)Structure II represents the form of Ala present in the basic environment of the intestines.
C)Structure III represents the form of Ala present in the acidic environment of the stomach.
D)Structure IV represents the zwitterion of Ala.
E)None of the statements are false.

A)Structure I represents the form of Ala present in the blood at physiological pH.
B)Structure II represents the form of Ala present in the basic environment of the intestines.
C)Structure III represents the form of Ala present in the acidic environment of the stomach.
D)Structure IV represents the zwitterion of Ala.
E)None of the statements are false.
Structure I represents the form of Ala present in the blood at physiological pH.
2
What disease results from a deficiency of vitamin C?
A)diabetes
B)sickle cell
C)scurvy
D)Alzheimer's
E)lactose intolerance
A)diabetes
B)sickle cell
C)scurvy
D)Alzheimer's
E)lactose intolerance
scurvy
3
What two functional groups characterize the amino acids found in human proteins?
A)a carboxylate group and an amino group
B)an amide group and an amino group
C)a primary amine group and an aldehyde group
D)a primary amine group and a ketone group
E)an amino group and an aldehyde group
A)a carboxylate group and an amino group
B)an amide group and an amino group
C)a primary amine group and an aldehyde group
D)a primary amine group and a ketone group
E)an amino group and an aldehyde group
a carboxylate group and an amino group
4
Which of the following statements concerning sickle cell anemia is FALSE?
A)Individuals with sickle cell anemia produce a mutant hemoglobin called sickle cell hemoglobin,so called due to the sickled appearance of the red blood cells that form in this condition.
B)Sickle cell hemoglobin differs from normal hemoglobin by only one amino acid residue.
C)Individuals who suffer from sickle cell anemia inherited two genes for sickle cell hemoglobin,one from each parent.
D)Individuals with sickle cell trait have inherited only one copy of the gene for sickle cell hemoglobin and one for normal hemoglobin.
E)The presence of sickle cell trait is related to an increase in resistance to diabetes.
A)Individuals with sickle cell anemia produce a mutant hemoglobin called sickle cell hemoglobin,so called due to the sickled appearance of the red blood cells that form in this condition.
B)Sickle cell hemoglobin differs from normal hemoglobin by only one amino acid residue.
C)Individuals who suffer from sickle cell anemia inherited two genes for sickle cell hemoglobin,one from each parent.
D)Individuals with sickle cell trait have inherited only one copy of the gene for sickle cell hemoglobin and one for normal hemoglobin.
E)The presence of sickle cell trait is related to an increase in resistance to diabetes.
Unlock Deck
Unlock for access to all 75 flashcards in this deck.
Unlock Deck
k this deck
5
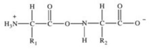
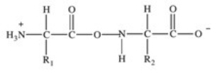
Tuftsin is a peptide that stimulates and promotes the destruction of tumor cells.Its primary structure is shown below.Which of the following is NOT a valid interpretation of its primary structure? Thr-Lys-Pro-Arg
A)It is a tetrapeptide.
B)It contains three peptide bonds.
C)Threonine is the N-terminal amino acid and arginine is the C-terminal amino acid.
D)The carboxyl group of lysine is joined to the amino group of proline.
E)The amino group of arginine is not joined to any other amino acid.
A)It is a tetrapeptide.
B)It contains three peptide bonds.
C)Threonine is the N-terminal amino acid and arginine is the C-terminal amino acid.
D)The carboxyl group of lysine is joined to the amino group of proline.
E)The amino group of arginine is not joined to any other amino acid.
Unlock Deck
Unlock for access to all 75 flashcards in this deck.
Unlock Deck
k this deck
6
The amino acid 5-hydroxylysine is found in collagen.Which of the following represents the structure of this unusual amino acid? 
A)I
B)II
C)III
D)IV
E)None of the structures represent 5-hydroxylysine.

