Deck 25: Amino Acids, Peptides, and Proteins
Question
Question
Question
Question
Question
Question
Question
Question
Question
Question
Question
Question
Question
Question
Question
Question
Question
Question
Question
Question
Question
Question
Question
Question
Question
Question
Question
Question
Question
Question
Question
Question
Question
Question
Question
Question
Question
Question
Question
Question
Question
Question
Question
Question
Question
Question
Question
Question
Question
Question
Question
Question
Question
Question
Question
Question
Question
Question
Question
Question
Question
Question
Question
Question
Question
Question
Question
Question
Question
Question
Question
Question
Question
Question
Question
Question
Question
Question
Question
Question
Unlock Deck
Sign up to unlock the cards in this deck!
Unlock Deck
Unlock Deck
1/133
Play
Full screen (f)
Deck 25: Amino Acids, Peptides, and Proteins
1
When more than fifty amino acids are connected to each other, they form _________.
A) a tripeptide
B) a protein
C) a polypeptide
D) a tetrapeptide
E) none of these
A) a tripeptide
B) a protein
C) a polypeptide
D) a tetrapeptide
E) none of these
a protein
2
Which of the following amino acids is achiral?
A) alanine
B) leucine
C) glycine
D) phenylalanine
E) none of these
A) alanine
B) leucine
C) glycine
D) phenylalanine
E) none of these
glycine
3
How many different amino acids are abundantly found in proteins?
A) 10
B) 16
C) 20
D) 40
E) none of these
A) 10
B) 16
C) 20
D) 40
E) none of these
20
4
Which of the following statements is true about -amino acids?
A) the amino and carboxylic acid groups are separated by one carbon atom
B) the amino group is connected to a carbon atom that is to the carboxylic acid group
C) the carbon can be a chirality center
D) all of these are true
A) the amino and carboxylic acid groups are separated by one carbon atom
B) the amino group is connected to a carbon atom that is to the carboxylic acid group
C) the carbon can be a chirality center
D) all of these are true
Unlock Deck
Unlock for access to all 133 flashcards in this deck.
Unlock Deck
k this deck
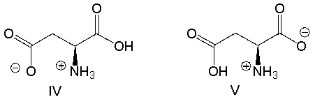
5
Which of the following amino acids have an acidic side chain?

A) I and III
B) I, II and III
C) IV and V
D) II, IV and V
E) all of these

A) I and III
B) I, II and III
C) IV and V
D) II, IV and V
E) all of these
Unlock Deck
Unlock for access to all 133 flashcards in this deck.
Unlock Deck
k this deck
6
Which of the following amino acids have a basic side chain?

