Deck 9: Firms in Perfectly Competitive Markets
Question
Question
Question
Question
Question
Question
Question
Question
Question
Question
Question
Question
Question
Question
Question
Question
Question
Question
Question
Question
Question
Question
Question
Question
Question
Question
Question
Question
Question
Question
Question
Question
Question
Question
Question
Question
Question
Question
Question
Question
Question
Question
Question
Question
Question
Question
Question
Question
Question
Question
Question
Question
Question
Question
Question
Question
Question
Question
Question
Question
Question
Question
Question
Question
Question
Question
Question
Question
Question
Question
Question
Question
Question
Question
Question
Question
Question
Question
Question
Question
Unlock Deck
Sign up to unlock the cards in this deck!
Unlock Deck
Unlock Deck
1/297
Play
Full screen (f)
Deck 9: Firms in Perfectly Competitive Markets
1
The demand curve for an individual seller's product in perfect competition is
A)the same as market demand.
B)downward sloping.
C)vertical.
D)horizontal.
A)the same as market demand.
B)downward sloping.
C)vertical.
D)horizontal.
horizontal.
2
Which of the following is not a characteristic of a monopolistically competitive market structure?
A)There is a large number of independently acting small sellers.
B)All sellers sell products that are differentiated.
C)There are low barriers to entry of new firms.
D)Each firm must react to actions of other firms.
A)There is a large number of independently acting small sellers.
B)All sellers sell products that are differentiated.
C)There are low barriers to entry of new firms.
D)Each firm must react to actions of other firms.
Each firm must react to actions of other firms.
3
Assume the market for organically-grown produce is perfectly competitive.All else equal,as farmers find it less profitable to produce and sell organic produce in this market
A)the demand curve will shift to the left and the equilibrium price will decrease.
B)the supply curve will shift to the left and the equilibrium price will increase.
C)the supply curve will shift to the right, the demand curve will shift to the left, and the equilibrium price will decrease.
D)the supply curve will shift to the left, the demand curve will shift to the left, and the equilibrium price will increase.
A)the demand curve will shift to the left and the equilibrium price will decrease.
B)the supply curve will shift to the left and the equilibrium price will increase.
C)the supply curve will shift to the right, the demand curve will shift to the left, and the equilibrium price will decrease.
D)the supply curve will shift to the left, the demand curve will shift to the left, and the equilibrium price will increase.
the supply curve will shift to the left and the equilibrium price will increase.
4
Jason,a high-school student,mows lawns for families in his neighborhood.The going rate is $12 for each lawn-mowing service.Jason would like to charge $20 because he believes he has more experience mowing lawns than the many other teenagers who also offer the same service.If the market for lawn mowing services is perfectly competitive,what would happen if Jason raised his price?
A)He would lose some but not all his customers.
B)Initially, his customers might complain but over time they will come to accept the new rate.
C)If Jason raises his price he would lose all his customers.
D)If Jason raises his price, then all others supplying the same service will also raise their prices.
A)He would lose some but not all his customers.
B)Initially, his customers might complain but over time they will come to accept the new rate.
C)If Jason raises his price he would lose all his customers.
D)If Jason raises his price, then all others supplying the same service will also raise their prices.
Unlock Deck
Unlock for access to all 297 flashcards in this deck.
Unlock Deck
k this deck
5
An individual seller in perfect competition will not sell at a price lower than the market price because
A)demand for the product will exceed supply.
B)the seller would start a price war.
C)the seller can sell any quantity she wants at the prevailing market price.
D)demand is perfectly inelastic.
A)demand for the product will exceed supply.
B)the seller would start a price war.
C)the seller can sell any quantity she wants at the prevailing market price.
D)demand is perfectly inelastic.
Unlock Deck
Unlock for access to all 297 flashcards in this deck.
Unlock Deck
k this deck
6
The demand curve for each seller's product in perfect competition is horizontal at the market price because
A)each seller is too small to affect market price.
B)the price is set by the government.
C)all the sellers get together and set the price.
D)all the demanders get together and set the price.
A)each seller is too small to affect market price.
B)the price is set by the government.
C)all the sellers get together and set the price.
D)all the demanders get together and set the price.
Unlock Deck
Unlock for access to all 297 flashcards in this deck.
Unlock Deck
k this deck
7
The price of a seller's product in perfect competition is determined by
A)the individual seller.
B)a few of the sellers.
C)market demand and market supply.
D)the individual demander.
A)the individual seller.
B)a few of the sellers.
C)market demand and market supply.
D)the individual demander.
Unlock Deck
Unlock for access to all 297 flashcards in this deck.
Unlock Deck
k this deck
8
Assume the market for organic produce sold at farmers' markets is perfectly competitive.All else equal,as more farmers choose to produce and sell organic produce at farmers' markets,what is likely to happen to the equilibrium price of the produce and profits of the organic farmers in the long run?
A)The equilibrium price is likely to increase and profits are likely to remain unchanged.
B)The equilibrium price is likely to remain unchanged and profits are likely to increase.
C)The equilibrium price is likely to decrease and profits are likely to decrease.
D)The equilibrium price is likely to increase and profits are likely to increase.
A)The equilibrium price is likely to increase and profits are likely to remain unchanged.
B)The equilibrium price is likely to remain unchanged and profits are likely to increase.
C)The equilibrium price is likely to decrease and profits are likely to decrease.
D)The equilibrium price is likely to increase and profits are likely to increase.
Unlock Deck
Unlock for access to all 297 flashcards in this deck.
Unlock Deck
k this deck
9
Which of the following is the best example of a perfectly competitive industry?
A)wheat production
B)steel production
C)electricity production
D)airplane production
A)wheat production
B)steel production
C)electricity production
D)airplane production
Unlock Deck
Unlock for access to all 297 flashcards in this deck.
Unlock Deck
k this deck
10
Both individual buyers and sellers in perfect competition
A)can influence the market price by their own individual actions.
B)can influence the market price by joining with a few of their competitors.
C)have to take the market price as a given.
D)have the market price dictated to them by government.
A)can influence the market price by their own individual actions.
B)can influence the market price by joining with a few of their competitors.