A)I
B)II
C)III
D)IV
E)None of the structures represent 5-hydroxylysine.
Unlock Deck
Unlock for access to all 75 flashcards in this deck.
Unlock Deck
k this deck
7
Hemoglobin and glycoproteins are two examples of proteins that contain a prosthetic group.What is a prosthetic group?
A)a nonprotein group bonded to a protein to create a functional unit
B)an inhibitor of the function of the protein
C)an enzyme that allows the protein to function more efficiently
D)a side chain amino acid that is not one of the 20 standard amino acids
E)an artificial amino acid that has been synthesized in the laboratory
A)a nonprotein group bonded to a protein to create a functional unit
B)an inhibitor of the function of the protein
C)an enzyme that allows the protein to function more efficiently
D)a side chain amino acid that is not one of the 20 standard amino acids
E)an artificial amino acid that has been synthesized in the laboratory
Unlock Deck
Unlock for access to all 75 flashcards in this deck.
Unlock Deck
k this deck
8
What protein is the oxygen storage protein of the skeletal muscles?
A)insulin
B)collagen
C)myoglobin
D)albumin
E)hemoglobin
A)insulin
B)collagen
C)myoglobin
D)albumin
E)hemoglobin
Unlock Deck
Unlock for access to all 75 flashcards in this deck.
Unlock Deck
k this deck
9
Which of the statements concerning protein structure is NOT true?
A)The primary structure of a protein describes the unique sequence of amino acids in the protein chain.
B)Secondary structure describes the peptide bonds joining the amino acids together in the protein chain.
C)Tertiary structure describes the overall three dimensional shape of a protein.
D)Quaternary structure describes the association of two or more polypeptide chains to form one functioning protein unit.
E)Hydrogen bonding,disulfide bonds,salt bridges,and van der Waals forces are responsible for maintaining the tertiary structure of a protein.
A)The primary structure of a protein describes the unique sequence of amino acids in the protein chain.
B)Secondary structure describes the peptide bonds joining the amino acids together in the protein chain.
C)Tertiary structure describes the overall three dimensional shape of a protein.
D)Quaternary structure describes the association of two or more polypeptide chains to form one functioning protein unit.
E)Hydrogen bonding,disulfide bonds,salt bridges,and van der Waals forces are responsible for maintaining the tertiary structure of a protein.
Unlock Deck
Unlock for access to all 75 flashcards in this deck.
Unlock Deck
k this deck
10
What are the two most common types of secondary structure found in proteins?
A)α-helices and β-arrays
B)double stranded helices and β-arrays
C)α-helices and β-pleated sheets
D)β-spirals and α-turns
E)random coils and β-pleated sheets
A)α-helices and β-arrays
B)double stranded helices and β-arrays
C)α-helices and β-pleated sheets
D)β-spirals and α-turns
E)random coils and β-pleated sheets
Unlock Deck
Unlock for access to all 75 flashcards in this deck.
Unlock Deck
k this deck
11
What is the term for the state of a protein when its organized structure has become completely disorganized?
A)hydrolyzed
B)isomerized
C)globular
D)denatured
E)fibrous
A)hydrolyzed
B)isomerized
C)globular
D)denatured
E)fibrous
Unlock Deck
Unlock for access to all 75 flashcards in this deck.
Unlock Deck
k this deck
12
What term is used to describe the amino acid that has the free carboxylate group in a peptide?
A)acid end
B)C' group
C)C-terminal amino acid
D)primary amino acid
E)tertiary amino acid
A)acid end
B)C' group
C)C-terminal amino acid
D)primary amino acid
E)tertiary amino acid
Unlock Deck
Unlock for access to all 75 flashcards in this deck.
Unlock Deck
k this deck
13
Amino acids are the building blocks of proteins.Which of the following statements concerning amino acids is FALSE? 
A)There are 20 different amino acids that occur naturally in human proteins.
B)The amino acids that make up human proteins are called essential amino acids.
C)The amino acids present in human proteins are "alpha" amino acids.
D)Except for glycine,where R=H,amino acids are chiral molecules.
E)Amino acids are classified by the nature of the side chain R groups that are present.

A)There are 20 different amino acids that occur naturally in human proteins.
B)The amino acids that make up human proteins are called essential amino acids.
C)The amino acids present in human proteins are "alpha" amino acids.
D)Except for glycine,where R=H,amino acids are chiral molecules.
E)Amino acids are classified by the nature of the side chain R groups that are present.
Unlock Deck
Unlock for access to all 75 flashcards in this deck.
Unlock Deck
k this deck
14
Proteins are long chains of amino acids joined together by peptide bonds.Which of the following properly depicts the peptide bond formed between two generic amino acids?
A)

B)

C)

D)

E)

A)

B)

C)

D)

E)

