Deck 11: Lipids and Membranes
Question
Question
Question
Question
Question
Question
Question
Question
Question
Question
Question
Question
Question
Question
Question
Question
Question
Question
Question
Question
Question
Question
Question
Question
Question
Question
Question
Question
Question
Question
Question
Question
Question
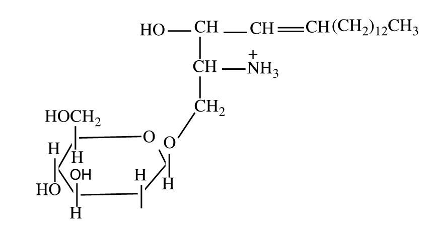
Question
Question
Question
Question
Question
Question
Question
Question
Question
Question
Question
Question
Question
Question
Question
Question
Question
Question
Question
Question
Question
Question
Question
Question
Question
Question
Question
Question
Question
Question
Question
Question
Question
Question
Question
Question
Question
Question
Question
Question
Question
Question
Question
Question
Question
Question
Question
Unlock Deck
Sign up to unlock the cards in this deck!
Unlock Deck
Unlock Deck
1/90
Play
Full screen (f)
Deck 11: Lipids and Membranes
1
In which solvent would lipids be most soluble?
A) hexane
B) water
C) methyl alcohol
D) ethyl alcohol
A) hexane
B) water
C) methyl alcohol
D) ethyl alcohol
hexane
2
Triglycerides composed of glycerin and mostly polyunsaturated fatty acid residues are likely to be ___ at room temperature.
A) solid fats
B) liquid oils
C) gases
D) waxes
A) solid fats
B) liquid oils
C) gases
D) waxes
liquid oils
3
Shown below is the structure of the fatty acid, lauric acid:
The boxed portion is considered to be both
A) hydrophilic and hydrophobic.
B) polar and hydrophobic.
C) polar and hydrophilic.
D) nonpolar and hydrophilic.
The boxed portion is considered to be bothA) hydrophilic and hydrophobic.
B) polar and hydrophobic.
C) polar and hydrophilic.
D) nonpolar and hydrophilic.
polar and hydrophilic.
4
The structure of the fatty acid, palmitic acid, is
Palmitic acid is a(n) ___ fatty acid.
A) saturated
B) monounsaturated
C) polyunsaturated
D) waxy
Palmitic acid is a(n) ___ fatty acid.A) saturated
B) monounsaturated
C) polyunsaturated
D) waxy
Unlock Deck
Unlock for access to all 90 flashcards in this deck.
Unlock Deck
k this deck
5
The fatty acid, palmitoleic acid, is
Notice the double bond. Palmitoleic acid is a ___ fatty acid.
A) saturated
B) monounsaturated
C) polyunsaturated
D) waxy
Notice the double bond. Palmitoleic acid is a ___ fatty acid.A) saturated
B) monounsaturated
C) polyunsaturated
D) waxy
Unlock Deck
Unlock for access to all 90 flashcards in this deck.
Unlock Deck
k this deck
6
Fatty acids can produce ions that are ___.
A) highly charged at the tail
B) nonpolar
C) amphipathic
D) hydrophobic
A) highly charged at the tail
B) nonpolar
C) amphipathic
D) hydrophobic
Unlock Deck
Unlock for access to all 90 flashcards in this deck.
Unlock Deck
k this deck
7
The melting point of lauric acid, CH3(CH2)10CO2H , is 43 C and the melting point of stearic acid (CH3(CH2)16CO2H) is 69 C. Which of the following statements best explains why the melting point of lauric acid is lower than the melting point of stearic acid?
A) The hydrophobic tail of lauric acid is longer than the hydrophobic tail of stearic acid.
B) Stearic acid is soluble in water and lauric acid is not soluble in water.
C) Stearic acid is a fatty acid, whereas lauric acid is not a fatty acid.
D) The London force interactions are stronger in stearic acid than they are in lauric acid.
A) The hydrophobic tail of lauric acid is longer than the hydrophobic tail of stearic acid.
B) Stearic acid is soluble in water and lauric acid is not soluble in water.
C) Stearic acid is a fatty acid, whereas lauric acid is not a fatty acid.
D) The London force interactions are stronger in stearic acid than they are in lauric acid.
Unlock Deck
Unlock for access to all 90 flashcards in this deck.
Unlock Deck
k this deck
8
The skeletal structure of Arachidonic acid, an essential fatty acid, is provided below. Arachidonic acid is best classified as: 
A) Omega-3-fatty acid
B) Omega-6-fatty acid
C) Saturated fatty acid
D) Wax