C)have to take the market price as a given.
D)have the market price dictated to them by government.
Unlock Deck
Unlock for access to all 297 flashcards in this deck.
Unlock Deck
k this deck
11
Both buyers and sellers are price takers in a perfectly competitive market because
A)the price is determined by government intervention and dictated to buyers and sellers.
B)each buyer and seller knows it is illegal to conspire to affect price.
C)both buyers and sellers in a perfectly competitive market are concerned for the welfare of others.
D)each buyer and seller is too small relative to others to independently affect the market price.
A)the price is determined by government intervention and dictated to buyers and sellers.
B)each buyer and seller knows it is illegal to conspire to affect price.
C)both buyers and sellers in a perfectly competitive market are concerned for the welfare of others.
D)each buyer and seller is too small relative to others to independently affect the market price.
Unlock Deck
Unlock for access to all 297 flashcards in this deck.
Unlock Deck
k this deck
12
Suppose the equilibrium price in a perfectly competitive industry is $15 and a firm in the industry charges $21.Which of the following will happen?
A)The firm's profits will increase.
B)The firm's revenue will increase.
C)The firm will not sell any output.
D)The firm will sell more output than its competitors.
A)The firm's profits will increase.
B)The firm's revenue will increase.
C)The firm will not sell any output.
D)The firm will sell more output than its competitors.
Unlock Deck
Unlock for access to all 297 flashcards in this deck.
Unlock Deck
k this deck
13
Which of the following characteristics of a farmers' market make it a good example of a perfectly competitive market?
A)Selling product at a farmers' market was very profitable for farmers in the early 2000s.As result, many farmers sold their farms to larger firms.
B)Farmers who sell product at a farmers' market are similar to other entrepreneurs who introduce products that earn short-run profits but invite competition that drives down prices and profits in the long run.
C)Farmers who sell product at a farmers' market are similar to other business owners who take advantage of the willingness of some consumers to pay high prices for new and different products.
D)Farmers selling product at a farmers' market provide a product that is a necessity, rather than a luxury.
A)Selling product at a farmers' market was very profitable for farmers in the early 2000s.As result, many farmers sold their farms to larger firms.
B)Farmers who sell product at a farmers' market are similar to other entrepreneurs who introduce products that earn short-run profits but invite competition that drives down prices and profits in the long run.
C)Farmers who sell product at a farmers' market are similar to other business owners who take advantage of the willingness of some consumers to pay high prices for new and different products.
D)Farmers selling product at a farmers' market provide a product that is a necessity, rather than a luxury.
Unlock Deck
Unlock for access to all 297 flashcards in this deck.
Unlock Deck
k this deck
14
Which of the following is not a characteristic of a perfectly competitive market structure?
A)There are a very large number of firms that are small compared to the market.
B)All firms sell identical products.
C)There are no restrictions to entry by new firms.
D)There are restrictions on exit of firms.
A)There are a very large number of firms that are small compared to the market.
B)All firms sell identical products.
C)There are no restrictions to entry by new firms.
D)There are restrictions on exit of firms.
Unlock Deck
Unlock for access to all 297 flashcards in this deck.
Unlock Deck
k this deck
15
Perfect competition is characterized by all of the following except
A)heavy advertising by individual sellers.
B)homogeneous products.
C)sellers are price takers.
D)a horizontal demand curve for individual sellers.
A)heavy advertising by individual sellers.
B)homogeneous products.
C)sellers are price takers.
D)a horizontal demand curve for individual sellers.
Unlock Deck
Unlock for access to all 297 flashcards in this deck.
Unlock Deck
k this deck
16
Which of the following is a characteristic of a monopoly?
A)It is easy for new firms to enter the market.
B)There is only one seller in the market.
C)The product is not unique.
D)The firm has no control over price.
A)It is easy for new firms to enter the market.
B)There is only one seller in the market.
C)The product is not unique.
D)The firm has no control over price.
Unlock Deck
Unlock for access to all 297 flashcards in this deck.
Unlock Deck
k this deck
17
A very large number of small sellers who sell identical products imply
A)a multitude of vastly different selling prices.
B)a downward sloping demand for each seller's product.
C)the inability of one seller to influence price.
D)chaos in the market.
A)a multitude of vastly different selling prices.
B)a downward sloping demand for each seller's product.
C)the inability of one seller to influence price.
D)chaos in the market.
Unlock Deck
Unlock for access to all 297 flashcards in this deck.
Unlock Deck
k this deck
18
In perfect competition
A) the market demand curve and the individual's demand are identical.
B)the market demand curve is perfectly inelastic while demand for an individual seller's product is perfectly elastic.
C)the market demand curve is perfectly elastic while demand for an individual seller's product is perfectly inelastic.
D)the market demand curve is downward sloping while demand for an individual seller's product is perfectly elastic.
A) the market demand curve and the individual's demand are identical.
B)the market demand curve is perfectly inelastic while demand for an individual seller's product is perfectly elastic.
C)the market demand curve is perfectly elastic while demand for an individual seller's product is perfectly inelastic.
D)the market demand curve is downward sloping while demand for an individual seller's product is perfectly elastic.
Unlock Deck
Unlock for access to all 297 flashcards in this deck.
Unlock Deck
k this deck
19
Which of the following arguments could be made as evidence that the market for produce sold at a farmers' market is perfectly competitive?
A)The U.S.Department of Agriculture has established standards for the labeling of organic produce sold at farmers' markets.
B)Sales of organically grown food have increased at a rate of 20 percent per year.
C)As more farmers began selling their products at farmers' markets, the increase in supply has driven down prices to the point where they just cover the cost of production.
D)The profits earned by farmers who sell their products at farmers' markets have continued to grow, despite the increasing number of farmers entering this market.
A)The U.S.Department of Agriculture has established standards for the labeling of organic produce sold at farmers' markets.
B)Sales of organically grown food have increased at a rate of 20 percent per year.
C)As more farmers began selling their products at farmers' markets, the increase in supply has driven down prices to the point where they just cover the cost of production.
D)The profits earned by farmers who sell their products at farmers' markets have continued to grow, despite the increasing number of farmers entering this market.
