Deck 9: Properties and Pricing of Financial Assets
Question
Question
Question
Question
Question
Question
Question
Question
Question
Question
Question
Question
Question
Question
Question
Question
Question
Question
Question
Question
Question
Question
Question
Question
Question
Question
Question
Question
Question
Question
Question
Question
Question
Question
Question
Question
Question
Question
Question
Question
Question
Question
Question
Question
Question
Question
Question
Question
Question
Question
Unlock Deck
Sign up to unlock the cards in this deck!
Unlock Deck
Unlock Deck
1/50
Play
Full screen (f)
Deck 9: Properties and Pricing of Financial Assets
1
Suppose the cash flows for a bond's coupon payment for years 1 through 4 are $100. That is, CFt = $100 for t (t = 1, ... ,4). Further assume the the discount rate is 9.00% and at the end of year the bond will pay back the bond's par value of $1,000. To the nearest dollar, what is the correct price for this bond?
A) $866
B) $932
C) $1,012
D) $1,032
A) $866
B) $932
C) $1,012
D) $1,032
D
2
A ________ asset is one that provides options for the issuer or the investor, or both, and so represents a combination of simpler assets.
A) complex
B) taxable
C) predictable and divisible
D) liquid
A) complex
B) taxable
C) predictable and divisible
D) liquid
A
3
Suppose the cash flows for a financial asset's payment for years 1 through 5 are $90. That is, CFt = $90 for t (t = 1, ... ,5). Further assume the the discount rate is 7.00% and at the end of the five years that the financial asset will pay back $1,000 in addition to the $90. Finally, assume a broker's commission of $40 is imposed by brokers to buy or sell the financial asset and that a government entity imposes a transfer tax of $25 on each transaction. To the nearest dollar, what is the correct price for this financial asset?
A) $962
B) $971
C) $986
D) $1,002
A) $962
B) $971
C) $986
D) $1,002
B
4
Assume that the market thinks the real rate is 2.00%, the inflation premium is 2.70%, the bond's default risk justifies a premium of 2.10%, the maturity premium is 0.50%, and the liquidity premium is 1.10%. Since the cash flows are denominated in euros, the foreign-exchange rate premium is 1.50%. What is the discount rate?
A) 8.90%
B) 9.70%
C) 9.90%
D) None of these
A) 8.90%
B) 9.70%
C) 9.90%
D) None of these
Unlock Deck
Unlock for access to all 50 flashcards in this deck.
Unlock Deck
k this deck
5
________ relates to the minimum size in which a financial asset can be liquidated and exchanged for money.
A) Reversibility
B) Denomination
C) Convertibility
D) Divisibility
A) Reversibility
B) Denomination
C) Convertibility
D) Divisibility
Unlock Deck
Unlock for access to all 50 flashcards in this deck.
Unlock Deck
k this deck
6
The ________, the greater the probability of the market maker ________ in excess of a stated bound between the time of buying and reselling the financial asset.
A) greater the variability; incurring a loss
B) lesser the variability; incurring a loss
C) lesser the variability; incurring a large gain
D) greater the variability; incurring no loss or gain
A) greater the variability; incurring a loss
B) lesser the variability; incurring a loss
C) lesser the variability; incurring a large gain
D) greater the variability; incurring no loss or gain
Unlock Deck
Unlock for access to all 50 flashcards in this deck.
Unlock Deck
k this deck
7
Suppose that a bond is granted a favorable tax treatment such that the interest and any capital gain from this bond would not be taxed. Suppose that the marginal tax rate on otherwise equivalent taxable bonds is 25% and the appropriate discount rate is 7%. What is the after-tax discount rate?
A) 5.25%
B) 5.35%
C) 5.65%
D) 5.75%
A) 5.25%
B) 5.35%
C) 5.65%
D) 5.75%
Unlock Deck
Unlock for access to all 50 flashcards in this deck.
Unlock Deck
k this deck
8
DP is the default risk premium, which is the ________.
A) reward for investing in an asset that may not be readily converted to cash at a fair market value.
B) reward for taking on the risk of default in the case of a loan or bond or the risk of loss of principal for other assets.
C) compensation for lending money for long periods of time.
D) reward for investing in an asset that is not denominated in the investor's home currency.
A) reward for investing in an asset that may not be readily converted to cash at a fair market value.
B) reward for taking on the risk of default in the case of a loan or bond or the risk of loss of principal for other assets.
C) compensation for lending money for long periods of time.
D) reward for investing in an asset that is not denominated in the investor's home currency.