A) Omega-3-fatty acid
B) Omega-6-fatty acid
C) Saturated fatty acid
D) Wax
Unlock Deck
Unlock for access to all 90 flashcards in this deck.
Unlock Deck
k this deck
9
In which solvent below would lipids be least soluble?
A) hexane
B) water
C) methyl alcohol
D) ethyl alcohol
A) hexane
B) water
C) methyl alcohol
D) ethyl alcohol
Unlock Deck
Unlock for access to all 90 flashcards in this deck.
Unlock Deck
k this deck
10
The structure of palmitate ion derived from the fatty acid, palmitic acid, is
Its molecular structure has both polar and nonpolar portions. Therefore, palmitate ion is classified as ___.
A) hydrophobic
B) lipophobic
C) hydrophilic
D) amphipathic
Its molecular structure has both polar and nonpolar portions. Therefore, palmitate ion is classified as ___.A) hydrophobic
B) lipophobic
C) hydrophilic
D) amphipathic
Unlock Deck
Unlock for access to all 90 flashcards in this deck.
Unlock Deck
k this deck
11
Omega-3 and Omega-6-fatty acids are essential fatty acids. Which of the following statement best describes these essential fatty acids?
A) They are very soluble in water.
B) They are saturated fatty acids that the body absorbs faster.
C) They are not produced in the body and must be obtained through diet.
D) They are waxes found in the body.
A) They are very soluble in water.
B) They are saturated fatty acids that the body absorbs faster.
C) They are not produced in the body and must be obtained through diet.
D) They are waxes found in the body.
Unlock Deck
Unlock for access to all 90 flashcards in this deck.
Unlock Deck
k this deck
12
The skeletal structure of docosahexaenoic acid, an essential fatty acid, is provided below. Docosahexaenoic acid is best classified as: 
A) Omega-3-fatty acid
B) Omega-6-fatty acid
C) Saturated fatty acid
D) Wax

A) Omega-3-fatty acid
B) Omega-6-fatty acid
C) Saturated fatty acid
D) Wax
Unlock Deck
Unlock for access to all 90 flashcards in this deck.
Unlock Deck
k this deck
13
The structure below is best classified as a ___. 
A) triglyceride
B) wax
C) steroid
D) phospholipid

A) triglyceride
B) wax
C) steroid
D) phospholipid
Unlock Deck
Unlock for access to all 90 flashcards in this deck.
Unlock Deck
k this deck
14
Waxes are compounds that are
A) the result of the reaction of a fatty acid and sodium hydroxide.
B) extremely hydrophilic due to the head end of the compound.
C) mixtures of water insoluble compounds, especially esters.
D) small compounds produced when short chain fatty acids react with an alcohol.
A) the result of the reaction of a fatty acid and sodium hydroxide.
B) extremely hydrophilic due to the head end of the compound.
C) mixtures of water insoluble compounds, especially esters.
D) small compounds produced when short chain fatty acids react with an alcohol.
Unlock Deck
Unlock for access to all 90 flashcards in this deck.
Unlock Deck
k this deck
15
Compounds found in feathers and leaves of most plants, which serve as protective coatings to keep water from entering or leaving an organism, are ___.
A) glycolipids
B) steroids
C) waxes
D) sphingolipids
A) glycolipids
B) steroids
C) waxes
D) sphingolipids
Unlock Deck
Unlock for access to all 90 flashcards in this deck.
Unlock Deck
k this deck
16
Carnauba wax is widely used for high-gloss car and floor polishes. A major component of carnauba wax ester is provided below. The condensed structure of the alcohol from which carnauba wax ester is formed is: 
A)
B)
C)
D)