Unlock Deck
Unlock for access to all 297 flashcards in this deck.
Unlock Deck
k this deck
20
Which of the following is a characteristic of an oligopolistic market structure?
A)There are few dominant sellers.
B)Each firm sells a unique product.
C)It is easy for new firms to enter the industry.
D)Each firm need not react to the actions of rivals.
A)There are few dominant sellers.
B)Each firm sells a unique product.
C)It is easy for new firms to enter the industry.
D)Each firm need not react to the actions of rivals.
Unlock Deck
Unlock for access to all 297 flashcards in this deck.
Unlock Deck
k this deck
21
Which of the following is a characteristic of a firm in a perfectly competitive market?
A)The firm cannot make a profit in the short run because it is too small a part of the total market.
B)The firm can make a profit in the long run but not in the short run.
C)The firm can sell as much as it wants without having to lower its price.
D)The firm must lower its price in order to increase quantity demanded.
A)The firm cannot make a profit in the short run because it is too small a part of the total market.
B)The firm can make a profit in the long run but not in the short run.
C)The firm can sell as much as it wants without having to lower its price.
D)The firm must lower its price in order to increase quantity demanded.
Unlock Deck
Unlock for access to all 297 flashcards in this deck.
Unlock Deck
k this deck
22
In a perfectly competitive market the term "price taker" applies to
A)sellers and buyers.
B)firms but not buyers.
C)buyers but not sellers.
D)only the smallest sellers and buyers.
A)sellers and buyers.
B)firms but not buyers.
C)buyers but not sellers.
D)only the smallest sellers and buyers.
Unlock Deck
Unlock for access to all 297 flashcards in this deck.
Unlock Deck
k this deck
23
Firms in perfectly competitive industries are unable to control the prices of the products they sell and earn a profit in the long run.Which of the following is one reason for this?
A)Owners of perfectly competitive firms realize that their short-run profits are temporary.Therefore, they either sell their businesses or develop other products that will earn short-run profits.
B)Firms in perfectly competitive industries can use advertising in the short run to persuade consumers that their products are better than those of other firms.But eventually consumers realize that all of the firms sell virtually identical products.
C)Firms from other countries are able to produce similar products at lower costs.
D)Firms in these industries sell identical products.
A)Owners of perfectly competitive firms realize that their short-run profits are temporary.Therefore, they either sell their businesses or develop other products that will earn short-run profits.
B)Firms in perfectly competitive industries can use advertising in the short run to persuade consumers that their products are better than those of other firms.But eventually consumers realize that all of the firms sell virtually identical products.
C)Firms from other countries are able to produce similar products at lower costs.
D)Firms in these industries sell identical products.
Unlock Deck
Unlock for access to all 297 flashcards in this deck.
Unlock Deck
k this deck
24
A perfectly competitive firm faces a demand curve that is
A)horizontal.
B)vertical.
C)perpendicular to the quantity axis.
D)perfectly inelastic.
A)horizontal.
B)vertical.
C)perpendicular to the quantity axis.
D)perfectly inelastic.
Unlock Deck
Unlock for access to all 297 flashcards in this deck.
Unlock Deck
k this deck
25
Which of the following is not an assumption of perfectly competitive markets?
A)There are many sellers and many buyers, all of which are small relative to the market.
B)Each firm produces a similar but not identical product.
C)There are no barriers to new firms entering the market.
D)The products sold by all firms in the market are identical.
A)There are many sellers and many buyers, all of which are small relative to the market.
B)Each firm produces a similar but not identical product.
C)There are no barriers to new firms entering the market.
D)The products sold by all firms in the market are identical.
Unlock Deck
Unlock for access to all 297 flashcards in this deck.
Unlock Deck
k this deck
26
A wheat farmer and a firm in a perfectly competitive market are similar in that
A)both face vertical demand curves.
B)both have to lower their prices if a rival firm lowers its price.
C)both face horizontal demand curves.
D)both will earn an economic profit if their total revenue equals their total cost.
A)both face vertical demand curves.
B)both have to lower their prices if a rival firm lowers its price.
C)both face horizontal demand curves.
D)both will earn an economic profit if their total revenue equals their total cost.
Unlock Deck
Unlock for access to all 297 flashcards in this deck.
Unlock Deck
k this deck
27
Which of the following offers the best reason why restaurants are not considered to be perfectly competitive firms?
A)Restaurants do not sell identical products.
B)Restaurants compete in small market areas-neighborhoods and cities-rather than in regional or national markets.Therefore, restaurants are not small relative to their market size.
C)Restaurants usually have entry barriers in the form of zoning restrictions and health regulations.
D)Restaurants have significant liability costs that perfectly competitive firms do not have; for example, customers may sue if they suffer from food poisoning.
A)Restaurants do not sell identical products.
B)Restaurants compete in small market areas-neighborhoods and cities-rather than in regional or national markets.Therefore, restaurants are not small relative to their market size.
C)Restaurants usually have entry barriers in the form of zoning restrictions and health regulations.
D)Restaurants have significant liability costs that perfectly competitive firms do not have; for example, customers may sue if they suffer from food poisoning.
Unlock Deck
Unlock for access to all 297 flashcards in this deck.
Unlock Deck
k this deck
28
If a perfectly competitive firm raises the price it charges to consumers,which of the following is the most likely outcome?
A)The firm's revenue will not change because some consumers will refuse to pay the higher price.
B)The firm will not sell any output.
C)The firm's total revenue will increase only if the demand for its product is inelastic.
D)The firm's total revenue will increase only if the demand for its product is elastic.
A)The firm's revenue will not change because some consumers will refuse to pay the higher price.
B)The firm will not sell any output.
C)The firm's total revenue will increase only if the demand for its product is inelastic.
D)The firm's total revenue will increase only if the demand for its product is elastic.
Unlock Deck
Unlock for access to all 297 flashcards in this deck.
Unlock Deck
k this deck
29
Some markets have many buyers and sellers but fall into the category of monopolistic competition rather than perfect competition.The most common reason for this is
A)there are high barriers to entering these markets.
B)firms in these markets sell identical products.
C)firms in these markets make high profits.
