Deck 23: Lipids
Question
Question
Question
Question
Question
Question
Question
Question
Question
Question
Unlock Deck
Sign up to unlock the cards in this deck!
Unlock Deck
Unlock Deck
1/10
Play
Full screen (f)
Deck 23: Lipids
1
Fats are ___ that are ___ at room temperature. In general, oils are more ___ than the corresponding fat.
A) fatty acids, liquids, saturated
B) fatty acids, solids, unsaturated
C) triacylglycerols, liquids, saturated
D) triacylglycerols, solids, unsaturated
A) fatty acids, liquids, saturated
B) fatty acids, solids, unsaturated
C) triacylglycerols, liquids, saturated
D) triacylglycerols, solids, unsaturated
triacylglycerols, solids, unsaturated
2
If a fatty acid has 1 or more double bonds it is called a(n) ___ lipid.
A) saturated
B) unsaturated
C) monounsaturated
D) polyunsaturated
A) saturated
B) unsaturated
C) monounsaturated
D) polyunsaturated
unsaturated
3
What is the correct name of the following fatty acid? 
A) (5E,8Z,11Z)-5,8,11-tetradecatetraenoic acid
B) (5Z,8E,11E)-5,8,11-tetradecatetraenoic acid
C) (6E,9Z,12Z)-6,9,12-tetradecatetraenoic acid

A) (5E,8Z,11Z)-5,8,11-tetradecatetraenoic acid
B) (5Z,8E,11E)-5,8,11-tetradecatetraenoic acid
C) (6E,9Z,12Z)-6,9,12-tetradecatetraenoic acid
(5E,8Z,11Z)-5,8,11-tetradecatetraenoic acid
4
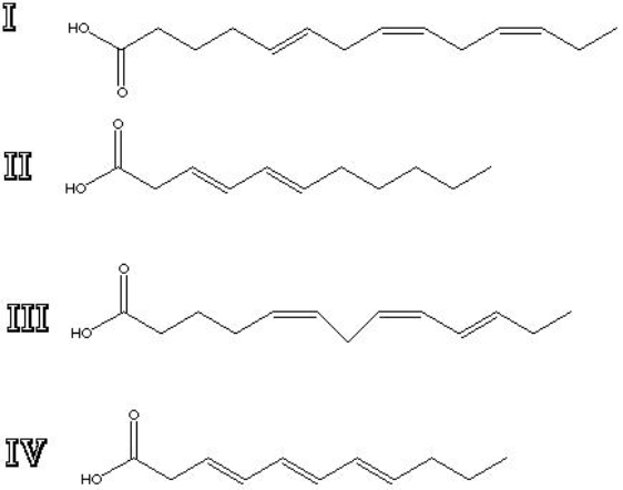
Which of the following are omega-3 fatty acids? 
A) I
B) II
C) III
D) IV
E) I and III
F) II and IV

A) I
B) II
C) III
D) IV
E) I and III
F) II and IV
Unlock Deck
Unlock for access to all 10 flashcards in this deck.
Unlock Deck
k this deck
5
Which of the following are omega-6 fatty acids? 
A) I
B) II
C) III
D) IV
E) I and II
F) III and IV

A) I
B) II
C) III
D) IV
E) I and II
F) III and IV
Unlock Deck
Unlock for access to all 10 flashcards in this deck.
Unlock Deck
k this deck
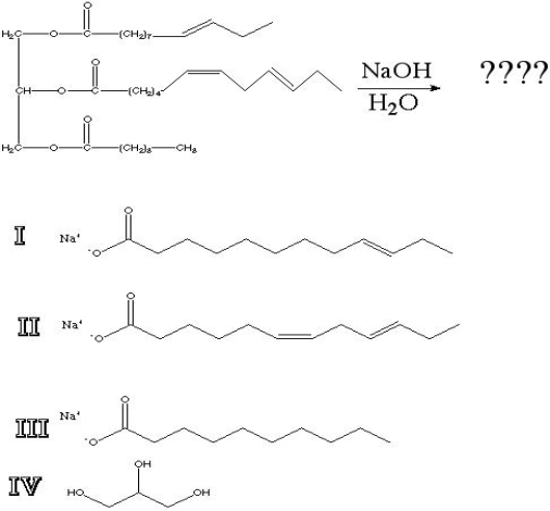
6
What is the product of the following reaction? 
A) I
B) II
C) III
D) IV
E) none of them
F) all of them

A) I
B) II
C) III
D) IV
E) none of them
F) all of them
Unlock Deck
Unlock for access to all 10 flashcards in this deck.
Unlock Deck
k this deck
7
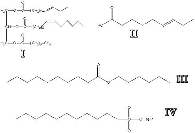
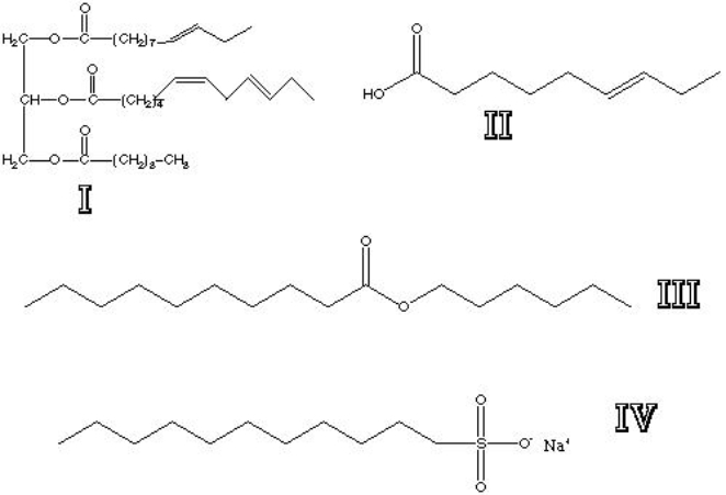
Which of the following are or contain fatty acids? 
A) I
B) II
C) III
D) IV
E) I and II
F) I, II and III
G) II, III and IV

A) I
B) II
C) III
D) IV
E) I and II
F) I, II and III
G) II, III and IV
Unlock Deck
Unlock for access to all 10 flashcards in this deck.
Unlock Deck
k this deck
8
Which of the following are soap or detergent molecules? 
A) I
B) II
C) III
D) IV
E) I and II
F) I, II and III
G) II, III and IV

A) I
B) II
C) III
D) IV
E) I and II
F) I, II and III
G) II, III and IV
Unlock Deck
Unlock for access to all 10 flashcards in this deck.
Unlock Deck
k this deck
9
Which of the following are steroid derivatives?
A) cholesterol
B) vitamin D
C) cortisone
D) testosterone
E) all of the above
F) none of the above
A) cholesterol
B) vitamin D
C) cortisone
D) testosterone
E) all of the above
F) none of the above
Unlock Deck
Unlock for access to all 10 flashcards in this deck.
Unlock Deck
k this deck
10
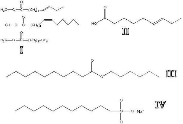
Which of the following are waxes? 
A) I
B) II
C) III
D) IV
E) I and II
F) I, II and III
G) II, III and IV

A) I
B) II
C) III
D) IV
E) I and II
F) I, II and III
G) II, III and IV
Unlock Deck
Unlock for access to all 10 flashcards in this deck.
Unlock Deck
k this deck