A)

B)

C)

D)

Unlock Deck
Unlock for access to all 90 flashcards in this deck.
Unlock Deck
k this deck
17
Identify the class of lipid to which the following molecule belongs. 
A) fatty acid
B) triglyceride
C) wax
D) glycerophospholipid

A) fatty acid
B) triglyceride
C) wax
D) glycerophospholipid
Unlock Deck
Unlock for access to all 90 flashcards in this deck.
Unlock Deck
k this deck
18
Saponification
A) is a hydrolysis reaction.
B) results in the production of triglycerides.
C) is used to store energy for later use.
D) is a reaction found in plant metabolism.
A) is a hydrolysis reaction.
B) results in the production of triglycerides.
C) is used to store energy for later use.
D) is a reaction found in plant metabolism.
Unlock Deck
Unlock for access to all 90 flashcards in this deck.
Unlock Deck
k this deck
19
How many molecules of H2 will react with one molecule of the following triglyceride? 
A) 1
B) 3
C) 4
D) 6

A) 1
B) 3
C) 4
D) 6
Unlock Deck
Unlock for access to all 90 flashcards in this deck.
Unlock Deck
k this deck
20
The effect of the hydrogenation of oils is to
A) remove double bonds.
B) cause the oils to remain as liquids.
C) make the oils boil at a lower temperature.
D) make the oils oxidize.
A) remove double bonds.
B) cause the oils to remain as liquids.
C) make the oils boil at a lower temperature.
D) make the oils oxidize.
Unlock Deck
Unlock for access to all 90 flashcards in this deck.
Unlock Deck
k this deck
21
Oleic acid has the formula CH3(CH2)7(CH = CH(CH2)7CO2H. The carbon -carbon double bond in oleic acid is usually cis. Compared to saturated fatty acids with the same number of carbon atoms, cis-oleic acid will have
A) a lower melting point due to a kink in the hydrocarbon tail.
B) stronger London forces and a higher melting point.
C) bonds that fit in the packing of the hydrophobic tails, creating stronger interaction between molecules.
D) no reaction with hydrogen in the presence of platinum catalyst.
A) a lower melting point due to a kink in the hydrocarbon tail.
B) stronger London forces and a higher melting point.
C) bonds that fit in the packing of the hydrophobic tails, creating stronger interaction between molecules.
D) no reaction with hydrogen in the presence of platinum catalyst.
Unlock Deck
Unlock for access to all 90 flashcards in this deck.
Unlock Deck
k this deck
22
Animal fats and vegetable oils become rancid when exposed to air because
A) they are hydrogenated to form saturated fatty acids.
B) carbon-carbon double bonds are oxidized in air, producing small organic molecules.
C) they form amino acids in air.
D) they are partially hydrogenated.
A) they are hydrogenated to form saturated fatty acids.
B) carbon-carbon double bonds are oxidized in air, producing small organic molecules.
C) they form amino acids in air.
D) they are partially hydrogenated.
Unlock Deck
Unlock for access to all 90 flashcards in this deck.
Unlock Deck
k this deck
23
Identify the class of lipid to which the following molecule belongs. 
A) sphingophospholipid
B) triglyceride
C) cholesterol
D) glycerophospholipid

A) sphingophospholipid
B) triglyceride
C) cholesterol
D) glycerophospholipid
Unlock Deck
Unlock for access to all 90 flashcards in this deck.
Unlock Deck
k this deck
24
Which of the following is one of the products formed when the lipid below is saponified? 
A)
B)
C)
D)

A)

B)

C)

D)

Unlock Deck
Unlock for access to all 90 flashcards in this deck.
Unlock Deck
k this deck
25
Phospholipids ___.
A) are really a wax
B) are very polar on both ends
C) contain a sugar, which may be simple or a chain
D) are part of the structure of cell membranes
A) are really a wax
B) are very polar on both ends
C) contain a sugar, which may be simple or a chain
D) are part of the structure of cell membranes
Unlock Deck
Unlock for access to all 90 flashcards in this deck.
Unlock Deck
k this deck
26
Determine the number of molecules of H2 that will react with one molecule of the following triglyceride. 
A) three
B) four
C) six
D) five