A) I and II
B) I, II and IV
C) III and V
D) I, II, III and IV
E) all of these

A) I and II
B) I, II and IV
C) III and V
D) I, II, III and IV
E) all of these
Unlock Deck
Unlock for access to all 133 flashcards in this deck.
Unlock Deck
k this deck
7
Amino acids are connected to each other by____________.
A) an ether linkage
B) a peptide linkage
C) an ester linkage
D) an amide linkage
E) both B and D
A) an ether linkage
B) a peptide linkage
C) an ester linkage
D) an amide linkage
E) both B and D
Unlock Deck
Unlock for access to all 133 flashcards in this deck.
Unlock Deck
k this deck
8
Which one of the following amino acids contain an amide side chain?
A) cysteine
B) serine
C) glutamine
D) leucine
E) proline
A) cysteine
B) serine
C) glutamine
D) leucine
E) proline
Unlock Deck
Unlock for access to all 133 flashcards in this deck.
Unlock Deck
k this deck
9
When two amino acids are connected to each other, they form ____________.
A) a tripeptide
B) a protein
C) a polypeptide
D) a tetrapeptide
E) a dipeptide
A) a tripeptide
B) a protein
C) a polypeptide
D) a tetrapeptide
E) a dipeptide
Unlock Deck
Unlock for access to all 133 flashcards in this deck.
Unlock Deck
k this deck
10
When thirty amino acids are connected to each other, they form ____________.
A) a tripeptide
B) a protein
C) a polypeptide
D) a tetrapeptide
E) none of these
A) a tripeptide
B) a protein
C) a polypeptide
D) a tetrapeptide
E) none of these
Unlock Deck
Unlock for access to all 133 flashcards in this deck.
Unlock Deck
k this deck
11
_______________ are certain proteins that serve as catalysts for most of the reactions in living cells.
Unlock Deck
Unlock for access to all 133 flashcards in this deck.
Unlock Deck
k this deck
12
When three amino acids are connected to each other, they form ____________.
A) a tripeptide
B) a protein
C) a polypeptide
D) a tetrapeptide
E) a dipeptide
A) a tripeptide
B) a protein
C) a polypeptide
D) a tetrapeptide
E) a dipeptide
Unlock Deck
Unlock for access to all 133 flashcards in this deck.
Unlock Deck
k this deck
13
Which one of the following amino acids contain a sulfur atom?
A) cysteine
B) serine
C) glutamine
D) leucine
E) proline
A) cysteine
B) serine
C) glutamine
D) leucine
E) proline
Unlock Deck
Unlock for access to all 133 flashcards in this deck.
Unlock Deck
k this deck
14
Which of the following amino acids contain a polar side chain?
A) tyrosine
B) proline
C) leucine
D) tryptophan
E) glycine
A) tyrosine
B) proline
C) leucine
D) tryptophan
E) glycine
Unlock Deck
Unlock for access to all 133 flashcards in this deck.
Unlock Deck
k this deck
15
Which of the following is a correct structure for D-leucine?

A) I
B) II
C) III
D) IV
E) V

A) I
B) II
C) III
D) IV
E) V
Unlock Deck
Unlock for access to all 133 flashcards in this deck.
Unlock Deck
k this deck
16
When four amino acids are connected to each other, they form ____________.
A) a tripeptide
B) a protein
C) a polypeptide
D) a tetrapeptide
E) a dipeptide
A) a tripeptide
B) a protein
C) a polypeptide
D) a tetrapeptide
E) a dipeptide
Unlock Deck
Unlock for access to all 133 flashcards in this deck.
Unlock Deck
k this deck
17
Which of the following is a correct structure for L-valine?

A) I
B) II
C) III
D) IV
E) V

A) I
B) II
C) III
D) IV
E) V
Unlock Deck
Unlock for access to all 133 flashcards in this deck.
Unlock Deck
k this deck
18
In -amino acids the amino and carboxylic acid groups are separated by ____,
A) two carbon atoms
B) one carbon atom
C) peptide linkage
D) amide linkage
E) none of these
A) two carbon atoms
B) one carbon atom
C) peptide linkage
D) amide linkage
E) none of these
Unlock Deck
Unlock for access to all 133 flashcards in this deck.
Unlock Deck
k this deck
19
Which one of the following amino acids contain a hydroxyl side chain?
A) cysteine
B) serine
C) glutamine
D) leucine
E) proline
A) cysteine
B) serine
C) glutamine
D) leucine
E) proline
Unlock Deck
Unlock for access to all 133 flashcards in this deck.
Unlock Deck
k this deck
20
Proteins found in humans have all amino acids with ____configuration.
A) D
B) L
C) meso
D) A and B
E) none of these
A) D
B) L
C) meso
D) A and B
E) none of these
Unlock Deck
Unlock for access to all 133 flashcards in this deck.
Unlock Deck
k this deck
21
Which of the following is the predominant form of serine at physiological pH?

