Deck 21: Aldehydes and Ketones Nucleophilic Addition
Question
Question
Question
Question
Question
Question
Question
Question
Question
Question
Question
Question
Question
Question
Question
Question
Question
Question
Question
Question
Question
Question
Question
Question
Question
Question
Question
Question
Question
Question
Question
Question
Question
Question
Question
Question
Question
Question
Question
Question
Question
Question
Unlock Deck
Sign up to unlock the cards in this deck!
Unlock Deck
Unlock Deck
1/42
Play
Full screen (f)
Deck 21: Aldehydes and Ketones Nucleophilic Addition
1
Using IR spectroscopy, how can you tell the difference between a ketone and an aldehyde?
A)A ketone has no carbonyl stretch at 1720 cm-1.
B)An aldehyde has a carbonyl stretch at 1820 cm-1.
C)An aldehyde has two C-H stretches between 2700-2850 cm-1.
D)A ketone has no C-H stretches.
A)A ketone has no carbonyl stretch at 1720 cm-1.
B)An aldehyde has a carbonyl stretch at 1820 cm-1.
C)An aldehyde has two C-H stretches between 2700-2850 cm-1.
D)A ketone has no C-H stretches.
An aldehyde has two C-H stretches between 2700-2850 cm-1.
2
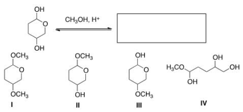
What is the product of the following reaction?

A)I
B)II
C)III
D)IV

A)I
B)II
C)III
D)IV
IV
3
What is the structure of 3-methylcyclohexanone?

A)I
B)II
C)III
D)IV

A)I
B)II
C)III
D)IV
II
4
Which is the most reactive carbonyl compound?
A)I
B)II
C)III
D)IV
A)I
B)II
C)III
D)IV
Unlock Deck
Unlock for access to all 42 flashcards in this deck.
Unlock Deck
k this deck
5
What is the product of the following reaction?

A)I
B)II
C)III
D)IV

A)I
B)II
C)III
D)IV
Unlock Deck
Unlock for access to all 42 flashcards in this deck.
Unlock Deck
k this deck
6
Which of the following will have the highest wave number for the carbonyl stretch in the IR spectrum?

A)I
B)II
C)III
D)IV

A)I
B)II
C)III
D)IV
Unlock Deck
Unlock for access to all 42 flashcards in this deck.
Unlock Deck
k this deck
7
What is the driving force for the Wittig reaction?
A)The formation of an alkene
B)The deprotonation of a phosphonium salt
C)The elimination of triphenylphosphine oxide
D)The formation of a phosphonium salt
A)The formation of an alkene
B)The deprotonation of a phosphonium salt
C)The elimination of triphenylphosphine oxide
D)The formation of a phosphonium salt
Unlock Deck
Unlock for access to all 42 flashcards in this deck.
Unlock Deck
k this deck
8
What needs to be done to make the following reaction proceed?

A)Heat the reaction.
B)Add an acid catalyst only.
C)Add a base catalyst only.
D)Heat the reaction and add an acid catalyst.

A)Heat the reaction.
B)Add an acid catalyst only.
C)Add a base catalyst only.
D)Heat the reaction and add an acid catalyst.
Unlock Deck
Unlock for access to all 42 flashcards in this deck.
Unlock Deck
k this deck
9
Is the following reaction reversible and, if so, under what conditions?

A)No
B)Yes, under acidic conditions
C)Yes, using Pd/C
D)Yes, under basic conditions

A)No
B)Yes, under acidic conditions
C)Yes, using Pd/C
D)Yes, under basic conditions
Unlock Deck
Unlock for access to all 42 flashcards in this deck.
Unlock Deck
k this deck
10
What compound is consistent with the following 1H NMR spectrum?

A)Acetone
B)Propanal
C)Cyclobutanone
D)2-butanone

A)Acetone
B)Propanal
C)Cyclobutanone
D)2-butanone
Unlock Deck
Unlock for access to all 42 flashcards in this deck.
Unlock Deck
k this deck
11
Which of the following oxidants would work for the following reaction?