Unlock Deck
Unlock for access to all 50 flashcards in this deck.
Unlock Deck
k this deck
9
Suppose the cash flows for a financial asset's payment for years 1 through 5 are $80. That is, CFt = $80 for t (t = 1, ... ,5). Further assume the the discount rate is 8.00% and at the end of the five years that the financial asset will pay back $1,000 in addition to the $80. Finally, assume a broker's commission of $30 is imposed by brokers to buy or sell the financial asset and that a government entity imposes a transfer tax of $20 on each transaction. To the nearest dollar, what is the correct price for this financial asset?
A) $912
B) $914
C) $916
D) $918
A) $912
B) $914
C) $916
D) $918
Unlock Deck
Unlock for access to all 50 flashcards in this deck.
Unlock Deck
k this deck
10
Which of the below is NOT one of the eleven properties of financial assets?
A) convertibility
B) currency
C) liquidity predictability
D) tax status
A) convertibility
B) currency
C) liquidity predictability
D) tax status
Unlock Deck
Unlock for access to all 50 flashcards in this deck.
Unlock Deck
k this deck
11
Which of the below statements is TRUE?
A) "Near money" is a financial asset that is used as a medium of exchange or in settlement of transactions.
B) In the United States, money consists of currency and a very few forms of deposits that permit check writing.
C) "Near money" is very close to "money" in that it can be transformed into money at little cost, delay, or risk.
D) "Faraway money", in the case of the United States, includes (i) time and savings deposits and (ii) a security issued by the U.S. government called a Treasury bill.
A) "Near money" is a financial asset that is used as a medium of exchange or in settlement of transactions.
B) In the United States, money consists of currency and a very few forms of deposits that permit check writing.
C) "Near money" is very close to "money" in that it can be transformed into money at little cost, delay, or risk.
D) "Faraway money", in the case of the United States, includes (i) time and savings deposits and (ii) a security issued by the U.S. government called a Treasury bill.
Unlock Deck
Unlock for access to all 50 flashcards in this deck.
Unlock Deck
k this deck
12
Return ________ is a basic property of financial assets, in that it is a major determinant of their value.
A) convertibility
B) divisibility
C) predictability
D) complexity
A) convertibility
B) divisibility
C) predictability
D) complexity
Unlock Deck
Unlock for access to all 50 flashcards in this deck.
Unlock Deck
k this deck
13
The appropriate discount rate, r, is the return that the market or the consensus of investors requires on the asset. A convenient (but approximate) expression for the appropriate discount rate is this: r = RR + IP + DP + MP + LP + EPP where ________.
A) IP= the real rate of interest, which is the reward for not consuming and for lending to other users.
B) MP = the maturity risk premium, which is the reward for taking on the risk of default in the case of a loan or bond or the risk of loss of principal for other assets.
C) LP = the liquidity premium, which is the reward for not consuming and for lending to other users.
D) EP= the exchange-rate risk premium, which is the reward for investing in an asset that is not denominated in the investor's home currency.
A) IP= the real rate of interest, which is the reward for not consuming and for lending to other users.
B) MP = the maturity risk premium, which is the reward for taking on the risk of default in the case of a loan or bond or the risk of loss of principal for other assets.
C) LP = the liquidity premium, which is the reward for not consuming and for lending to other users.
D) EP= the exchange-rate risk premium, which is the reward for investing in an asset that is not denominated in the investor's home currency.
Unlock Deck
Unlock for access to all 50 flashcards in this deck.
Unlock Deck
k this deck
14
Reversibility is referred to as ________.
A) the cost of investing in a financial asset and then getting out of it but not back into cash again.
B) the cost of investing in a financial asset instead of investing in cash.
C) one-way cost
D) turnaround cost
A) the cost of investing in a financial asset and then getting out of it but not back into cash again.
B) the cost of investing in a financial asset instead of investing in cash.
C) one-way cost
D) turnaround cost
Unlock Deck
Unlock for access to all 50 flashcards in this deck.
Unlock Deck
k this deck
15
Suppose the cash flows for a financial asset's payment for years 1 through 4 are $100. That is, CFt = $100 for t (t = 1, ... ,4). Further assume the the discount rate is 8.00% and at the end of four years that the financial asset will pay $1,000 in addition to the $100. Finally, assume a broker's commission of $30 is imposed by brokers to buy or sell the bond. To the nearest dollar, what is the correct price for this financial asset?