A) I
B) II
C) III
D) IV
E) V

A) I
B) II
C) III
D) IV
E) V
Unlock Deck
Unlock for access to all 133 flashcards in this deck.
Unlock Deck
k this deck
22
Which of the following amino acids is not an essential amino acid?
A) phenylalanine
B) glycine
C) isoleucine
D) threonine
E) valine
A) phenylalanine
B) glycine
C) isoleucine
D) threonine
E) valine
Unlock Deck
Unlock for access to all 133 flashcards in this deck.
Unlock Deck
k this deck
23
Provide the structure of the predominant form of valine at pH 10?
Unlock Deck
Unlock for access to all 133 flashcards in this deck.
Unlock Deck
k this deck
24
Which of the following naturally occurring amino acids does not have the S configuration? 
A) I
B) II
C) III
D) IV
E) none of these

A) I
B) II
C) III
D) IV
E) none of these
Unlock Deck
Unlock for access to all 133 flashcards in this deck.
Unlock Deck
k this deck
25
Which of the following is the predominant form of aspartic acid at pH 1?

A) I
B) II
C) III
D) IV
E) V

A) I
B) II
C) III
D) IV
E) V
Unlock Deck
Unlock for access to all 133 flashcards in this deck.
Unlock Deck
k this deck
26
Amino acids are considered amphoteric because _____________.
A) they only react with acids
B) they only react with bases
C) they react with both acids and bases
D) they do not react with acids or bases
E) none of these
A) they only react with acids
B) they only react with bases
C) they react with both acids and bases
D) they do not react with acids or bases
E) none of these
Unlock Deck
Unlock for access to all 133 flashcards in this deck.
Unlock Deck
k this deck
27
Draw the Fischer projection for L-cysteine and assign the configuration (R/S) at the chirality center.
Unlock Deck
Unlock for access to all 133 flashcards in this deck.
Unlock Deck
k this deck
28
Draw the Fischer projection for D-serine and assign the configuration (R/S) at the chirality center.
Unlock Deck
Unlock for access to all 133 flashcards in this deck.
Unlock Deck
k this deck
29
Provide the structure of the predominant form of alanine at pH 2?
Unlock Deck
Unlock for access to all 133 flashcards in this deck.
Unlock Deck
k this deck
30
Which of the following is true about the amino acids with isoelectric point around pH 3?
A) The side chain must be acidic.
B) The side chain must be basic.
C) The side chain must be polar.
D) The side chain must be non polar.
E) none of these
A) The side chain must be acidic.
B) The side chain must be basic.
C) The side chain must be polar.
D) The side chain must be non polar.
E) none of these
Unlock Deck
Unlock for access to all 133 flashcards in this deck.
Unlock Deck
k this deck
31
Which of the following is the predominant form of arginine at pH 2?

A) I
B) II
C) III
D) IV
E) V

A) I
B) II
C) III
D) IV
E) V
Unlock Deck
Unlock for access to all 133 flashcards in this deck.
Unlock Deck
k this deck
32
Which of the following is true about the amino acids with isoelectric point around pH 10?
A) The side chain must be acidic.
B) The side chain must be basic.
C) The side chain must be polar.
D) The side chain must be non polar.
E) none of these
A) The side chain must be acidic.
B) The side chain must be basic.
C) The side chain must be polar.
D) The side chain must be non polar.
E) none of these
Unlock Deck
Unlock for access to all 133 flashcards in this deck.
Unlock Deck
k this deck
33
Which of the following is the predominant form of asparagine at physiological pH?

A) I
B) II
C) III
D) IV
E) V

A) I
B) II
C) III
D) IV
E) V
Unlock Deck
Unlock for access to all 133 flashcards in this deck.
Unlock Deck
k this deck
34
Which of the following is a zwitterion for alanine? 
A) I
B) II
C) III
D) IV
E) both I and IV

