Deck 13: Aldehydes and Ketones-Nucleophilic Addition
Question
Question
Question
Question
Question
Question
Question
Question
Question
Question
Question
Question
Question
Question
Question
Question
Question
Question
Unlock Deck
Sign up to unlock the cards in this deck!
Unlock Deck
Unlock Deck
1/18
Play
Full screen (f)
Deck 13: Aldehydes and Ketones-Nucleophilic Addition
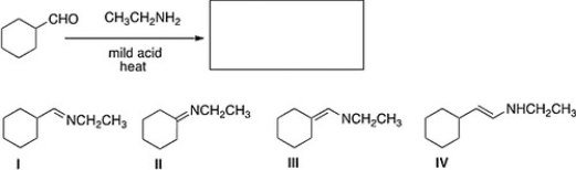
1
What is the product of the following reaction? 
A) III
B) I
C) II
D) IV

A) III
B) I
C) II
D) IV
I
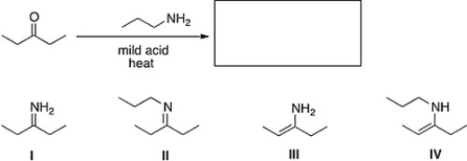
2
What is the product of the following reaction? 
A) IV
B) I
C) II
D) III

A) IV
B) I
C) II
D) III
I
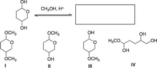
3
How would the following compounds be distinguishable using IR and 1H NMR spectroscopy? 
A) The1H NMR spectrum of compound I will have two singlets.
B) The1H NMR spectrum of compound II will have one triplet at a chemical shift of about 4.
C) The1H NMR spectrum of compound I will have two singlets AND the C=O absorption in the IR spectrum of compound I will be at a higher wave number than that of compound II.
D) The C=O absorption in the IR spectrum of compound I will be at a higher wave number than that of compound II.

A) The1H NMR spectrum of compound I will have two singlets.
B) The1H NMR spectrum of compound II will have one triplet at a chemical shift of about 4.
C) The1H NMR spectrum of compound I will have two singlets AND the C=O absorption in the IR spectrum of compound I will be at a higher wave number than that of compound II.
D) The C=O absorption in the IR spectrum of compound I will be at a higher wave number than that of compound II.
The1H NMR spectrum of compound I will have two singlets AND the C=O absorption in the IR spectrum of compound I will be at a higher wave number than that of compound II.
4
What is the product? 
A) II
B) I
C) III
D) IV

A) II
B) I
C) III
D) IV
Unlock Deck
Unlock for access to all 18 flashcards in this deck.
Unlock Deck
k this deck
5
What is the IUPAC name for the following compound? 
A) Tert-butyl aldehyde
B) 2,2-Dimethylpropanal
C) Pivaldehyde
D) 2,2-Dimethylpentanal

A) Tert-butyl aldehyde
B) 2,2-Dimethylpropanal
C) Pivaldehyde
D) 2,2-Dimethylpentanal
Unlock Deck
Unlock for access to all 18 flashcards in this deck.
Unlock Deck
k this deck
6
What is the product of the following reaction? 
A) IV
B) I
C) II
D) III

A) IV
B) I
C) II
D) III
Unlock Deck
Unlock for access to all 18 flashcards in this deck.
Unlock Deck
k this deck
7
What needs to be done to make the following reaction proceed? 
A) Add an acid catalyst only.
B) Heat the reaction and add an acid catalyst.
C) Heat the reaction.
D) Add a base catalyst only.