A) $1,014
B) $1,000
C) $994
D) None of these
A) $1,014
B) $1,000
C) $994
D) None of these
Unlock Deck
Unlock for access to all 50 flashcards in this deck.
Unlock Deck
k this deck
16
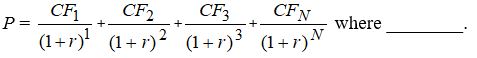
The correct price for a financial asset can be expressed as follows: 
A) P = the price of the cash flow
B) CFt = the financial asset in year t (t = 1, … ,N)
C) N = the maturity of the financial asset
D) r = the appropriate cash rate

A) P = the price of the cash flow
B) CFt = the financial asset in year t (t = 1, … ,N)
C) N = the maturity of the financial asset
D) r = the appropriate cash rate
Unlock Deck
Unlock for access to all 50 flashcards in this deck.
Unlock Deck
k this deck
17
Which of the below are THREE of the eleven properties of financial assets?
A) return predictability, complexity, and tax status
B) convertibility, currency, liquidity
C) liquidity, reversibility, and cash flow
D) money, divisibility, and denomination
A) return predictability, complexity, and tax status
B) convertibility, currency, liquidity
C) liquidity, reversibility, and cash flow
D) money, divisibility, and denomination
Unlock Deck
Unlock for access to all 50 flashcards in this deck.
Unlock Deck
k this deck
18
The return that an investor will realize by holding a financial asset depends on all the ________ that the financial asset will pay its owners; this includes dividends on shares and coupon payments on bonds.
A) stock distributions
B) cash distributions
C) cash convertibility
D) liquid inventories
A) stock distributions
B) cash distributions
C) cash convertibility
D) liquid inventories
Unlock Deck
Unlock for access to all 50 flashcards in this deck.
Unlock Deck
k this deck
19
Which of the below is NOT one of the eleven properties of financial assets?
A) moneyness
B) multiplicity and denomination
C) reversibility
D) cash flow
A) moneyness
B) multiplicity and denomination
C) reversibility
D) cash flow
Unlock Deck
Unlock for access to all 50 flashcards in this deck.
Unlock Deck
k this deck
20
The fundamental principle of finance is that the true or correct price of an asset equals the ________ of all cash flows that the owner of the asset expects to receive during its life.
A) present value
B) future value
C) projected value
D) asset value
A) present value
B) future value
C) projected value
D) asset value
Unlock Deck
Unlock for access to all 50 flashcards in this deck.
Unlock Deck
k this deck
21
Assume the price of a coupon bond is $650. Further assume that if the yield is increased by 50 basis points, then the price would be $620 and if the yield is decreased by 50 basis points, then the price would be $700. What is the duration?
A) about 12.3
B) about 12.8
C) about 13.3
D) about 13.6
A) about 12.3
B) about 12.8
C) about 13.3
D) about 13.6
Unlock Deck
Unlock for access to all 50 flashcards in this deck.
Unlock Deck
k this deck
22
A fundamental principle is that a financial asset's price changes in ________.
A) the same direction of the change in the required rate of return.
B) the same direction of the change in the required yield.
C) unknown and unpredictable ways compared to the change in the required yield.
D) the opposite direction of the change in the required rate of return or the required yield.
A) the same direction of the change in the required rate of return.
B) the same direction of the change in the required yield.
C) unknown and unpredictable ways compared to the change in the required yield.
D) the opposite direction of the change in the required rate of return or the required yield.
Unlock Deck
Unlock for access to all 50 flashcards in this deck.
Unlock Deck
k this deck
23
This measure of price sensitivity is popularly referred to as ________.
A) basis point sensitivity.
B) value sentiment.
C) duration.
D) saturation.
A) basis point sensitivity.
B) value sentiment.
C) duration.
D) saturation.
Unlock Deck
Unlock for access to all 50 flashcards in this deck.
Unlock Deck
k this deck
24
Which of the below statements is FALSE?
A) The importance of being able to measure the sensitivity of an individual asset, a portfolio of assets, and a liability cannot be overemphasized.
B) To control interest rate risk, it is necessary to be able to measure it.
C) An investor with a portfolio of assets wants to be able to measure her exposure to interest rate changes in order to assess whether or not the exposure is acceptable. If it is not, she can alter the exposure.
D) When a duration is calculated under the assumption that the cash flows do not change when interest rates change, the resulting duration is called effective duration.
A) The importance of being able to measure the sensitivity of an individual asset, a portfolio of assets, and a liability cannot be overemphasized.
B) To control interest rate risk, it is necessary to be able to measure it.