A) I
B) II
C) III
D) IV
E) both I and IV
Unlock Deck
Unlock for access to all 133 flashcards in this deck.
Unlock Deck
k this deck
35
Which one of the following amino acid does not have an L-isomer?
A) valine
B) alanine
C) leucine
D) glycine
E) none of these
A) valine
B) alanine
C) leucine
D) glycine
E) none of these
Unlock Deck
Unlock for access to all 133 flashcards in this deck.
Unlock Deck
k this deck
36
Draw the Fischer projection for L-aspartic acid and assign the configuration (R/S) at the chirality center.
Unlock Deck
Unlock for access to all 133 flashcards in this deck.
Unlock Deck
k this deck
37
Which of the following amino acids is the smallest?
A) tyrosine
B) proline
C) leucine
D) tryptophan
E) glycine
A) tyrosine
B) proline
C) leucine
D) tryptophan
E) glycine
Unlock Deck
Unlock for access to all 133 flashcards in this deck.
Unlock Deck
k this deck
38
An amino acid can exist as a ________, which is a dipolar ion that carries both positive and negative charge.
A) cation
B) anion
C) zwitterion
D) none of these
A) cation
B) anion
C) zwitterion
D) none of these
Unlock Deck
Unlock for access to all 133 flashcards in this deck.
Unlock Deck
k this deck
39
Which of the following is the predominant form of lysine at pH 14?

A) I
B) II
C) III
D) IV
E) V

A) I
B) II
C) III
D) IV
E) V
Unlock Deck
Unlock for access to all 133 flashcards in this deck.
Unlock Deck
k this deck
40
Which of the following amino acids is the largest amino acid with a nonpolar side chain?
A) tyrosine
B) proline
C) leucine
D) tryptophan
E) glycine
A) tyrosine
B) proline
C) leucine
D) tryptophan
E) glycine
Unlock Deck
Unlock for access to all 133 flashcards in this deck.
Unlock Deck
k this deck
41
Provide the structure of the predominant form of the following amino acids at pH 7 and predict the migration towards anode or cathode during electrophoresis. 

Unlock Deck
Unlock for access to all 133 flashcards in this deck.
Unlock Deck
k this deck
42
Which amino acid is produced from the following reaction sequence? 
A) alanine
B) valine
C) leucine
D) isoleucine
E) none of these

A) alanine
B) valine
C) leucine
D) isoleucine
E) none of these
Unlock Deck
Unlock for access to all 133 flashcards in this deck.
Unlock Deck
k this deck
43
Which of the following amino acids will migrate towards the anode at pH 6?
Phenylalanine: pI = 5.5
Leucine: pI = 6
Phenylalanine: pI = 5.5
Leucine: pI = 6
Unlock Deck
Unlock for access to all 133 flashcards in this deck.
Unlock Deck
k this deck
44
Which of the following amino acids will migrate towards the anode at pH 7?
Glycine: pI = 6.0
Lysine: pI = 9.7
Glycine: pI = 6.0
Lysine: pI = 9.7
Unlock Deck
Unlock for access to all 133 flashcards in this deck.
Unlock Deck
k this deck
45
Which amino acid is produced from the following reaction sequence? 
A) alanine
B) valine
C) leucine
D) isoleucine
E) none of these

A) alanine
B) valine
C) leucine
D) isoleucine
E) none of these
Unlock Deck
Unlock for access to all 133 flashcards in this deck.
Unlock Deck
k this deck
46
Separation of amino acids using electrophoresis is mainly based on ______.
A) differences in the pI values
B) concentration
C) differences in pH values
D) none of these
A) differences in the pI values
B) concentration
C) differences in pH values
D) none of these
Unlock Deck
Unlock for access to all 133 flashcards in this deck.
Unlock Deck
k this deck
47
What is the pI of the following amino acid? 
A) 5.56
B) 6.35
C) 9.74
D) 10.53
E) none of these

A) 5.56
B) 6.35
C) 9.74
D) 10.53
E) none of these
Unlock Deck
Unlock for access to all 133 flashcards in this deck.
Unlock Deck
k this deck
48
Provide the structure of the predominant form of the following amino acids at pH 6 and predict the migration towards anode or cathode during electrophoresis. 