A) three
B) four
C) six
D) five
Unlock Deck
Unlock for access to all 90 flashcards in this deck.
Unlock Deck
k this deck
27
Because of the components that are found in phospholipids, the phospholipid molecules
A) are long molecules with multiple polar points.
B) have a head that is nonpolar, as is the tail.
C) have a polar end and a nonpolar end.
D) have two ends that are nonpolar with a polar middle.
A) are long molecules with multiple polar points.
B) have a head that is nonpolar, as is the tail.
C) have a polar end and a nonpolar end.
D) have two ends that are nonpolar with a polar middle.
Unlock Deck
Unlock for access to all 90 flashcards in this deck.
Unlock Deck
k this deck
28
The phosphate head group of phospholipids is ___ and is found on the ___ of a membrane's lipid bilayer.
A) hydrophilic/inside
B) hydrophilic/outside
C) hydrophobic/inside
D) hydrophobic/outside
A) hydrophilic/inside
B) hydrophilic/outside
C) hydrophobic/inside
D) hydrophobic/outside
Unlock Deck
Unlock for access to all 90 flashcards in this deck.
Unlock Deck
k this deck
29
The difference between the sphingolipids and the glycerophospholipids is that the sphingolipids
A) have three alcohol residues that replace the fatty acid residues.
B) have one phosphate, but it is attached to the fatty acid residue, not the glycerol.
C) have three phosphates, not one, and they are attached to all of the fatty acids.
D) include sphingosine with a phosphate attached to it, and an alcohol residue.
A) have three alcohol residues that replace the fatty acid residues.
B) have one phosphate, but it is attached to the fatty acid residue, not the glycerol.
C) have three phosphates, not one, and they are attached to all of the fatty acids.
D) include sphingosine with a phosphate attached to it, and an alcohol residue.
Unlock Deck
Unlock for access to all 90 flashcards in this deck.
Unlock Deck
k this deck
30
The lipid that is a cell surface receptor for hormones and drugs is a
A) glycerophopholipid.
B) ganglioside.
C) sphingomyelin.
D) cerebroside.
A) glycerophopholipid.
B) ganglioside.
C) sphingomyelin.
D) cerebroside.
Unlock Deck
Unlock for access to all 90 flashcards in this deck.
Unlock Deck
k this deck
31
Lecithin is found in egg whites and can be used as an emulsifying agent to keep mayonnaise from separating. Lecithin is classified as a ___.
A) phospholipid
B) wax
C) steroid
D) glycolipid
A) phospholipid
B) wax
C) steroid
D) glycolipid
Unlock Deck
Unlock for access to all 90 flashcards in this deck.
Unlock Deck
k this deck
32
Sphingomyelins are found in ___.
A) waxes
B) egg whites
C) skin cells
D) nerve cell membranes
A) waxes
B) egg whites
C) skin cells
D) nerve cell membranes
Unlock Deck
Unlock for access to all 90 flashcards in this deck.
Unlock Deck
k this deck
33
How many products are obtained when the phospholipid below is saponified? 
A) 2
B) 5
C) 3
D) 6

A) 2
B) 5
C) 3
D) 6
Unlock Deck
Unlock for access to all 90 flashcards in this deck.
Unlock Deck
k this deck
34
The structure shown below represents which of the following? 
A) sphingosine
B) glycerophospholipid
C) triglyceride
D) sphingoglycolipid

A) sphingosine
B) glycerophospholipid
C) triglyceride
D) sphingoglycolipid
Unlock Deck
Unlock for access to all 90 flashcards in this deck.
Unlock Deck
k this deck
35
The structure shown below represents which of the following? 
A) sphingophospholipid
B) shingoglycolipid
C) glycerophospholipid
D) disaccharide