C) An investor with a portfolio of assets wants to be able to measure her exposure to interest rate changes in order to assess whether or not the exposure is acceptable. If it is not, she can alter the exposure.
D) When a duration is calculated under the assumption that the cash flows do not change when interest rates change, the resulting duration is called effective duration.
Unlock Deck
Unlock for access to all 50 flashcards in this deck.
Unlock Deck
k this deck
25
An asset's price is the present value of its expected cash flows, discounted at an appropriate rate.
Unlock Deck
Unlock for access to all 50 flashcards in this deck.
Unlock Deck
k this deck
26
Approximate percentage change in a financial asset's price equals what?
A) It equals -Duration x (Yield change in decimal forms) x 100.
B) It equals [-Duration / (Yield change in decimal forms)] x 100.
C) It equals -Duration x [(Yield change in decimal forms) / 100].
D) It equals +Duration x (Yield change in decimal forms) x 100.
A) It equals -Duration x (Yield change in decimal forms) x 100.
B) It equals [-Duration / (Yield change in decimal forms)] x 100.
C) It equals -Duration x [(Yield change in decimal forms) / 100].
D) It equals +Duration x (Yield change in decimal forms) x 100.
Unlock Deck
Unlock for access to all 50 flashcards in this deck.
Unlock Deck
k this deck
27
For two bonds with the same maturity and with the same required yield, the lower the coupon rate, the greater the price responsiveness for a given change in the required yield. This is an example of ________ affecting a bond's price sensitivity.
A) a bond's maturity
B) a bond's coupon rate
C) a bond's principal
D) a change in Fed policy
A) a bond's maturity
B) a bond's coupon rate
C) a bond's principal
D) a change in Fed policy
Unlock Deck
Unlock for access to all 50 flashcards in this deck.
Unlock Deck
k this deck
28
The ________ of a financial asset to a change in the required yield will not be the same for all assets.
A) price indifference
B) price insensitivity
C) price sensitivity
D) cash flow sensitivity
A) price indifference
B) price insensitivity
C) price sensitivity
D) cash flow sensitivity
Unlock Deck
Unlock for access to all 50 flashcards in this deck.
Unlock Deck
k this deck
29
A useful way to think of liquidity and illiquidity, proposed by Professor James Tobin, is in terms of how much sellers stand to lose if they wish to sell immediately as against engaging in a costly and time-consuming search.
Unlock Deck
Unlock for access to all 50 flashcards in this deck.
Unlock Deck
k this deck
30
Although we use a single discount rate to discount each cash flow, there are theoretical reasons that suggest this is ________.
A) not practical.
B) always correct but not practical.
C) suitable.
D) inappropriate.
A) not practical.
B) always correct but not practical.
C) suitable.
D) inappropriate.
Unlock Deck
Unlock for access to all 50 flashcards in this deck.
Unlock Deck
k this deck
31
The conversion privilege of a convertible bond is not valued by the market.
Unlock Deck
Unlock for access to all 50 flashcards in this deck.
Unlock Deck
k this deck
32
Some properties are intrinsic to the asset, such as its maturity or promised cash flow.
Unlock Deck
Unlock for access to all 50 flashcards in this deck.
Unlock Deck
k this deck
33
When we refer to changes in the required yield, it is convenient to measure a change in yield in terms of what market participants refer to as ________.
A) a basis modification rather than a yield modification.
B) a yield modification rather than in terms of a basis modification.
C) a percentage change rather than a basis point.
D) a basis point rather than in terms of a percentage change.
A) a basis modification rather than a yield modification.
B) a yield modification rather than in terms of a basis modification.
C) a percentage change rather than a basis point.
D) a basis point rather than in terms of a percentage change.
Unlock Deck
Unlock for access to all 50 flashcards in this deck.
Unlock Deck
k this deck
34
The price of an asset moves in the same direction of a change in its discount rate.
Unlock Deck
Unlock for access to all 50 flashcards in this deck.
Unlock Deck
k this deck
35
The appropriate ________ can often be approximated as the sum of rewards for the various risks an asset poses to its buyer.
A) reward premium
B) discount rate
C) risk premium
D) coupon rate
A) reward premium
B) discount rate
C) risk premium
D) coupon rate
Unlock Deck
Unlock for access to all 50 flashcards in this deck.
Unlock Deck
k this deck
36
The price of a complex asset is the sum of the prices of its component parts.
Unlock Deck
Unlock for access to all 50 flashcards in this deck.
Unlock Deck
k this deck
37
A financial asset has many properties, and each affects the asset's value in a similar and important way.