Unlock Deck
Unlock for access to all 75 flashcards in this deck.
Unlock Deck
k this deck
15
What is meant by the "tertiary structure" of a protein?
A)It refers to the peptide bonds that join the amino acids together in the protein chain.
B)It describes the unique sequence of amino acids in the protein chain.
C)It describes the regular,repeating structures found in the protein chain.
D)It describes the overall three dimensional shape of a protein.
E)It describes the association of two or more polypeptide chains to form one functioning protein unit.
A)It refers to the peptide bonds that join the amino acids together in the protein chain.
B)It describes the unique sequence of amino acids in the protein chain.
C)It describes the regular,repeating structures found in the protein chain.
D)It describes the overall three dimensional shape of a protein.
E)It describes the association of two or more polypeptide chains to form one functioning protein unit.
Unlock Deck
Unlock for access to all 75 flashcards in this deck.
Unlock Deck
k this deck
16
Which of the following is a structural protein?
A)albumin
B)keratin
C)insulin
D)trypsin
E)myoglobin
A)albumin
B)keratin
C)insulin
D)trypsin
E)myoglobin
Unlock Deck
Unlock for access to all 75 flashcards in this deck.
Unlock Deck
k this deck
17
Tuftsin is a tetrapeptide that stimulates and promotes the destruction of tumor cells.What is meant by the term tetrapeptide?
A)There are four separate peptide chains in its structure.
B)Four peptide bonds join the amino acid together in its structure.
C)Four amino acids are present,joined together by peptide bonds.
D)Four different secondary structures are present.
E)This protein has a quaternary level of structure.
A)There are four separate peptide chains in its structure.
B)Four peptide bonds join the amino acid together in its structure.
C)Four amino acids are present,joined together by peptide bonds.
D)Four different secondary structures are present.
E)This protein has a quaternary level of structure.
Unlock Deck
Unlock for access to all 75 flashcards in this deck.
Unlock Deck
k this deck
18
Which structural protein is found in bone,tendon,and skin?
A)collagen
B)fibrinogen
C)albumin
D)keratin
E)insulin
A)collagen
B)fibrinogen
C)albumin
D)keratin
E)insulin
Unlock Deck
Unlock for access to all 75 flashcards in this deck.
Unlock Deck
k this deck
19
The properties of amino acids and the proteins they compose are based on the nature of their side chain group.Which term best classifies the side chain of the amino acid phenylalanine? 
A)basic
B)acidic
C)nonpolar,hydrophobic
D)polar,neutral
E)polar,hydrophilic