A) sphingophospholipid
B) shingoglycolipid
C) glycerophospholipid
D) disaccharide
Unlock Deck
Unlock for access to all 90 flashcards in this deck.
Unlock Deck
k this deck
36
The structure shown below is the skeletal structure of a ___. 
A) wax
B) triglyceride
C) phospholipid
D) steroid

A) wax
B) triglyceride
C) phospholipid
D) steroid
Unlock Deck
Unlock for access to all 90 flashcards in this deck.
Unlock Deck
k this deck
37
The steroid that is the raw material for the production of other steroids is
A) triglyceride.
B) cholesterol.
C) progesterone.
D) eicosanoid.
A) triglyceride.
B) cholesterol.
C) progesterone.
D) eicosanoid.
Unlock Deck
Unlock for access to all 90 flashcards in this deck.
Unlock Deck
k this deck
38
The hormone that is the starting point for the production of the adrenocorticoid hormones and testosterone is
A) progesterone.
B) estrogen.
C) cholesterol.
D) chylomicrons.
A) progesterone.
B) estrogen.
C) cholesterol.
D) chylomicrons.
Unlock Deck
Unlock for access to all 90 flashcards in this deck.
Unlock Deck
k this deck
39
Which of the following is released from the gallbladder into the small intestine to aid digestion by dispersing dietary lipids into fine emulsions?
A) Bile salts
B) cholesterol
C) eicosanoids
D) phospholipids
A) Bile salts
B) cholesterol
C) eicosanoids
D) phospholipids
Unlock Deck
Unlock for access to all 90 flashcards in this deck.
Unlock Deck
k this deck
40
Cholesterol contains nonpolar rings and hydrocarbon chains, and also has an alcohol group (-OH). Which statement below is correct?
A) The molecule is totally hydrophobic.
B) Most of the molecule is hydrophobic with the -OH being hydrophilic.
C) The molecule is totally hydrophilic.
D) Cholesterol molecules would line up with the alcohol group attracted by the rings.
A) The molecule is totally hydrophobic.
B) Most of the molecule is hydrophobic with the -OH being hydrophilic.
C) The molecule is totally hydrophilic.
D) Cholesterol molecules would line up with the alcohol group attracted by the rings.
Unlock Deck
Unlock for access to all 90 flashcards in this deck.
Unlock Deck
k this deck
41
Which of the following compounds share the steroid ring structure?
A) cholesterol and phospholipids
B) phospholipids and arachidonic acid
C) arachidonic acid and bile salts
D) bile salts and cholesterol
A) cholesterol and phospholipids
B) phospholipids and arachidonic acid
C) arachidonic acid and bile salts
D) bile salts and cholesterol
Unlock Deck
Unlock for access to all 90 flashcards in this deck.
Unlock Deck
k this deck
42
Anabolic steroids can cause some serious health problems including
A) reduced circulation to the brain and liver.
B) muscle atrophy and blocked arteries.
C) high blood pressure and testicular atrophy.
D) the interruption of nerve impulses and reduced intestinal function.
A) reduced circulation to the brain and liver.
B) muscle atrophy and blocked arteries.
C) high blood pressure and testicular atrophy.
D) the interruption of nerve impulses and reduced intestinal function.
Unlock Deck
Unlock for access to all 90 flashcards in this deck.
Unlock Deck
k this deck
43
The thromboxanes are
A) anabolics that may be involved in increasing blood pressure.
B) eicosanoids that are involved in blood clotting.
C) adrenocroticoids that aid in the activation of sex hormones.
D) lipids that have the capacity to cause membranes to grow.
A) anabolics that may be involved in increasing blood pressure.
B) eicosanoids that are involved in blood clotting.
C) adrenocroticoids that aid in the activation of sex hormones.
D) lipids that have the capacity to cause membranes to grow.
Unlock Deck
Unlock for access to all 90 flashcards in this deck.
Unlock Deck
k this deck
44
___ is the eicosanoid involved in blood clotting.
A) Prostaglandin