D)firms in these markets do not sell identical products.
A)there are high barriers to entering these markets.
B)firms in these markets sell identical products.
C)firms in these markets make high profits.
D)firms in these markets do not sell identical products.
Unlock Deck
Unlock for access to all 297 flashcards in this deck.
Unlock Deck
k this deck
30
A perfectly competitive firm has to charge the same price as every other firm in the market.Therefore,the firm
A)faces a perfectly inelastic demand curve.
B)is not able to make a profit in the short run.
C)is a price taker.
D)faces a perfectly elastic supply curve.
A)faces a perfectly inelastic demand curve.
B)is not able to make a profit in the short run.
C)is a price taker.
D)faces a perfectly elastic supply curve.
Unlock Deck
Unlock for access to all 297 flashcards in this deck.
Unlock Deck
k this deck
31
Perfectly competitive industries tend to produce low-priced,low-technology products.
Unlock Deck
Unlock for access to all 297 flashcards in this deck.
Unlock Deck
k this deck
32
The market demand curve for a perfectly competitive industry is the horizontal summation of each individual firm's demand curve.
Unlock Deck
Unlock for access to all 297 flashcards in this deck.
Unlock Deck
k this deck
33
Which of the following describes the difference between the market demand curve for a perfectly competitive industry and the demand curve for a firm in this industry?
A)The market demand curve is a horizontal line; the firm's demand curve is downward-sloping.
B)The market demand curve is downward-sloping; the firm's demand curve is a vertical line.
C)The market demand curve can not have a constant slope; the firm's demand curve has a slope equal to zero.
D)The market demand curve is downward-sloping; the firm's demand curve is a horizontal line.
A)The market demand curve is a horizontal line; the firm's demand curve is downward-sloping.
B)The market demand curve is downward-sloping; the firm's demand curve is a vertical line.
C)The market demand curve can not have a constant slope; the firm's demand curve has a slope equal to zero.
D)The market demand curve is downward-sloping; the firm's demand curve is a horizontal line.
Unlock Deck
Unlock for access to all 297 flashcards in this deck.
Unlock Deck
k this deck
34
A perfectly competitive firm's horizontal demand curve implies that the firm does not have to lower its price to sell more output.
Unlock Deck
Unlock for access to all 297 flashcards in this deck.
Unlock Deck
k this deck
35
The price a perfectly competitive firm receives for its output
A)is determined by the interaction of the firm and all of the consumers who buy from the firm.
B)is determined by the interaction of all sellers and all buyers in the firm's market.
C)will not change in response to changes in market demand and supply because the firm is a price taker.
D)will be lowered by the firm in order to sell more output.
A)is determined by the interaction of the firm and all of the consumers who buy from the firm.
B)is determined by the interaction of all sellers and all buyers in the firm's market.
C)will not change in response to changes in market demand and supply because the firm is a price taker.
D)will be lowered by the firm in order to sell more output.
Unlock Deck
Unlock for access to all 297 flashcards in this deck.
Unlock Deck
k this deck
36
Firms that are price takers
A)must lower their prices to increase sales.
B)are able to sell a fixed quantity of output at the market price.
C)can raise their prices as a result of a successful advertising campaign.
D)are able to sell all their output at the market price.
A)must lower their prices to increase sales.
B)are able to sell a fixed quantity of output at the market price.
C)can raise their prices as a result of a successful advertising campaign.
D)are able to sell all their output at the market price.
Unlock Deck
Unlock for access to all 297 flashcards in this deck.
Unlock Deck
k this deck
37
Firms in perfect competition are price takers because
A)one firm determines the price that all other firms in the industry will charge.
B)consumers have enough market power to set prices.
C)firms accept the price determined by the government.
D)each firm is too small relative to the market to be able to influence price.
A)one firm determines the price that all other firms in the industry will charge.
B)consumers have enough market power to set prices.
C)firms accept the price determined by the government.
D)each firm is too small relative to the market to be able to influence price.
Unlock Deck
Unlock for access to all 297 flashcards in this deck.
Unlock Deck
k this deck
38
Suppose the equilibrium price in a perfectly competitive industry is $10 and a firm in the industry charges $12.Which of the following will happen?
A)The firm will sell more output than its competitors.
B)The firm's revenue will increase.
C)The firm will not sell any output.
D)The firm's profits will increase.
A)The firm will sell more output than its competitors.
B)The firm's revenue will increase.
C)The firm will not sell any output.
D)The firm's profits will increase.
Unlock Deck
Unlock for access to all 297 flashcards in this deck.
Unlock Deck
k this deck
39
Which of the following is the best example of a perfectly competitive firm?
A)a corn farmer in Illinois
B)a Taco Bell restaurant
C)the Ford Motor Company
D)the United Parcel Service (UPS)
A)a corn farmer in Illinois
B)a Taco Bell restaurant
C)the Ford Motor Company
D)the United Parcel Service (UPS)
Unlock Deck
Unlock for access to all 297 flashcards in this deck.
Unlock Deck
k this deck
40
The delivery of first-class mail by the U.S.Postal Service is an example of
A)a monopoly.
B)perfect competition because consumers have access to other methods of written communication; for example, email and text messaging.
C)monopolistic competition, because mail delivery is a differentiated product provided by many firms.
D)an oligopoly because a few other firms provide delivery of letters and packages.
A)a monopoly.
B)perfect competition because consumers have access to other methods of written communication; for example, email and text messaging.
C)monopolistic competition, because mail delivery is a differentiated product provided by many firms.
D)an oligopoly because a few other firms provide delivery of letters and packages.
Unlock Deck
Unlock for access to all 297 flashcards in this deck.
Unlock Deck
k this deck
41
Table 9-1
Table 9-1 shows the short-run cost data of a perfectly competitive firm that produces plastic camera cases. Assume that output can only be increased in batches of 100 units.
-Refer to Table 9-1.If the market price of each camera case is $8 and the firm maximizes profit,what is the amount of the firm's profit or loss?
A)$0 (it breaks even)
B)loss of $1,000
C)profit of $440
D)loss of $440
Table 9-1 shows the short-run cost data of a perfectly competitive firm that produces plastic camera cases. Assume that output can only be increased in batches of 100 units.
-Refer to Table 9-1.If the market price of each camera case is $8 and the firm maximizes profit,what is the amount of the firm's profit or loss?
A)$0 (it breaks even)
B)loss of $1,000
C)profit of $440
D)loss of $440
Unlock Deck
Unlock for access to all 297 flashcards in this deck.
Unlock Deck
k this deck
42
Figure 9-1