A)basic
B)acidic
C)nonpolar,hydrophobic
D)polar,neutral
E)polar,hydrophilic
Unlock Deck
Unlock for access to all 75 flashcards in this deck.
Unlock Deck
k this deck
20
What is meant by the "quaternary structure" of a protein?
A)It refers to the four atoms that make up the peptide bonds that join the amino acids together in the protein chain.
B)It describes the unique sequence of four amino acids in the protein chain.
C)It describes the four regular,repeating structures found in the protein chain.
D)It describes the overall three dimensional shape of a protein.
E)It describes the association of two or more polypeptide chains to form one functioning protein unit.
A)It refers to the four atoms that make up the peptide bonds that join the amino acids together in the protein chain.
B)It describes the unique sequence of four amino acids in the protein chain.
C)It describes the four regular,repeating structures found in the protein chain.
D)It describes the overall three dimensional shape of a protein.
E)It describes the association of two or more polypeptide chains to form one functioning protein unit.
Unlock Deck
Unlock for access to all 75 flashcards in this deck.
Unlock Deck
k this deck
21
When a protein undergoes hydrolysis,which of the following things occur?
A)Peptide bonds are broken,and individual amino acids are released.
B)The protein folds into its functional,three-dimensional shape.
C)Water adds across each double bond that is present to give an alcohol.
D)New amino acids are joined to the growing protein chain.
E)Unsaturation in the side chain R groups is removed.
A)Peptide bonds are broken,and individual amino acids are released.
B)The protein folds into its functional,three-dimensional shape.
C)Water adds across each double bond that is present to give an alcohol.
D)New amino acids are joined to the growing protein chain.
E)Unsaturation in the side chain R groups is removed.
Unlock Deck
Unlock for access to all 75 flashcards in this deck.
Unlock Deck
k this deck
22
What level of protein structure specifies the sequence of amino acids in the protein?
A)quaternary
B)β-pleated sheet
C)primary
D)secondary
E)tertiary
A)quaternary
B)β-pleated sheet
C)primary
D)secondary
E)tertiary
Unlock Deck
Unlock for access to all 75 flashcards in this deck.
Unlock Deck
k this deck
23
Which term best describes the relationship between L-alanine and D-alanine?
A)enantiomers
B)constitutional isomers
C)meso
D)diastereomer
E)identical
A)enantiomers
B)constitutional isomers
C)meso
D)diastereomer
E)identical
Unlock Deck
Unlock for access to all 75 flashcards in this deck.
Unlock Deck
k this deck
24
Which of the following can denature a protein?
A)heat
B)significant changes in pH
C)detergents
D)mechanical agitation
E)All of the choices are correct.
A)heat
B)significant changes in pH
C)detergents
D)mechanical agitation
E)All of the choices are correct.
Unlock Deck
Unlock for access to all 75 flashcards in this deck.
Unlock Deck
k this deck
25
What protein is an oxygen transport protein found in red blood cells?
A)transferrin
B)collagen
C)fibrinogen
D)hemoglobin
E)myoglobin
A)transferrin
B)collagen
C)fibrinogen
D)hemoglobin
E)myoglobin
Unlock Deck
Unlock for access to all 75 flashcards in this deck.
Unlock Deck
k this deck
26
In the α-helical structure of proteins,how many amino acid residues are there in one complete full turn of the helix?
A)2
B)3.6
C)4
D)6
E)greater than 10
A)2
B)3.6
C)4
D)6
E)greater than 10
Unlock Deck
Unlock for access to all 75 flashcards in this deck.
Unlock Deck
k this deck
27
Which of the following pairs of elements are present in proteins,but not in most carbohydrates?
A)nitrogen and sulfur
B)carbon and hydrogen
C)carbon and oxygen
D)sulfur and oxygen
E)nitrogen and oxygen
A)nitrogen and sulfur
B)carbon and hydrogen
C)carbon and oxygen
D)sulfur and oxygen
E)nitrogen and oxygen
Unlock Deck
Unlock for access to all 75 flashcards in this deck.
Unlock Deck
k this deck
28
Which of the following best describes where the amino acids isoleucine and tryptophan are most likely to be found in the tertiary structure of a protein? 
A)at the N-terminal end of the protein
B)at the C-terminal end of the protein
C)on the exterior surface of the folded protein where contact with water is greatest,due to their hydrophilic nature
D)in the interior of the folded protein away from water,due to their hydrophobic nature
E)in the hydrophilic interior of the protein due to their ability to form side chain hydrogen bonds with each other

A)at the N-terminal end of the protein
B)at the C-terminal end of the protein
C)on the exterior surface of the folded protein where contact with water is greatest,due to their hydrophilic nature
D)in the interior of the folded protein away from water,due to their hydrophobic nature
E)in the hydrophilic interior of the protein due to their ability to form side chain hydrogen bonds with each other
Unlock Deck
Unlock for access to all 75 flashcards in this deck.
Unlock Deck
k this deck
29
Which of the statements concerning the peptide shown below is FALSE? 
A)It is a tripeptide.
B)Its primary structure is Gly-Pro-Ser.
C)There are two peptide bonds.
D)The carboxyl group of Pro is joined to the amino group of Ser.
E)The peptide contains only hydrophobic amino acid residues.