B) Leukotriene
C) Progesterone
D) Thromboxane
A) Prostaglandin
B) Leukotriene
C) Progesterone
D) Thromboxane
Unlock Deck
Unlock for access to all 90 flashcards in this deck.
Unlock Deck
k this deck
45
___ is the eicosanoid involved in muscle contractions.
A) Prostaglandin
B) Leukotriene
C) Progesterone
D) Thromboxane
A) Prostaglandin
B) Leukotriene
C) Progesterone
D) Thromboxane
Unlock Deck
Unlock for access to all 90 flashcards in this deck.
Unlock Deck
k this deck
46
Nonsteroidal anti-inflammatory drugs (NSAIDS) block the actions of the COX enzymes and their production of eicosanoids from ___.
A) steroids
B) arachidonic acid
C) sphingolipids
D) phospholipids
A) steroids
B) arachidonic acid
C) sphingolipids
D) phospholipids
Unlock Deck
Unlock for access to all 90 flashcards in this deck.
Unlock Deck
k this deck
47
The lipid hormones that are derived from arachidonic acid are the ___.
A) arachidonics
B) eicosanoids
C) adrenocorticoid hormones
D) sex hormones
A) arachidonics
B) eicosanoids
C) adrenocorticoid hormones
D) sex hormones
Unlock Deck
Unlock for access to all 90 flashcards in this deck.
Unlock Deck
k this deck
48
Which compounds are responsible for causing pain and inflammation?
A) anabolic steroids
B) adrenocorticoids
C) prostaglandins
D) leukotrienes
A) anabolic steroids
B) adrenocorticoids
C) prostaglandins
D) leukotrienes
Unlock Deck
Unlock for access to all 90 flashcards in this deck.
Unlock Deck
k this deck
49
Which of the following lipids is not derived from cholesterol?
A) progesterone
B) thromboxane
C) cortisol
D) testosterone
A) progesterone
B) thromboxane
C) cortisol
D) testosterone
Unlock Deck
Unlock for access to all 90 flashcards in this deck.
Unlock Deck
k this deck
50
Eicosanoids are hormones derived from arachidonic acid. Which is not an eicosanoid?
A) prostaglandin
B) leukotriene
C) progesterone
D) thromboxane
A) prostaglandin
B) leukotriene
C) progesterone
D) thromboxane
Unlock Deck
Unlock for access to all 90 flashcards in this deck.
Unlock Deck
k this deck
51
What is the function of nonsteroidal anti-inflammatory drugs (NSAID)?
A) To interrupt the production of prostaglandins from arachidonic acid.
B) To interfere with the production of anabolic steroids.
C) To facilitate the production of cyclooxygenase.
D) To stimulate the production of leukotrienes.
A) To interrupt the production of prostaglandins from arachidonic acid.
B) To interfere with the production of anabolic steroids.
C) To facilitate the production of cyclooxygenase.
D) To stimulate the production of leukotrienes.
Unlock Deck
Unlock for access to all 90 flashcards in this deck.
Unlock Deck
k this deck
52
The fluid mosaic model proposes that
A) membranes can move like a fluid.
B) proteins are embedded into the cell membrane.
C) materials that are fluid move across a membrane.
D) the composition of membranes includes a mosaic fluid.
A) membranes can move like a fluid.
B) proteins are embedded into the cell membrane.
C) materials that are fluid move across a membrane.
D) the composition of membranes includes a mosaic fluid.
Unlock Deck
Unlock for access to all 90 flashcards in this deck.
Unlock Deck
k this deck
53
Suppose a highly positive ion was attracted to a membrane. At what location would that most likely occur?
A) the head of a lipid
B) the tail of a lipid
C) the nonpolar portion of a protein
D) the double bond located within a lipid
A) the head of a lipid
B) the tail of a lipid
C) the nonpolar portion of a protein
D) the double bond located within a lipid
Unlock Deck
Unlock for access to all 90 flashcards in this deck.
Unlock Deck
k this deck
54
Some molecules and ions are transported across a membrane via ___, which requires energy.
A) osmosis
B) diffusion