Unlock Deck
Unlock for access to all 50 flashcards in this deck.
Unlock Deck
k this deck
38
Tax rates are constant from year to year, from country to country, and even among municipal units within a country (as with state and local taxes in the United States).
Unlock Deck
Unlock for access to all 50 flashcards in this deck.
Unlock Deck
k this deck
39
Suppose that the required yield on a 6% coupon, 12-year bond increases from 10% to 11% (0.01 in decimal form). If this bond's duration is 8.96, what is the approximate percentage change in price?
A) -4.48%
B) +7.48%
C) -8.96%
D) +9.86%
A) -4.48%
B) +7.48%
C) -8.96%
D) +9.86%
Unlock Deck
Unlock for access to all 50 flashcards in this deck.
Unlock Deck
k this deck
40
Which of the below statements is TRUE?
A) Fifty basis points are equal to one-fifth percentage point, and a yield change from 9% to 9.2% represents a 50 basis point change in yield.
B) One basis point is defined as 0.0001, or equivalently, 0.01%.
C) A yield change from 7% to 7.5% is a 0.50 basis point change.
D) A yield change from 6% to 8.35% is a 2,350 basis point change in yield.
A) Fifty basis points are equal to one-fifth percentage point, and a yield change from 9% to 9.2% represents a 50 basis point change in yield.
B) One basis point is defined as 0.0001, or equivalently, 0.01%.
C) A yield change from 7% to 7.5% is a 0.50 basis point change.
D) A yield change from 6% to 8.35% is a 2,350 basis point change in yield.
Unlock Deck
Unlock for access to all 50 flashcards in this deck.
Unlock Deck
k this deck
41
Explain the difference between modified duration and effective duration. In your also give an example of when the difference can be dramatic.
Unlock Deck
Unlock for access to all 50 flashcards in this deck.
Unlock Deck
k this deck
42
An asset's maturity is a factor that affects its price sensitivity to a change in yield. In fact, a bond's price sensitivity to a change in the discount rate is positively related to the bond's maturity. Consider the case of two bonds that have the same coupon rate, and the same required yield but different maturities. If the required rate were to change, the price sensitivity of the bond with the longer maturity would be greater than that of the bond with the shorter maturity. Give an illustration of this.
Unlock Deck
Unlock for access to all 50 flashcards in this deck.
Unlock Deck
k this deck
43
It is important to be able to measure the price sensitivity of an asset or liability to interest rate changes and the appropriate measure is the modified duration.
Unlock Deck
Unlock for access to all 50 flashcards in this deck.
Unlock Deck
k this deck
44
For financial assets traded with market makers, the most relevant component of round-trip cost is the bid-ask spread. The spread charged by a market maker varies sharply from one financial asset to another, reflecting primarily the amount of risk the market maker is assuming by "making" a market. This market-making risk can be related to two main forces. Describe these two forces or determinants of this risk.
Unlock Deck
Unlock for access to all 50 flashcards in this deck.
Unlock Deck
k this deck
45
Suppose that you have a bond issued by a German firm and that all payments are in euros for the maturity of the bond which is four years. Why is the cash flow in U.S. dollars that you will receive as a U.S. investor uncertain? In your answer illustrate the uncertainty in terms of an exchange rate premium and the appropriate discount rate.
Unlock Deck
Unlock for access to all 50 flashcards in this deck.
Unlock Deck
k this deck
46
The term duration was first used in 1938 by Frederick Macaulay as a measure of the weighted average time to maturity of a bond.
Unlock Deck
Unlock for access to all 50 flashcards in this deck.
Unlock Deck
k this deck
47
The larger an asset's coupon rate, the greater its price sensitivity to a change in the discount rate, other things being constant.
Unlock Deck
Unlock for access to all 50 flashcards in this deck.
Unlock Deck
k this deck
48
It should be understood that even a financial asset with a stated maturity may terminate before its stated maturity. This may occur for several reasons. Describe some of these reasons.
Unlock Deck
Unlock for access to all 50 flashcards in this deck.
Unlock Deck
k this deck
49
Factors that influence an asset's price sensitivity include its maturity, its coupon rate, and the initial level of the required yield.
Unlock Deck
Unlock for access to all 50 flashcards in this deck.
Unlock Deck
k this deck
50
Define what we mean by "an appropriate discount rate". Describe four of the six components that make up this rate.
Unlock Deck
Unlock for access to all 50 flashcards in this deck.
Unlock Deck
k this deck