A)It is a tripeptide.
B)Its primary structure is Gly-Pro-Ser.
C)There are two peptide bonds.
D)The carboxyl group of Pro is joined to the amino group of Ser.
E)The peptide contains only hydrophobic amino acid residues.
Unlock Deck
Unlock for access to all 75 flashcards in this deck.
Unlock Deck
k this deck
30
What term describes the type of β-pleated sheet in which both peptides are aligned from amino terminus to carboxy terminus?
A)antiparallel
B)perpendicular
C)parallel
D)matched
E)congruent
A)antiparallel
B)perpendicular
C)parallel
D)matched
E)congruent
Unlock Deck
Unlock for access to all 75 flashcards in this deck.
Unlock Deck
k this deck
31
Which amino acid contains a thiol in its R group?
A)methionine
B)alanine
C)cysteine
D)tyrosine
E)valine
A)methionine
B)alanine
C)cysteine
D)tyrosine
E)valine
Unlock Deck
Unlock for access to all 75 flashcards in this deck.
Unlock Deck
k this deck
32
What type of attractive force is responsible for maintaining the secondary structure of a protein?
A)hydrogen bonds between carbonyl and amino groups of peptide bonds
B)van der Waals forces between hydrophobic R groups of nonpolar amino acids
C)salt bridges
D)S-S bonds between thiol-containing amino acids
E)None of the choices are correct.
A)hydrogen bonds between carbonyl and amino groups of peptide bonds
B)van der Waals forces between hydrophobic R groups of nonpolar amino acids
C)salt bridges
D)S-S bonds between thiol-containing amino acids
E)None of the choices are correct.
Unlock Deck
Unlock for access to all 75 flashcards in this deck.
Unlock Deck
k this deck
33
What determines the primary structure of a protein?
A)α-helix
B)hydrogen bonding between amide hydrogens and carboxyl oxygens
C)amino acid sequence of the chain
D)ionic bonds between the R group of oppositely charged amino acids
E)None of the choices are correct.
A)α-helix
B)hydrogen bonding between amide hydrogens and carboxyl oxygens
C)amino acid sequence of the chain
D)ionic bonds between the R group of oppositely charged amino acids
E)None of the choices are correct.
Unlock Deck
Unlock for access to all 75 flashcards in this deck.
Unlock Deck
k this deck
34
Which amino acid has a methyl group as its R group?
A)glycine
B)alanine
C)lysine
D)valine
E)tyrosine
A)glycine
B)alanine
C)lysine
D)valine
E)tyrosine
Unlock Deck
Unlock for access to all 75 flashcards in this deck.
Unlock Deck
k this deck
35
Which of the following kinds of proteins are biochemical catalysts?
A)nutrient proteins
B)hormones
C)transport proteins
D)enzymes
E)antigens
A)nutrient proteins
B)hormones
C)transport proteins
D)enzymes
E)antigens
Unlock Deck
Unlock for access to all 75 flashcards in this deck.
Unlock Deck
k this deck
36
How many oxygen molecules can one hemoglobin molecule bind?
A)1
B)2
C)3
D)4
E)5
A)1
B)2
C)3
D)4
E)5
Unlock Deck
Unlock for access to all 75 flashcards in this deck.
Unlock Deck
k this deck
37
What changes occur in the structure of a protein molecule when it becomes denatured?
A)change in primary structure
B)change in secondary structure
C)change in tertiary structure
D)All of the choices are correct.
E)There is a change in both the secondary and tertiary structures.
A)change in primary structure
B)change in secondary structure
C)change in tertiary structure
D)All of the choices are correct.
E)There is a change in both the secondary and tertiary structures.
Unlock Deck
Unlock for access to all 75 flashcards in this deck.
Unlock Deck
k this deck
38
How do the primary structures of normal hemoglobin and sickle cell hemoglobin differ?
A)A glutamic acid residue in normal hemoglobin is replaced by a valine residue in sickle cell hemoglobin.
B)A valine acid residue in normal hemoglobin is replaced by a glutamic acid residue in sickle cell hemoglobin.
C)There are four heme groups in normal hemoglobin whereas there are only three heme groups in sickle cell hemoglobin.
D)There are three heme groups in normal hemoglobin whereas there are 4 heme groups in sickle cell hemoglobin.
E)Both A and C are correct.
A)A glutamic acid residue in normal hemoglobin is replaced by a valine residue in sickle cell hemoglobin.
B)A valine acid residue in normal hemoglobin is replaced by a glutamic acid residue in sickle cell hemoglobin.
C)There are four heme groups in normal hemoglobin whereas there are only three heme groups in sickle cell hemoglobin.
D)There are three heme groups in normal hemoglobin whereas there are 4 heme groups in sickle cell hemoglobin.
E)Both A and C are correct.
Unlock Deck
Unlock for access to all 75 flashcards in this deck.
Unlock Deck
k this deck
39
How many different amino acids make up the proteins found in the human body?
A)4
B)16
C)20
D)125
E)This has not yet been determined.
A)4
B)16
C)20
D)125
E)This has not yet been determined.
Unlock Deck
Unlock for access to all 75 flashcards in this deck.
Unlock Deck
k this deck
40
Which of the following are proteins produced by the immune system in response to foreign substances in the body?
A)transferases
B)antibodies
C)insulins
D)albumins
E)myoglobins
A)transferases
B)antibodies
C)insulins
D)albumins
E)myoglobins
Unlock Deck
Unlock for access to all 75 flashcards in this deck.
Unlock Deck
k this deck
41
What essential type of reaction of collagen requires the presence of vitamin C before it will occur?
A)hydration
B)hydrolysis
C)hydrogenation
D)hydroxylation
E)peptidation
A)hydration
B)hydrolysis
C)hydrogenation
D)hydroxylation
E)peptidation
Unlock Deck
Unlock for access to all 75 flashcards in this deck.
Unlock Deck
k this deck
42
Which hydrophobic amino acid contains a sulfur atom in its side chain?
A)alanine
B)valine
C)phenylalanine
D)proline
E)methionine
A)alanine
B)valine
C)phenylalanine
D)proline
E)methionine
Unlock Deck
Unlock for access to all 75 flashcards in this deck.
Unlock Deck
k this deck
43
Which of the following properly represents the dipeptide with the primary structure Ala-Cys?
A)