C) facillitated diffusion
D) active transport
A) osmosis
B) diffusion
C) facillitated diffusion
D) active transport
Unlock Deck
Unlock for access to all 90 flashcards in this deck.
Unlock Deck
k this deck
55
Active transport, a function of membranes,
A) requires an input of energy.
B) moves amino acids and small ions across the membrane.
C) requires an input of energy and moves amino acids and small ions across the membrane.
D) None of these choices.
A) requires an input of energy.
B) moves amino acids and small ions across the membrane.
C) requires an input of energy and moves amino acids and small ions across the membrane.
D) None of these choices.
Unlock Deck
Unlock for access to all 90 flashcards in this deck.
Unlock Deck
k this deck
56
Saturated fatty acids have lower melting points than unsaturated fatty acids with the same number of carbon atoms.
Unlock Deck
Unlock for access to all 90 flashcards in this deck.
Unlock Deck
k this deck
57
All commonly occurring fatty acids contain trans alkene groups.
Unlock Deck
Unlock for access to all 90 flashcards in this deck.
Unlock Deck
k this deck
58
Trans fats are produced during the hydrogenation of fats and oils.
Unlock Deck
Unlock for access to all 90 flashcards in this deck.
Unlock Deck
k this deck
59
Sphingolipids are a class of phospholipids.
Unlock Deck
Unlock for access to all 90 flashcards in this deck.
Unlock Deck
k this deck
60
Sphingolipids are amphipathic hydrolysable lipids based on glycerol.
Unlock Deck
Unlock for access to all 90 flashcards in this deck.
Unlock Deck
k this deck
61
Testosterone is produced from arachidonic acid.
Unlock Deck
Unlock for access to all 90 flashcards in this deck.
Unlock Deck
k this deck
62
Low density lipoproteins (LDLs) transport cholesterol and phospholipids from the liver to the cells.
Unlock Deck
Unlock for access to all 90 flashcards in this deck.
Unlock Deck
k this deck
63
Adrenocorticoid hormones are produced from cholesterol.
Unlock Deck
Unlock for access to all 90 flashcards in this deck.
Unlock Deck
k this deck
64
Bile acids are attached to glycerol backbone by ester bonds.
Unlock Deck
Unlock for access to all 90 flashcards in this deck.
Unlock Deck
k this deck
65
Membranes are composed entirely of phospholipids; this factor explains the ease with which facilitated diffusion functions.
Unlock Deck
Unlock for access to all 90 flashcards in this deck.
Unlock Deck
k this deck
66
The hydrophobic end of a phospholipid is the ___ end.
Unlock Deck
Unlock for access to all 90 flashcards in this deck.
Unlock Deck
k this deck
67
___ are used by both plants and animals as waterproofing.
Unlock Deck
Unlock for access to all 90 flashcards in this deck.
Unlock Deck
k this deck
68
___ fats form when vegetable oil, which contain cis-double bonds, undergoes partial hydrogenation.
Unlock Deck
Unlock for access to all 90 flashcards in this deck.
Unlock Deck
k this deck
69
A phospholipid contains a total of ___ fatty acid residues.
Unlock Deck
Unlock for access to all 90 flashcards in this deck.
Unlock Deck
k this deck
70
Glucose is a simple sugar used in the structure of the ___, a class of lipids that includes the cerebrosides.
Unlock Deck
Unlock for access to all 90 flashcards in this deck.
Unlock Deck
k this deck
71
The LDL/HDL ratio should be less than ___ to avoid those problems inherent with high cholesterol.
Unlock Deck
Unlock for access to all 90 flashcards in this deck.
Unlock Deck
k this deck
72
The ___ steroids are associated with growth.
Unlock Deck
Unlock for access to all 90 flashcards in this deck.
Unlock Deck
k this deck
73
___ is the eicosanoid involved in causing pain, inflammation and affects blood pressure.
Unlock Deck
Unlock for access to all 90 flashcards in this deck.
Unlock Deck