A)H2Cr2O7
B)FeCl3
C)I2
D)Ag2O

A)H2Cr2O7
B)FeCl3
C)I2
D)Ag2O
Unlock Deck
Unlock for access to all 42 flashcards in this deck.
Unlock Deck
k this deck
12
Using 1H NMR spectroscopy, how can you tell the difference between an aldehyde and a ketone?
A)An aldehyde has a C-H stretch (one or two) between 2700-2830 cm-1.
B)An aldehyde has a proton signal between 9-10 ppm.
C)A ketone has signals around 2-3 ppm.
D)A ketone has a signal around 200 ppm.
A)An aldehyde has a C-H stretch (one or two) between 2700-2830 cm-1.
B)An aldehyde has a proton signal between 9-10 ppm.
C)A ketone has signals around 2-3 ppm.
D)A ketone has a signal around 200 ppm.
Unlock Deck
Unlock for access to all 42 flashcards in this deck.
Unlock Deck
k this deck
13
What is the major organic product obtained from the following sequence of reactions?

A)I
B)II
C)III
D)IV

A)I
B)II
C)III
D)IV
Unlock Deck
Unlock for access to all 42 flashcards in this deck.
Unlock Deck
k this deck
14
What needs to be done to make the following reaction go to starting materials?

A)Heat the reaction.
B)Add aqueous acid.
C)Add aqueous base.
D)Add water.

A)Heat the reaction.
B)Add aqueous acid.
C)Add aqueous base.
D)Add water.
Unlock Deck
Unlock for access to all 42 flashcards in this deck.
Unlock Deck
k this deck
15
Why are strongly acidic conditions not used in the formation of enamines and imines?
A)The carbonyl will be protonated.
B)The amine will be completely protonated.
C)The product is not stable to strong acid.
D)An enol will be formed.
A)The carbonyl will be protonated.
B)The amine will be completely protonated.
C)The product is not stable to strong acid.
D)An enol will be formed.
Unlock Deck
Unlock for access to all 42 flashcards in this deck.
Unlock Deck
k this deck
16
Why can't you use acidic conditions (such as aqueous hydrochloric acid) for the addition of a Grignard reagent to a ketone?
A)Because the Grignard reagent will react with the acid and be quenched
B)Because the ketone will be protonated and thus unreactive
C)Because the ketone will form an unreactive enol
D)Because the Grignard reagent won't dissolve in aqueous solutions
A)Because the Grignard reagent will react with the acid and be quenched
B)Because the ketone will be protonated and thus unreactive
C)Because the ketone will form an unreactive enol
D)Because the Grignard reagent won't dissolve in aqueous solutions
Unlock Deck
Unlock for access to all 42 flashcards in this deck.
Unlock Deck
k this deck
17
What is the structure of benzophenone?

A)I
B)II
C)III
D)IV

A)I
B)II
C)III
D)IV
Unlock Deck
Unlock for access to all 42 flashcards in this deck.
Unlock Deck
k this deck
18
What is the first step in nucleophilic addition under acidic conditions?
A)Protonation of the nucleophile
B)Addition of the nucleophile
C)Loss of water
D)Protonation of the carbonyl
A)Protonation of the nucleophile
B)Addition of the nucleophile
C)Loss of water
D)Protonation of the carbonyl
Unlock Deck
Unlock for access to all 42 flashcards in this deck.
Unlock Deck
k this deck
19
What is the product of the following reaction?

A)I
B)II
C)III
D)IV

A)I
B)II
C)III
D)IV
Unlock Deck
Unlock for access to all 42 flashcards in this deck.
Unlock Deck
k this deck
20
What would you use to prepare the following ylide from the starting phosphonium salt?

A)Butyl lithium
B)1-Bromo-2-methylpropane
C)Triphenylphosphine
D)Acetic acid

A)Butyl lithium
B)1-Bromo-2-methylpropane
C)Triphenylphosphine
D)Acetic acid
Unlock Deck
Unlock for access to all 42 flashcards in this deck.
Unlock Deck
k this deck
21
What is (are) the product(s) of the following reaction?

A)I only
B)II only
C)III only
D)II and III

A)I only
B)II only
C)III only
D)II and III
Unlock Deck
Unlock for access to all 42 flashcards in this deck.
Unlock Deck
k this deck
22
What is the product of the following reaction?