B)

C)

D)

E)

A)

B)

C)

D)

E)

Unlock Deck
Unlock for access to all 75 flashcards in this deck.
Unlock Deck
k this deck
44
Which of the following statements concerning proteins is FALSE?
A)Proteins are polymers of amino acids joined together by amide bonds.
B)Proteins serve numerous functions in the body,including structural roles,enzymes,hormones,and transport vehicles.
C)The N-terminal end of a protein contains a free amino group.
D)The C-terminal end of a protein contains a free methyl group.
E)Fibrous proteins have long,extended shapes,and are insoluble in water.
A)Proteins are polymers of amino acids joined together by amide bonds.
B)Proteins serve numerous functions in the body,including structural roles,enzymes,hormones,and transport vehicles.
C)The N-terminal end of a protein contains a free amino group.
D)The C-terminal end of a protein contains a free methyl group.
E)Fibrous proteins have long,extended shapes,and are insoluble in water.
Unlock Deck
Unlock for access to all 75 flashcards in this deck.
Unlock Deck
k this deck
45
What force of attraction gives rise to the α-helix?
A)covalent bonding
B)disulfide bonding
C)hydrogen bonding
D)coordinate bonding
E)London bonding
A)covalent bonding
B)disulfide bonding
C)hydrogen bonding
D)coordinate bonding
E)London bonding
Unlock Deck
Unlock for access to all 75 flashcards in this deck.
Unlock Deck
k this deck
46
Which of the following is the most abundant protein in the human body?
A)immunoglobulins
B)enzymes
C)hemoglobin
D)myoglobin
E)collagen
A)immunoglobulins
B)enzymes
C)hemoglobin
D)myoglobin
E)collagen
Unlock Deck
Unlock for access to all 75 flashcards in this deck.
Unlock Deck
k this deck
47
Which of the following is a source of complete protein?
A)beans
B)rice
C)peanuts
D)wheat
E)chicken
A)beans
B)rice
C)peanuts
D)wheat
E)chicken
Unlock Deck
Unlock for access to all 75 flashcards in this deck.
Unlock Deck
k this deck
48
What is the most common type of secondary structure in a protein?
A)random coil
B)β-pleated sheet
C)double helix
D)α-helix
E)globular
A)random coil
B)β-pleated sheet
C)double helix
D)α-helix
E)globular
Unlock Deck
Unlock for access to all 75 flashcards in this deck.
Unlock Deck
k this deck
49
What level(s)of protein structure is/are created in part by disulfide bridges?
A)primary
B)secondary
C)tertiary
D)helical
E)All of the choices are correct.
A)primary
B)secondary
C)tertiary
D)helical
E)All of the choices are correct.
Unlock Deck
Unlock for access to all 75 flashcards in this deck.
Unlock Deck
k this deck
50
Amino acids or their component elements are NOT necessary for the biosynthesis of which of the following?
A)new cellular proteins
B)the bases in DNA
C)hemoglobin
D)glycogen
E)myoglobin
A)new cellular proteins
B)the bases in DNA
C)hemoglobin
D)glycogen
E)myoglobin
Unlock Deck
Unlock for access to all 75 flashcards in this deck.
Unlock Deck
k this deck
51
What level of protein structure is described by the binding of several peptides to produce a functional protein?
A)helical
B)primary
C)secondary
D)tertiary
E)quaternary
A)helical
B)primary
C)secondary
D)tertiary
E)quaternary
Unlock Deck
Unlock for access to all 75 flashcards in this deck.
Unlock Deck
k this deck
52
Which statement is FALSE?
A)Hydrophobic amino acids have nonpolar side chains.
B)Hydrophobic amino acids are usually positively or negatively charged.
C)Hydrophobic amino acids are found in the interior of proteins.
D)Hydrophilic amino acids can be subdivided into categories based upon their charge at pH of 7.
E)Hydrophilic amino acids have polar side chains.
A)Hydrophobic amino acids have nonpolar side chains.
B)Hydrophobic amino acids are usually positively or negatively charged.
C)Hydrophobic amino acids are found in the interior of proteins.
D)Hydrophilic amino acids can be subdivided into categories based upon their charge at pH of 7.
E)Hydrophilic amino acids have polar side chains.
Unlock Deck
Unlock for access to all 75 flashcards in this deck.
Unlock Deck
k this deck
53
Denaturation of a protein results in the loss of its native conformation and its biological activity.Which of the following best describes what happens when a protein is denatured?
A)The primary structure of the protein is altered.
B)Peptide bonds are broken,and individual amino acids are released.
C)Secondary,tertiary,or quaternary levels of structure are disrupted.
D)The N-terminal and C-terminal ends of the protein form their zwitterions.
E)The N-terminal and C-terminal ends of the protein are hydrolyzed.
A)The primary structure of the protein is altered.
B)Peptide bonds are broken,and individual amino acids are released.
C)Secondary,tertiary,or quaternary levels of structure are disrupted.
D)The N-terminal and C-terminal ends of the protein form their zwitterions.
E)The N-terminal and C-terminal ends of the protein are hydrolyzed.
Unlock Deck
Unlock for access to all 75 flashcards in this deck.
Unlock Deck
k this deck
54
Which amino acid contains an aromatic ring in its side chain?
A)alanine
B)glycine
C)isoleucine
D)tyrosine
E)threonine
A)alanine
B)glycine
C)isoleucine
D)tyrosine
E)threonine
Unlock Deck
Unlock for access to all 75 flashcards in this deck.
Unlock Deck
k this deck
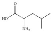
55
2-Amino-4-methylpentanoic acid (common name leucine)is an essential amino acid found in the proteins of the human body.Which of the following properly represents the structure of this compound?
A)