Refer to Figure 9-1.If the firm is producing 700 units,
A)it is making a profit.
B) it is making a loss.
C)it should cut back its output to maximize profit.
D)it should increase its output to maximize profit.

Refer to Figure 9-1.If the firm is producing 700 units,
A)it is making a profit.
B) it is making a loss.
C)it should cut back its output to maximize profit.
D)it should increase its output to maximize profit.
Unlock Deck
Unlock for access to all 297 flashcards in this deck.
Unlock Deck
k this deck
43
Which of the following is not true for a firm in perfect competition?
A)Profit equals total revenue minus total cost.
B)Price equals average revenue.
C)Average revenue is greater than marginal revenue.
D)Marginal revenue equals the change in total revenue from selling one more unit.
A)Profit equals total revenue minus total cost.
B)Price equals average revenue.
C)Average revenue is greater than marginal revenue.
D)Marginal revenue equals the change in total revenue from selling one more unit.
Unlock Deck
Unlock for access to all 297 flashcards in this deck.
Unlock Deck
k this deck
44
Table 9-1
Table 9-1 shows the short-run cost data of a perfectly competitive firm that produces plastic camera cases. Assume that output can only be increased in batches of 100 units.
-Refer to Table 9-1.What is the fixed cost of production?
A)$0
B)$500
C)$1,000
D)It cannot be determined.
Table 9-1 shows the short-run cost data of a perfectly competitive firm that produces plastic camera cases. Assume that output can only be increased in batches of 100 units.
-Refer to Table 9-1.What is the fixed cost of production?
A)$0
B)$500
C)$1,000
D)It cannot be determined.
Unlock Deck
Unlock for access to all 297 flashcards in this deck.
Unlock Deck
k this deck
45
Table 9-1
Table 9-1 shows the short-run cost data of a perfectly competitive firm that produces plastic camera cases. Assume that output can only be increased in batches of 100 units.
-Refer to Table 9-1.Suppose the fixed cost of production rises by $500 and the price per unit is still $8.What happens to the firm's profit-maximizing output level?
A)It must fall.
B)It must rise to offset the increased cost.
C)It will remain the same.
D)The firm will shut down.
Table 9-1 shows the short-run cost data of a perfectly competitive firm that produces plastic camera cases. Assume that output can only be increased in batches of 100 units.
-Refer to Table 9-1.Suppose the fixed cost of production rises by $500 and the price per unit is still $8.What happens to the firm's profit-maximizing output level?
A)It must fall.
B)It must rise to offset the increased cost.
C)It will remain the same.
D)The firm will shut down.
Unlock Deck
Unlock for access to all 297 flashcards in this deck.
Unlock Deck
k this deck
46
If the market price is $25 in a perfectly competitive market,the marginal revenue from selling the fifth unit is
A)$5.
B)$12.50.
C)$25.
D)$125.
A)$5.
B)$12.50.
C)$25.
D)$125.
Unlock Deck
Unlock for access to all 297 flashcards in this deck.
Unlock Deck
k this deck
47
Figure 9-1