A)I
B)II
C)III
D)IV

A)I
B)II
C)III
D)IV
Unlock Deck
Unlock for access to all 42 flashcards in this deck.
Unlock Deck
k this deck
23
What is (are) the product(s) of the following reaction?

A)I only
B)II only
C)III only
D)II and III

A)I only
B)II only
C)III only
D)II and III
Unlock Deck
Unlock for access to all 42 flashcards in this deck.
Unlock Deck
k this deck
24
What is the product of the following reaction?

A)I
B)II
C)III
D)IV

A)I
B)II
C)III
D)IV
Unlock Deck
Unlock for access to all 42 flashcards in this deck.
Unlock Deck
k this deck
25
What is the IUPAC for the following compound?

A)1-Formyl-2-nitropropane
B)1-Formyl-3-nitrobutane
C)2-Nitrobutanal
D)3-Nitrobutanal

A)1-Formyl-2-nitropropane
B)1-Formyl-3-nitrobutane
C)2-Nitrobutanal
D)3-Nitrobutanal
Unlock Deck
Unlock for access to all 42 flashcards in this deck.
Unlock Deck
k this deck
26
What sequence of reactions is required for the following transformation?
![<strong>What sequence of reactions is required for the following transformation? </strong> A)[1] NaOMe, [2] acetone B)[1] Ph<sub>3</sub>P, [2] acetone C)[1] Ph<sub>3</sub>P, [2] KOtBu, [3] acetone D)Acetone, heat](https://d2lvgg3v3hfg70.cloudfront.net/TB5872/11eb4ad7_6c12_b03e_99b2_e336cf0ffd6b_TB5872_00.jpg)
A)[1] NaOMe, [2] acetone
B)[1] Ph3P, [2] acetone
C)[1] Ph3P, [2] KOtBu, [3] acetone
D)Acetone, heat
![<strong>What sequence of reactions is required for the following transformation? </strong> A)[1] NaOMe, [2] acetone B)[1] Ph<sub>3</sub>P, [2] acetone C)[1] Ph<sub>3</sub>P, [2] KOtBu, [3] acetone D)Acetone, heat](https://d2lvgg3v3hfg70.cloudfront.net/TB5872/11eb4ad7_6c12_b03e_99b2_e336cf0ffd6b_TB5872_00.jpg)
A)[1] NaOMe, [2] acetone
B)[1] Ph3P, [2] acetone
C)[1] Ph3P, [2] KOtBu, [3] acetone
D)Acetone, heat
Unlock Deck
Unlock for access to all 42 flashcards in this deck.
Unlock Deck
k this deck
27
What is the product of the following reaction?

A)I
B)II
C)III
D)IV

A)I
B)II
C)III
D)IV
Unlock Deck
Unlock for access to all 42 flashcards in this deck.
Unlock Deck
k this deck
28
What is the missing reagent in the reaction below?

A)Methanol, acid
B)Ethanol, acid
C)NaOEt
D)NaOMe

A)Methanol, acid
B)Ethanol, acid
C)NaOEt
D)NaOMe
Unlock Deck
Unlock for access to all 42 flashcards in this deck.
Unlock Deck
k this deck
29
When an aldehyde is reacted with excess ethanol with an acid as a catalyst, what is the product called?
A)Hemiacetal
B)Di-ether
C)Di-alkoxy alkane
D)Acetal
A)Hemiacetal
B)Di-ether
C)Di-alkoxy alkane
D)Acetal
Unlock Deck
Unlock for access to all 42 flashcards in this deck.
Unlock Deck
k this deck
30
What is the product of the following reaction?

A)I
B)II
C)III
D)IV

A)I
B)II
C)III
D)IV
Unlock Deck
Unlock for access to all 42 flashcards in this deck.
Unlock Deck
k this deck
31
Butanal (MW= 72) has a boiling point of 76 °C while butanol (MW= 74) has a boiling point of 118 °C.What accounts for this difference in boiling points?
A)Butanol is polar while butanal is not polar.
B)Butanol can exhibit dipole-dipole interactions while butanal cannot.
C)Butanol can hydrogen bond and butanal cannot hydrogen bond.
D)Butanal is less sterically hindered than butanol.
A)Butanol is polar while butanal is not polar.
B)Butanol can exhibit dipole-dipole interactions while butanal cannot.
C)Butanol can hydrogen bond and butanal cannot hydrogen bond.
D)Butanal is less sterically hindered than butanol.
Unlock Deck
Unlock for access to all 42 flashcards in this deck.
Unlock Deck
k this deck
32
Which of the following products is (are) formed by Wittig reaction of CH3CH2CH2CHO with Ph3P = CHCH3?