B)

C)

D)

E)

A)

B)

C)

D)

E)

Unlock Deck
Unlock for access to all 75 flashcards in this deck.
Unlock Deck
k this deck
56
Blood proteins will become denatured when they develop an overall negative charge.This would be the result of which of the following?
A)a lowering of pH
B)an increase in pH
C)a lowering of the partial pressure of oxygen
D)an increase in the partial pressure of oxygen
E)poor circulation
A)a lowering of pH
B)an increase in pH
C)a lowering of the partial pressure of oxygen
D)an increase in the partial pressure of oxygen
E)poor circulation
Unlock Deck
Unlock for access to all 75 flashcards in this deck.
Unlock Deck
k this deck
57
Which of the following correctly matches the amino acid with its three-letter abbreviation?
A)tryptophan: try
B)asparagine: asp
C)cysteine: cys
D)isoleucine: iso
E)valine: van
A)tryptophan: try
B)asparagine: asp
C)cysteine: cys
D)isoleucine: iso
E)valine: van
Unlock Deck
Unlock for access to all 75 flashcards in this deck.
Unlock Deck
k this deck
58
What two types of secondary structure are depicted in the ribbon diagram of the protein shown below? 
A)β-spirals and α-turns
B)double stranded helices and β-arrays
C)random coils and β-arrays
D)α-helices and β-pleated sheets
E)α-spirals and β-turns

A)β-spirals and α-turns
B)double stranded helices and β-arrays
C)random coils and β-arrays
D)α-helices and β-pleated sheets
E)α-spirals and β-turns
Unlock Deck
Unlock for access to all 75 flashcards in this deck.
Unlock Deck
k this deck
59
The formation of a peptide bond is best described as which of the following?
A)neutralization reaction
B)dehydration reaction
C)hydration reaction
D)hydrogenation reaction
E)oxidation reaction
A)neutralization reaction
B)dehydration reaction
C)hydration reaction
D)hydrogenation reaction
E)oxidation reaction
Unlock Deck
Unlock for access to all 75 flashcards in this deck.
Unlock Deck
k this deck
60
How is the following amino acid categorized? The structure shows its form at pH = 7. 
A)hydrophobic
B)polar,acidic
C)polar,basic
D)polar,neutral
E)None of the choices are correct.