A) Add an acid catalyst only.
B) Heat the reaction and add an acid catalyst.
C) Heat the reaction.
D) Add a base catalyst only.
Unlock Deck
Unlock for access to all 18 flashcards in this deck.
Unlock Deck
k this deck
8
Name the following aldehyde. 
A) 1-Methylcyclopentanylcarbaldehyde
B) 2-Methylcyclopentanecarbaldehyde
C) 1-Methylcyclopentanal
D) 2-Methylcyclopentanal

A) 1-Methylcyclopentanylcarbaldehyde
B) 2-Methylcyclopentanecarbaldehyde
C) 1-Methylcyclopentanal
D) 2-Methylcyclopentanal
Unlock Deck
Unlock for access to all 18 flashcards in this deck.
Unlock Deck
k this deck
9
What is the major product of the following reaction? 
A) III
B) II
C) IV
D) I

A) III
B) II
C) IV
D) I
Unlock Deck
Unlock for access to all 18 flashcards in this deck.
Unlock Deck
k this deck
10
What is the driving force for the Wittig reaction?
A) The elimination of triphenylphosphine oxide
B) The formation of an alkene
C) The formation of a phosphonium salt
D) The deprotonation of a phosphonium salt
A) The elimination of triphenylphosphine oxide
B) The formation of an alkene
C) The formation of a phosphonium salt
D) The deprotonation of a phosphonium salt
Unlock Deck
Unlock for access to all 18 flashcards in this deck.
Unlock Deck
k this deck
11
What is the product of the following reaction? 
A) III
B) II
C) IV
D) I

A) III
B) II
C) IV
D) I
Unlock Deck
Unlock for access to all 18 flashcards in this deck.
Unlock Deck
k this deck
12
What is the major product of the following reaction? 
A) III
B) II
C) IV
D) I

A) III
B) II
C) IV
D) I
Unlock Deck
Unlock for access to all 18 flashcards in this deck.
Unlock Deck
k this deck
13
Using1H NMR spectroscopy, how can you tell the difference between an aldehyde and a ketone?
A) A ketone has a signal around 200 ppm.
B) An aldehyde has a C-H stretch (one or two) between 2700-2830 cm-1.
C) A ketone has signals around 2-3 ppm.
D) An aldehyde has a proton signal between 9-10 ppm.
A) A ketone has a signal around 200 ppm.
B) An aldehyde has a C-H stretch (one or two) between 2700-2830 cm-1.
C) A ketone has signals around 2-3 ppm.
D) An aldehyde has a proton signal between 9-10 ppm.
Unlock Deck
Unlock for access to all 18 flashcards in this deck.
Unlock Deck
k this deck
14
What is the product of the following reaction? 
A) IV
B) II
C) I
D) III

A) IV
B) II
C) I
D) III
Unlock Deck
Unlock for access to all 18 flashcards in this deck.
Unlock Deck
k this deck
15
What is the product of the following reaction? 
A) II
B) IV
C) I
D) III

A) II
B) IV
C) I
D) III
Unlock Deck
Unlock for access to all 18 flashcards in this deck.
Unlock Deck
k this deck
16
Butanal (MW= 72) has a boiling point of 76 °C while butanol (MW= 74) has a boiling point of 118 °C. What accounts for this difference in boiling points?
A) Butanal is less sterically hindered than butanol.
B) Butanol is polar while butanal is not polar.
C) Butanol can exhibit dipole-dipole interactions while butanal cannot.
D) Butanol can hydrogen bond and butanal cannot hydrogen bond.
A) Butanal is less sterically hindered than butanol.
B) Butanol is polar while butanal is not polar.
C) Butanol can exhibit dipole-dipole interactions while butanal cannot.
D) Butanol can hydrogen bond and butanal cannot hydrogen bond.
Unlock Deck
Unlock for access to all 18 flashcards in this deck.
Unlock Deck
k this deck
17
What is the product of the following reaction? 
A) I
B) III
C) IV
D) II

A) I
B) III
C) IV
D) II
Unlock Deck
Unlock for access to all 18 flashcards in this deck.
Unlock Deck
k this deck
18
What is the product of the following reaction? 
A) IV
B) II
C) I
D) III

A) IV
B) II
C) I
D) III
Unlock Deck
Unlock for access to all 18 flashcards in this deck.
Unlock Deck
k this deck