Refer to Figure 9-1.If the firm is producing 500 units,what is the amount of its profit or loss?
A)profit of $280
B)loss equivalent to the area A
C)profit equivalent to the area A
D)There is insufficient information to answer the question.

Refer to Figure 9-1.If the firm is producing 500 units,what is the amount of its profit or loss?
A)profit of $280
B)loss equivalent to the area A
C)profit equivalent to the area A
D)There is insufficient information to answer the question.
Unlock Deck
Unlock for access to all 297 flashcards in this deck.
Unlock Deck
k this deck
48
What assumptions are necessary for a market to be perfectly competitive? Explain why each of these assumptions is important.
Unlock Deck
Unlock for access to all 297 flashcards in this deck.
Unlock Deck
k this deck
49
Figure 9-1

Refer to Figure 9-1.If the firm is charging a price of $12 per unit
A)it breaks even.
B) it is making a profit.
C)it is selling 700 units.
D)it is not selling any output.

Refer to Figure 9-1.If the firm is charging a price of $12 per unit
A)it breaks even.
B) it is making a profit.
C)it is selling 700 units.
D)it is not selling any output.
Unlock Deck
Unlock for access to all 297 flashcards in this deck.
Unlock Deck
k this deck
50
Figure 9-1

Refer to Figure 9-1.If the firm is producing 700 units,what is the amount of its profit or loss?
A)loss of $280
B)loss equivalent to the area A
C)profit equivalent to the area A
D)There is insufficient information to answer the question.

Refer to Figure 9-1.If the firm is producing 700 units,what is the amount of its profit or loss?
A)loss of $280
B)loss equivalent to the area A
C)profit equivalent to the area A
D)There is insufficient information to answer the question.
Unlock Deck
Unlock for access to all 297 flashcards in this deck.
Unlock Deck
k this deck
51
Figure 9-1

Refer to Figure 9-1.If the firm is producing 500 units
A)it is making a profit.
B) it is making a loss.
C)it should maintain its output to maximize profit.
D)it should increase its output to maximize profit.

Refer to Figure 9-1.If the firm is producing 500 units
A)it is making a profit.
B) it is making a loss.
C)it should maintain its output to maximize profit.
D)it should increase its output to maximize profit.
Unlock Deck
Unlock for access to all 297 flashcards in this deck.
Unlock Deck
k this deck
52
Table 9-1
Table 9-1 shows the short-run cost data of a perfectly competitive firm that produces plastic camera cases. Assume that output can only be increased in batches of 100 units.
-Refer to Table 9-1.If the market price of each camera case is $8,what is the firm's total revenue?
A)$2,400
B)$3,200
C)$4000
D)$4,800
Table 9-1 shows the short-run cost data of a perfectly competitive firm that produces plastic camera cases. Assume that output can only be increased in batches of 100 units.
-Refer to Table 9-1.If the market price of each camera case is $8,what is the firm's total revenue?
A)$2,400
B)$3,200
C)$4000
D)$4,800
Unlock Deck
Unlock for access to all 297 flashcards in this deck.
Unlock Deck
k this deck
53
Table 9-1
Table 9-1 shows the short-run cost data of a perfectly competitive firm that produces plastic camera cases. Assume that output can only be increased in batches of 100 units.
-Refer to Table 9-1.The firm will not produce in the short run if the output price falls below
A)$8.
B)$4.
C)$3.20.
D)$2.80.
Table 9-1 shows the short-run cost data of a perfectly competitive firm that produces plastic camera cases. Assume that output can only be increased in batches of 100 units.
-Refer to Table 9-1.The firm will not produce in the short run if the output price falls below
A)$8.
B)$4.
C)$3.20.
D)$2.80.
Unlock Deck
Unlock for access to all 297 flashcards in this deck.
Unlock Deck
k this deck
54
Why are individual buyers and sellers in perfect competition called price takers?
Unlock Deck
Unlock for access to all 297 flashcards in this deck.
Unlock Deck
k this deck
55
Of the following industries,which are perfectly competitive? For those that are not perfectly competitive,explain why.
a.Restaurants
b.Corn
c.College education
d.Local radio and television
a.Restaurants
b.Corn
c.College education
d.Local radio and television
Unlock Deck
Unlock for access to all 297 flashcards in this deck.
Unlock Deck
k this deck
56
Table 9-1
Table 9-1 shows the short-run cost data of a perfectly competitive firm that produces plastic camera cases. Assume that output can only be increased in batches of 100 units.
-Refer to Table 9-1.If the market price of each camera case is $8,what is the profit-maximizing quantity?
A)300 units
B)400 units
C)500 units
D)600 units
Table 9-1 shows the short-run cost data of a perfectly competitive firm that produces plastic camera cases. Assume that output can only be increased in batches of 100 units.
-Refer to Table 9-1.If the market price of each camera case is $8,what is the profit-maximizing quantity?
A)300 units
B)400 units
C)500 units
D)600 units
Unlock Deck
Unlock for access to all 297 flashcards in this deck.
Unlock Deck
k this deck
57
If the market price is $25,the average revenue of selling five units is
A)$5.
B)$12.50.
C)$25.
D)$125.
A)$5.
B)$12.50.
C)$25.
D)$125.
Unlock Deck
Unlock for access to all 297 flashcards in this deck.
Unlock Deck
k this deck
58
The market demand curve in a perfectly competitive market is downward-sloping.
Unlock Deck
Unlock for access to all 297 flashcards in this deck.
Unlock Deck
k this deck
59
Figure 9-1

Refer to Figure 9-1.If the firm is producing 200 units
A)it breaks even.
B) it is making a loss.
C)it should cut back its output to maximize profit.
D)it should increase its output to maximize profit.