Unlock Deck
Unlock for access to all 133 flashcards in this deck.
Unlock Deck
k this deck
49
Which amino acid is produced from the following reaction sequence? 
A) alanine
B) valine
C) leucine
D) isoleucine
E) none of these

A) alanine
B) valine
C) leucine
D) isoleucine
E) none of these
Unlock Deck
Unlock for access to all 133 flashcards in this deck.
Unlock Deck
k this deck
50
Identify the compound that reacts with amino acids to form a fluorescent purple product.
A) 2,4-DNP
B) ninhydrin
C) methyl orange
D) methyl red
E) phenolphthalein
A) 2,4-DNP
B) ninhydrin
C) methyl orange
D) methyl red
E) phenolphthalein
Unlock Deck
Unlock for access to all 133 flashcards in this deck.
Unlock Deck
k this deck
51
What is the pI of the following amino acid? 
A) 1.16
B) 4.81
C) 5.97
D) 9.62
E) none of these

A) 1.16
B) 4.81
C) 5.97
D) 9.62
E) none of these
Unlock Deck
Unlock for access to all 133 flashcards in this deck.
Unlock Deck
k this deck
52
The pH at which the concentration of the zwitterionic form of an amino acid is at a maximum value is called the _______.
A) dipolar point
B) electric point
C) neutral point
D) isoelectric point
E) none of these
A) dipolar point
B) electric point
C) neutral point
D) isoelectric point
E) none of these
Unlock Deck
Unlock for access to all 133 flashcards in this deck.
Unlock Deck
k this deck
53
Which of the following amino acids have a pI around pH 10?

A) I
B) II
C) III
D) IV
E) V

A) I
B) II
C) III
D) IV
E) V
Unlock Deck
Unlock for access to all 133 flashcards in this deck.
Unlock Deck
k this deck
54
Which of the following is used to detect the presence of amino acids using chromatography?
A) 2,4-DNP
B) methyl orange
C) phenolphthalein
D) ninhydrin
E) methyl red
A) 2,4-DNP
B) methyl orange
C) phenolphthalein
D) ninhydrin
E) methyl red
Unlock Deck
Unlock for access to all 133 flashcards in this deck.
Unlock Deck
k this deck
55
What is the pI of the following amino acid? 
A) 2.76
B) 5.74
C) 6.62
D) 7.50
E) none of these

A) 2.76
B) 5.74
C) 6.62
D) 7.50
E) none of these
Unlock Deck
Unlock for access to all 133 flashcards in this deck.
Unlock Deck
k this deck
56
Which of the following amino acids will not migrate towards the cathode/anode at pH 6?
Phenylalanine: pI = 5.5
Leucine: pI = 6
Phenylalanine: pI = 5.5
Leucine: pI = 6
Unlock Deck
Unlock for access to all 133 flashcards in this deck.
Unlock Deck
k this deck
57
Which of the following amino acids will migrate towards the cathode at pH 7?
Glycine: pI = 6.0
Lysine: pI = 9.7
Glycine: pI = 6.0
Lysine: pI = 9.7
Unlock Deck
Unlock for access to all 133 flashcards in this deck.
Unlock Deck
k this deck
58
Which of the following amino acids will move the farthest when subjected to electrophoresis at pH 7? 
A) I
B) II
C) III
D) II and III
E) none of these

A) I
B) II
C) III
D) II and III
E) none of these
Unlock Deck
Unlock for access to all 133 flashcards in this deck.
Unlock Deck
k this deck
59
Which of the following amino acids have a pI around pH 3?

A) I
B) II
C) III
D) IV
E) V

A) I
B) II
C) III
D) IV
E) V
Unlock Deck
Unlock for access to all 133 flashcards in this deck.
Unlock Deck
k this deck
60
Which amino acid is produced from the following reaction sequence? 
A) alanine
B) valine
C) leucine
D) isoleucine
E) none of these

A) alanine
B) valine
C) leucine
D) isoleucine
E) none of these
Unlock Deck
Unlock for access to all 133 flashcards in this deck.
Unlock Deck
k this deck
61
Which of the following aldehydes would produce glycine using a Strecker synthesis?
A) methanal
B) ethanal
C) propanal
D) butanal
A) methanal
B) ethanal
C) propanal
D) butanal
Unlock Deck
Unlock for access to all 133 flashcards in this deck.
Unlock Deck
k this deck
62
Provide the structure of the amino acid produced from the following reaction sequence. 