k this deck
74
Matching
-Mixtures of water insoluble compounds including esters, alcohols, and alkanes.
A) emulsifier
B) facilitated diffusion
C) lecithin
D) leukotriene
E) eicosanoid
F) active transport
G) wax
H) prostaglandin
I) cerebroside
J) saponification
-Mixtures of water insoluble compounds including esters, alcohols, and alkanes.
A) emulsifier
B) facilitated diffusion
C) lecithin
D) leukotriene
E) eicosanoid
F) active transport
G) wax
H) prostaglandin
I) cerebroside
J) saponification
Unlock Deck
Unlock for access to all 90 flashcards in this deck.
Unlock Deck
k this deck
75
Matching
-Reaction that produces glycerol and fatty acid salts from triglycerides.
A) emulsifier
B) facilitated diffusion
C) lecithin
D) leukotriene
E) eicosanoid
F) active transport
G) wax
H) prostaglandin
I) cerebroside
J) saponification
-Reaction that produces glycerol and fatty acid salts from triglycerides.
A) emulsifier
B) facilitated diffusion
C) lecithin
D) leukotriene
E) eicosanoid
F) active transport
G) wax
H) prostaglandin
I) cerebroside
J) saponification
Unlock Deck
Unlock for access to all 90 flashcards in this deck.
Unlock Deck
k this deck
76
Matching
-Substance that can make or stabilize water insoluble substances as colloids.
A) emulsifier
B) facilitated diffusion
C) lecithin
D) leukotriene
E) eicosanoid
F) active transport
G) wax
H) prostaglandin
I) cerebroside
J) saponification
-Substance that can make or stabilize water insoluble substances as colloids.
A) emulsifier
B) facilitated diffusion
C) lecithin
D) leukotriene
E) eicosanoid
F) active transport
G) wax
H) prostaglandin
I) cerebroside
J) saponification
Unlock Deck
Unlock for access to all 90 flashcards in this deck.
Unlock Deck
k this deck
77
Matching
-An emulsifying agent found in egg white.
A) emulsifier
B) facilitated diffusion
C) lecithin
D) leukotriene
E) eicosanoid
F) active transport
G) wax
H) prostaglandin
I) cerebroside
J) saponification
-An emulsifying agent found in egg white.
A) emulsifier
B) facilitated diffusion
C) lecithin
D) leukotriene
E) eicosanoid
F) active transport
G) wax
H) prostaglandin
I) cerebroside
J) saponification
Unlock Deck
Unlock for access to all 90 flashcards in this deck.
Unlock Deck
k this deck
78
Matching
-Glycolipid found at nerve synapses.
A) emulsifier
B) facilitated diffusion
C) lecithin
D) leukotriene
E) eicosanoid
F) active transport
G) wax
H) prostaglandin
I) cerebroside
J) saponification
-Glycolipid found at nerve synapses.
A) emulsifier
B) facilitated diffusion
C) lecithin
D) leukotriene
E) eicosanoid
F) active transport
G) wax
H) prostaglandin
I) cerebroside
J) saponification
Unlock Deck
Unlock for access to all 90 flashcards in this deck.
Unlock Deck
k this deck
79
Matching
-Eicosanoid that causes pain and inflammation.
A) emulsifier
B) facilitated diffusion
C) lecithin
D) leukotriene
E) eicosanoid
F) active transport
G) wax
H) prostaglandin
I) cerebroside
J) saponification
-Eicosanoid that causes pain and inflammation.
A) emulsifier
B) facilitated diffusion
C) lecithin
D) leukotriene
E) eicosanoid
F) active transport
G) wax
H) prostaglandin
I) cerebroside
J) saponification
Unlock Deck
Unlock for access to all 90 flashcards in this deck.
Unlock Deck
k this deck
80
Matching
-Eicosanoid that is responsible for muscle contraction.
A) emulsifier
B) facilitated diffusion
C) lecithin
D) leukotriene
E) eicosanoid
F) active transport
G) wax
H) prostaglandin
I) cerebroside
J) saponification
-Eicosanoid that is responsible for muscle contraction.
A) emulsifier
B) facilitated diffusion
C) lecithin
D) leukotriene
E) eicosanoid
F) active transport
G) wax
H) prostaglandin
I) cerebroside
J) saponification
Unlock Deck
Unlock for access to all 90 flashcards in this deck.
Unlock Deck
k this deck