Refer to Figure 9-1.If the firm is producing 200 units
A)it breaks even.
B) it is making a loss.
C)it should cut back its output to maximize profit.
D)it should increase its output to maximize profit.
Unlock Deck
Unlock for access to all 297 flashcards in this deck.
Unlock Deck
k this deck
60
Consider the market for wheat which is a perfectly competitive market.Is the market demand curve the same as the demand curve facing an individual producer? If not,explain how and why they are different? Illustrate your answer graphically.
Unlock Deck
Unlock for access to all 297 flashcards in this deck.
Unlock Deck
k this deck
61
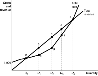
Figure 9-2

Refer to Figure 9-2.What happens if the firm produces more than Q₄ units?
A)Its profit increases.
B)It makes a loss.
C)Its total revenue is increasing faster than its total cost.
D)It could make a profit or a loss depending on what happens to demand.

Refer to Figure 9-2.What happens if the firm produces more than Q₄ units?
A)Its profit increases.
B)It makes a loss.
C)Its total revenue is increasing faster than its total cost.
D)It could make a profit or a loss depending on what happens to demand.
Unlock Deck
Unlock for access to all 297 flashcards in this deck.
Unlock Deck
k this deck
62
In a graph with output on the horizontal axis and total revenue on the vertical axis,what is the shape of the total revenue curve for a perfectly competitive seller?
A)U-shaped
B)inverted U-shaped
C)a horizontal line
D)a ray from the origin
A)U-shaped
B)inverted U-shaped
C)a horizontal line
D)a ray from the origin
Unlock Deck
Unlock for access to all 297 flashcards in this deck.
Unlock Deck
k this deck
63
If the market price is $40 in a perfectly competitive market,the marginal revenue from selling the fifth unit is
A)$8.
B)$20.
C)$40.
D)$200.
A)$8.
B)$20.
C)$40.
D)$200.
Unlock Deck
Unlock for access to all 297 flashcards in this deck.
Unlock Deck
k this deck
64
Assume that price is greater than average variable cost.If a perfectly competitive seller is producing at an output where price is $11 and the marginal cost is $14.54,then to maximize profits the firm should
A)continue producing at the current output.
B)produce a larger level of output.
C)produce a smaller level of output.
D)There is not enough information given to answer the question.
A)continue producing at the current output.
B)produce a larger level of output.
C)produce a smaller level of output.
D)There is not enough information given to answer the question.
Unlock Deck
Unlock for access to all 297 flashcards in this deck.
Unlock Deck
k this deck
65
Mark Frost grows apples in a perfectly competitive market.If we drew a line in a graph that illustrates Mark's total revenue from selling apples,it would be
A)a straight, upward-sloping line.
B)a horizontal line.
C)a straight, downward-sloping line.
D)a curve that is negatively sloped at low levels of output and positively sloped at higher levels of output.
A)a straight, upward-sloping line.
B)a horizontal line.
C)a straight, downward-sloping line.
D)a curve that is negatively sloped at low levels of output and positively sloped at higher levels of output.
Unlock Deck
Unlock for access to all 297 flashcards in this deck.
Unlock Deck
k this deck
66
Marginal revenue is
A)total revenue divided by the total quantity of output.
B)the change in profit divided by the change in the quantity of output.
C)the change in total revenue divided by the change in total cost.
D)the change in total revenue divided by the change in the quantity of output.
A)total revenue divided by the total quantity of output.
B)the change in profit divided by the change in the quantity of output.
C)the change in total revenue divided by the change in total cost.
D)the change in total revenue divided by the change in the quantity of output.
Unlock Deck
Unlock for access to all 297 flashcards in this deck.
Unlock Deck
k this deck
67
If,for a perfectly competitive firm,price exceeds the marginal cost of production,the firm should
A)increase its output.
B)reduce its output.
C)keep output constant and enjoy the above normal profit.
D)lower the price.
A)increase its output.
B)reduce its output.
C)keep output constant and enjoy the above normal profit.
D)lower the price.
Unlock Deck
Unlock for access to all 297 flashcards in this deck.
Unlock Deck
k this deck
68
A perfectly competitive firm produces 3,000 units of a good at a total cost of $36,000.The price of each good is $10.Calculate the firm's short-run profit or loss.
A)loss of $6,000
B)profit of $6,000
C)profit of $30,000
D)There is insufficient information to answer the question.
A)loss of $6,000
B)profit of $6,000
C)profit of $30,000
D)There is insufficient information to answer the question.
Unlock Deck
Unlock for access to all 297 flashcards in this deck.
Unlock Deck
k this deck
69
The marginal revenue curve for a perfectly competitive firm
A)is downward-sloping.
B)is the same as its demand curve.
C)is perfectly inelastic.
D)is the same as its marginal cost curve.
A)is downward-sloping.
B)is the same as its demand curve.
C)is perfectly inelastic.
D)is the same as its marginal cost curve.
Unlock Deck
Unlock for access to all 297 flashcards in this deck.
Unlock Deck
k this deck
70
For a firm in a perfectly competitive market,price is
A)equal to both average revenue and marginal revenue.
B)equal to average revenue but greater than marginal revenue.
C)greater than marginal revenue but less than average revenue.
D)less than both average revenue and marginal revenue.
A)equal to both average revenue and marginal revenue.
B)equal to average revenue but greater than marginal revenue.
C)greater than marginal revenue but less than average revenue.
D)less than both average revenue and marginal revenue.
Unlock Deck
Unlock for access to all 297 flashcards in this deck.
Unlock Deck
k this deck
71
For a perfectly competitive firm,which of the following is not true at profit maximization?
A)Market price is greater than marginal cost.
B)Marginal revenue equals marginal cost.
C)Total revenue minus total cost is maximized.
D)Price equals marginal cost.
A)Market price is greater than marginal cost.
B)Marginal revenue equals marginal cost.
C)Total revenue minus total cost is maximized.
D)Price equals marginal cost.
Unlock Deck
Unlock for access to all 297 flashcards in this deck.
Unlock Deck
k this deck
72
Figure 9-2

Refer to Figure 9-2.The firm breaks even at an output level of
A)Q₁ units.
B)Q₂ units.
C)Q₃ units.
D)Q₄ units.