A)Only I
B)Only II
C)Only III
D)Only I and II

A)Only I
B)Only II
C)Only III
D)Only I and II
Unlock Deck
Unlock for access to all 42 flashcards in this deck.
Unlock Deck
k this deck
33
Identify how you could synthesize an enamine.
A)React a ketone or an aldehyde with a secondary amine.
B)React a ketone or an aldehyde with a primary amine.
C)React a ylide with a primary amine.
D)React a ylide with a secondary amine.
A)React a ketone or an aldehyde with a secondary amine.
B)React a ketone or an aldehyde with a primary amine.
C)React a ylide with a primary amine.
D)React a ylide with a secondary amine.
Unlock Deck
Unlock for access to all 42 flashcards in this deck.
Unlock Deck
k this deck
34
Which of the following statements about carbohydrates is not true?
A)Carbohydrates are sugars and starches.
B)Carbohydrates often contain acetals and hemiacetals.
C)In solution, glucose is in the cyclic acetal form only.
D)Glucose can form a cyclic hemiacetal from the acyclic polyhydroxy aldehyde.
A)Carbohydrates are sugars and starches.
B)Carbohydrates often contain acetals and hemiacetals.
C)In solution, glucose is in the cyclic acetal form only.
D)Glucose can form a cyclic hemiacetal from the acyclic polyhydroxy aldehyde.
Unlock Deck
Unlock for access to all 42 flashcards in this deck.
Unlock Deck
k this deck
35
What is the cyclic hemiacetal product formed from intramolecular cyclization of the following hydroxy aldehyde?

A)I
B)II
C)III
D)IV

A)I
B)II
C)III
D)IV
Unlock Deck
Unlock for access to all 42 flashcards in this deck.
Unlock Deck
k this deck
36
Cyclic acetals are used as protecting groups for ketones or aldehydes because they are inert to all of the following reagents except
A)aqueous acid.
B)aqueous base.
C)oxidizing reagents.
D)reducing reagents.
A)aqueous acid.
B)aqueous base.
C)oxidizing reagents.
D)reducing reagents.
Unlock Deck
Unlock for access to all 42 flashcards in this deck.
Unlock Deck
k this deck
37
What is the product of the following reaction?

A)I
B)II
C)III
D)IV

A)I
B)II
C)III
D)IV
Unlock Deck
Unlock for access to all 42 flashcards in this deck.
Unlock Deck
k this deck
38
What is the missing reagent in the reaction below?

A)Ethyl amine, mild acid
B)Diethylamine, mild acid
C)Diethylamine, strong acid
D)Diethylamine, NaOMe

A)Ethyl amine, mild acid
B)Diethylamine, mild acid
C)Diethylamine, strong acid
D)Diethylamine, NaOMe
Unlock Deck
Unlock for access to all 42 flashcards in this deck.
Unlock Deck
k this deck
39
What is the product of the following sequence of reactions?

A)I
B)II
C)III
D)IV

A)I
B)II
C)III
D)IV
Unlock Deck
Unlock for access to all 42 flashcards in this deck.
Unlock Deck
k this deck
40
What is the missing reagent in the reaction below?

A)I
B)II
C)III
D)IV

A)I
B)II
C)III
D)IV
Unlock Deck
Unlock for access to all 42 flashcards in this deck.
Unlock Deck
k this deck
41
What product is formed when the following compound is hydrolyzed with aqueous acid?

A)I
B)II
C)III
D)IV

A)I
B)II
C)III
D)IV
Unlock Deck
Unlock for access to all 42 flashcards in this deck.
Unlock Deck
k this deck
42
What product is formed when the following acetal is hydrolyzed with aqueous acid?

A)I
B)II
C)III
D)IV

A)I
B)II
C)III
D)IV
Unlock Deck
Unlock for access to all 42 flashcards in this deck.
Unlock Deck
k this deck

