Deck 21: Amines
Question
Question
Question
Question
Question
Question
Question
Question
Question
Question
Question
Question
Unlock Deck
Sign up to unlock the cards in this deck!
Unlock Deck
Unlock Deck
1/12
Play
Full screen (f)
Deck 21: Amines
1
Which of the following is the correct IUPAC name of the compound shown below?
A) 1,2-dichloro-4-( -dimethyl)aniline
B) dimethyl-(3,4-dichlorophenyl)amine
C) 3,4-dichloro- -dimethylaniline
D) N,N-dimethylamino-3,4-dichlorobenzene
A) 1,2-dichloro-4-( -dimethyl)aniline
B) dimethyl-(3,4-dichlorophenyl)amine
C) 3,4-dichloro- -dimethylaniline
D) N,N-dimethylamino-3,4-dichlorobenzene
3,4-dichloro- -dimethylaniline
2
Rank the following three compounds in order of decreasing acidity.

A) II III I
B) II I III
C) III I II
D) III II I

A) II III I
B) II I III
C) III I II
D) III II I
II I III
3
Which of the following is the product of the reaction shown below?
![<strong>Which of the following is the product of the reaction shown below? </strong> A) \left(\mathrm{CH}_{3}\right)_{2} \mathrm{CHCH}_{2} \mathrm{CH}_{2} \mathrm{NHNH}_{2} B) \left(\mathrm{CH}_{3}\right)_{2} \mathrm{CHCH}_{2} \mathrm{CH}_{2} \mathrm{NH}_{2} C) \left[\left(\mathrm{CH}_{3}\right)_{2} \mathrm{CHCH}_{2} \mathrm{CH}_{2}\right]_{2} \mathrm{NH} D) \left(\mathrm{CH}_{3}\right)_{2} \mathrm{CHCH}_{2} \mathrm{CH}_{2} \mathrm{CONH}_{2}](https://d2lvgg3v3hfg70.cloudfront.net/TB10580/11eeda09_28be_3a06_87de_5d49024e8cc0_TB10580_00.jpg)
A)
B)
C)
D)
![<strong>Which of the following is the product of the reaction shown below? </strong> A) \left(\mathrm{CH}_{3}\right)_{2} \mathrm{CHCH}_{2} \mathrm{CH}_{2} \mathrm{NHNH}_{2} B) \left(\mathrm{CH}_{3}\right)_{2} \mathrm{CHCH}_{2} \mathrm{CH}_{2} \mathrm{NH}_{2} C) \left[\left(\mathrm{CH}_{3}\right)_{2} \mathrm{CHCH}_{2} \mathrm{CH}_{2}\right]_{2} \mathrm{NH} D) \left(\mathrm{CH}_{3}\right)_{2} \mathrm{CHCH}_{2} \mathrm{CH}_{2} \mathrm{CONH}_{2}](https://d2lvgg3v3hfg70.cloudfront.net/TB10580/11eeda09_28be_3a06_87de_5d49024e8cc0_TB10580_00.jpg)
A)
B)
C)
D)
4
Which pair of reagents would be used to make the following amine by reductive amination?
A) methylamine and 2-methylbutanoic acid
B) methylamine and 2-methylbutanal
C) ammonia and 3-methyl-2-pentanone
D) dimethylamine and 2-butanone
A) methylamine and 2-methylbutanoic acid
B) methylamine and 2-methylbutanal
C) ammonia and 3-methyl-2-pentanone
D) dimethylamine and 2-butanone
Unlock Deck
Unlock for access to all 12 flashcards in this deck.
Unlock Deck
k this deck
5
Which one of the following compounds gives propylamine, , upon hydrolysis?
A)

B)
C)

D)
A)

B)
C)

D)

Unlock Deck
Unlock for access to all 12 flashcards in this deck.
Unlock Deck
k this deck
6
Which one of the following does not give -ethylcyclopentylamine as the major product?
A)

B)

C)

D)
A)

B)

C)

D)

Unlock Deck
Unlock for access to all 12 flashcards in this deck.
Unlock Deck
k this deck
7
What is the product of the following reaction?

A) 3,5-dimethyl-4-nitrophenol
B) 1,3-dimethyl-5-nitrobenzene
C) meta-xylene (meta-dimethybenzene)
D) 3,5-dimethylphenol

A) 3,5-dimethyl-4-nitrophenol
B) 1,3-dimethyl-5-nitrobenzene
C) meta-xylene (meta-dimethybenzene)
D) 3,5-dimethylphenol
Unlock Deck
Unlock for access to all 12 flashcards in this deck.
Unlock Deck
k this deck
8
Which of the following would be the starting reagents needed to make the azo compound shown below? 
A) A
B) B
C) p-ethylaniline + phenol
D) aniline -ethylphenol

A) A
B) B
C) p-ethylaniline + phenol
D) aniline -ethylphenol
Unlock Deck
Unlock for access to all 12 flashcards in this deck.
Unlock Deck
k this deck
9
What is the product of the reaction series shown below?
A) I
B) II
C) III
D) IV
A) I
B) II
C) III
D) IV
Unlock Deck
Unlock for access to all 12 flashcards in this deck.
Unlock Deck
k this deck
10
What is the major product of the reaction sequence below?

A)

B)

C)
D)


A)

B)

C)
D)

Unlock Deck
Unlock for access to all 12 flashcards in this deck.
Unlock Deck
k this deck
11
What is the product of the following reaction?

A)

B)

C)

D)


A)

B)

C)

D)

Unlock Deck
Unlock for access to all 12 flashcards in this deck.
Unlock Deck
k this deck
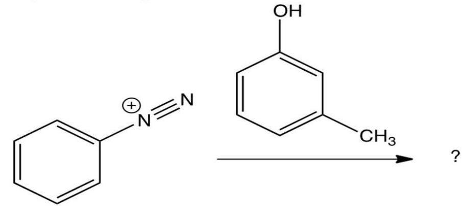
12
What product is expected from this reaction?


A)

B)

C)

D)



A)

B)

C)

D)

Unlock Deck
Unlock for access to all 12 flashcards in this deck.
Unlock Deck
k this deck