Refer to Figure 9-2.The firm breaks even at an output level of
A)Q₁ units.
B)Q₂ units.
C)Q₃ units.
D)Q₄ units.
Unlock Deck
Unlock for access to all 297 flashcards in this deck.
Unlock Deck
k this deck
73
Figure 9-2

Refer to Figure 9-2.Suppose the firm is currently producing Q₂ units.What happens if it expands output to Q₃ units?
A)Its profit increases by the size of the vertical distance df.
B) It makes less profit.
C)It incurs a loss.
D)It will be moving toward its profit maximizing output.

Refer to Figure 9-2.Suppose the firm is currently producing Q₂ units.What happens if it expands output to Q₃ units?
A)Its profit increases by the size of the vertical distance df.
B) It makes less profit.
C)It incurs a loss.
D)It will be moving toward its profit maximizing output.
Unlock Deck
Unlock for access to all 297 flashcards in this deck.
Unlock Deck
k this deck
74
For a perfectly competitive firm,average revenue is equal to
A)marginal cost.
B)the market price.
C)total revenue.
D)average fixed cost.
A)marginal cost.
B)the market price.
C)total revenue.
D)average fixed cost.
Unlock Deck
Unlock for access to all 297 flashcards in this deck.
Unlock Deck
k this deck
75
Figure 9-2

Refer to Figure 9-2.Why is the total revenue curve a ray from the origin?
A)because revenue increases at an increasing rate
B)because revenue increases at a decreasing rate
C)because the firm can sell its product at a constant price
D)because the firm must lower its price to sell more

Refer to Figure 9-2.Why is the total revenue curve a ray from the origin?
A)because revenue increases at an increasing rate
B)because revenue increases at a decreasing rate
C)because the firm can sell its product at a constant price
D)because the firm must lower its price to sell more
Unlock Deck
Unlock for access to all 297 flashcards in this deck.
Unlock Deck
k this deck
76
If,for the last unit of a good produced by a perfectly competitive firm,MR > MC,then in producing it,the firm
A)added more to total costs than it added to total revenue.
B)added more to total revenue than it added to total cost.
C)is maximizing marginal profit.
D)has minimized its losses.
A)added more to total costs than it added to total revenue.
B)added more to total revenue than it added to total cost.
C)is maximizing marginal profit.
D)has minimized its losses.
Unlock Deck
Unlock for access to all 297 flashcards in this deck.
Unlock Deck
k this deck
77
In a graph that illustrates a perfectly competitive firm,marginal revenue is
A)a diagonal line that lies below the firm's demand curve.
B)a line that intersects the firm's demand curve from below at its lowest point.
C)a line that intersects the firm's average total cost curve from below at its lowest point.
D)the same as the firm's demand curve.
A)a diagonal line that lies below the firm's demand curve.
B)a line that intersects the firm's demand curve from below at its lowest point.
C)a line that intersects the firm's average total cost curve from below at its lowest point.
D)the same as the firm's demand curve.
Unlock Deck
Unlock for access to all 297 flashcards in this deck.
Unlock Deck
k this deck
78
To maximize profit,a perfectly competitive firm
A)should sell the quantity of output determined by the interaction between industry demand and supply.
B)should sell the quantity of output that results in a value for total revenue that is equal to total cost.
C)should produce the quantity of output that results in the greatest difference between total revenue and total cost.
D)should produce the quantity of output that results in the greatest difference between marginal revenue and marginal cost.
A)should sell the quantity of output determined by the interaction between industry demand and supply.
B)should sell the quantity of output that results in a value for total revenue that is equal to total cost.
C)should produce the quantity of output that results in the greatest difference between total revenue and total cost.
D)should produce the quantity of output that results in the greatest difference between marginal revenue and marginal cost.
Unlock Deck
Unlock for access to all 297 flashcards in this deck.
Unlock Deck
k this deck
79
Figure 9-2

Refer to Figure 9-2.What is the amount of profit if the firm produces Q₂ units?
A)It is equal to the vertical distance c to g.
B) It is equal to the vertical distance c to Q₂.
C) It is equal to the vertical distance g to Q₂.
D)It is equal to the vertical distance c to g multiplied by Q₂ units.

Refer to Figure 9-2.What is the amount of profit if the firm produces Q₂ units?
A)It is equal to the vertical distance c to g.
B) It is equal to the vertical distance c to Q₂.
C) It is equal to the vertical distance g to Q₂.
D)It is equal to the vertical distance c to g multiplied by Q₂ units.
Unlock Deck
Unlock for access to all 297 flashcards in this deck.
Unlock Deck
k this deck
80
If the market price is $40,the average revenue of selling five units is
A)$8.
B)$20.
C)$40.
D)$200.
A)$8.
B)$20.
C)$40.
D)$200.
Unlock Deck
Unlock for access to all 297 flashcards in this deck.
Unlock Deck
k this deck