A)hydrophobic
B)polar,acidic
C)polar,basic
D)polar,neutral
E)None of the choices are correct.
Unlock Deck
Unlock for access to all 75 flashcards in this deck.
Unlock Deck
k this deck
61
Proteins that are insoluble in water are called globular.
Unlock Deck
Unlock for access to all 75 flashcards in this deck.
Unlock Deck
k this deck
62
Protein digestion begins in the small intestine through the action of the enzyme pepsin.
Unlock Deck
Unlock for access to all 75 flashcards in this deck.
Unlock Deck
k this deck
63
Genetic coding is responsible for the primary structure of proteins.
Unlock Deck
Unlock for access to all 75 flashcards in this deck.
Unlock Deck
k this deck
64
If the pH of a protein solution becomes very low,the protein molecules will become polyanions.
Unlock Deck
Unlock for access to all 75 flashcards in this deck.
Unlock Deck
k this deck
65
Which of the following is FALSE concerning the denaturing of proteins?
A)Heavy metals can denature proteins by forming bonds with negatively charged side chains.
B)Denaturing can occur by changing the pH.
C)Detergents,organic solvents,and heat break apart hydrogen bonding within proteins.
D)Denaturing breaks the weaker hydrogen bonding,which creates the secondary and tertiary folds.
E)Denaturing breaks apart the amino acids that make up the protein.
A)Heavy metals can denature proteins by forming bonds with negatively charged side chains.
B)Denaturing can occur by changing the pH.
C)Detergents,organic solvents,and heat break apart hydrogen bonding within proteins.
D)Denaturing breaks the weaker hydrogen bonding,which creates the secondary and tertiary folds.
E)Denaturing breaks apart the amino acids that make up the protein.
Unlock Deck
Unlock for access to all 75 flashcards in this deck.
Unlock Deck
k this deck
66
Coagulation occurs when a protein unfolds and becomes entangled.
Unlock Deck
Unlock for access to all 75 flashcards in this deck.
Unlock Deck
k this deck
67
Proteins are an important nutrient because they provide the elements nitrogen and sulfur,which are not provided by dietary carbohydrates and lipids.
Unlock Deck
Unlock for access to all 75 flashcards in this deck.
Unlock Deck
k this deck
68
What allows for the transfer of oxygen from the bloodstream of a mother to the bloodstream of fetus?
A)There is a partial pressure difference between the O2 of the mother and the O2 of the fetus.
B)The blood vessels of the fetus are larger than that of the mother.
C)The hemoglobin of the fetus is different than adults and has a greater affinity for oxygen then the hemoglobin of the mother.
D)The hemoglobin of the fetus is larger than the hemoglobin of the mother.
E)The fetus uses myoglobin to carry the oxygen in the blood,the mother uses hemoglobin.
A)There is a partial pressure difference between the O2 of the mother and the O2 of the fetus.
B)The blood vessels of the fetus are larger than that of the mother.
C)The hemoglobin of the fetus is different than adults and has a greater affinity for oxygen then the hemoglobin of the mother.
D)The hemoglobin of the fetus is larger than the hemoglobin of the mother.
E)The fetus uses myoglobin to carry the oxygen in the blood,the mother uses hemoglobin.
Unlock Deck
Unlock for access to all 75 flashcards in this deck.
Unlock Deck
k this deck
69
Compared to a protein molecule that has no electrical charge,a negatively charged protein will be less soluble in water.
Unlock Deck
Unlock for access to all 75 flashcards in this deck.
Unlock Deck
k this deck
70
A fully vegetarian diet cannot provide a complete source of protein.
Unlock Deck
Unlock for access to all 75 flashcards in this deck.
Unlock Deck
k this deck
71
Glycoproteins are often found as receptors on the surface of cells.
Unlock Deck
Unlock for access to all 75 flashcards in this deck.
Unlock Deck
k this deck
72
Hydroxyapatite is a polymer of collagen and minerals.
Unlock Deck
Unlock for access to all 75 flashcards in this deck.
Unlock Deck
k this deck
73
Condensation of a molecule of glycine with one of valine can produce two possible dipeptide molecules.
Unlock Deck
Unlock for access to all 75 flashcards in this deck.
Unlock Deck
k this deck
74
Similarities and differences in the primary structures of a protein isolated from two different organisms can provide an estimate of the evolutionary relationship between the two organisms.
Unlock Deck
Unlock for access to all 75 flashcards in this deck.
Unlock Deck
k this deck
75
The human body can synthesize nonessential amino acids,but not essential ones.
Unlock Deck
Unlock for access to all 75 flashcards in this deck.
Unlock Deck
k this deck