Unlock Deck
Unlock for access to all 133 flashcards in this deck.
Unlock Deck
k this deck
63
Provide the structure of the amino acid produced from the following reaction. 

Unlock Deck
Unlock for access to all 133 flashcards in this deck.
Unlock Deck
k this deck
64
Provide the structure of the amino acid produced from the following reaction. 

Unlock Deck
Unlock for access to all 133 flashcards in this deck.
Unlock Deck
k this deck
65
How will you prepare phenylalanine using a Hell-Volhard-Zelinski reaction?
Unlock Deck
Unlock for access to all 133 flashcards in this deck.
Unlock Deck
k this deck
66
Which of the following alkenes is used to prepare isoleucine using an asymmetric catalytic hydrogenation reaction?

A) I
B) II
C) III
D) IV
E) none of these

A) I
B) II
C) III
D) IV
E) none of these
Unlock Deck
Unlock for access to all 133 flashcards in this deck.
Unlock Deck
k this deck
67
Provide the structure of the amino acid produced from the following reaction sequence. 

Unlock Deck
Unlock for access to all 133 flashcards in this deck.
Unlock Deck
k this deck
68
Which amino acid is produced from the following reaction sequence? 
A) alanine
B) valine
C) leucine
D) isoleucine
E) none of these

A) alanine
B) valine
C) leucine
D) isoleucine
E) none of these
Unlock Deck
Unlock for access to all 133 flashcards in this deck.
Unlock Deck
k this deck
69
Which of the following is a correct bond-line structure for the tripeptide Val-Asp-Ala?

A) I
B) II
C) III
D) IV
E) none of these

A) I
B) II
C) III
D) IV
E) none of these
Unlock Deck
Unlock for access to all 133 flashcards in this deck.
Unlock Deck
k this deck
70
Which of the following aldehydes would produce isoleucine using a Strecker synthesis?
A) 3-methylbutanal
B) 2-methylbutanal
C) 2-methylpropanal
D) propanal
E) none of these
A) 3-methylbutanal
B) 2-methylbutanal
C) 2-methylpropanal
D) propanal
E) none of these
Unlock Deck
Unlock for access to all 133 flashcards in this deck.
Unlock Deck
k this deck
71
In the Hell-Volhard-Zelinski reaction, the ___- carbon of the carboxylic acid is halogenated.
A) alpha
B) beta
C) gamma
D) delta
E) epsilon
A) alpha
B) beta
C) gamma
D) delta
E) epsilon
Unlock Deck
Unlock for access to all 133 flashcards in this deck.
Unlock Deck
k this deck
72
Which amino acid is produced from the following reaction? 
A) methionine
B) serine
C) cysteine
D) lysine
E) none of these

A) methionine
B) serine
C) cysteine
D) lysine
E) none of these
Unlock Deck
Unlock for access to all 133 flashcards in this deck.
Unlock Deck
k this deck
73
Which amino acid is produced from the following reaction? 
A) methionine
B) serine
C) cysteine
D) lysine
E) none of these

A) methionine
B) serine
C) cysteine
D) lysine
E) none of these
Unlock Deck
Unlock for access to all 133 flashcards in this deck.
Unlock Deck
k this deck
74
How will you prepare glycine staring with ethanol and using a Hell-Volhard-Zelinski reaction?
Unlock Deck
Unlock for access to all 133 flashcards in this deck.
Unlock Deck
k this deck
75
Provide the reagents necessary to prepare cysteine using a Strecker synthesis.
Unlock Deck
Unlock for access to all 133 flashcards in this deck.
Unlock Deck
k this deck
76
Which amino acid is produced from the following reaction sequence? 
A) alanine
B) valine
C) leucine
D) isoleucine
E) none of these

A) alanine
B) valine
C) leucine
D) isoleucine
E) none of these
Unlock Deck
Unlock for access to all 133 flashcards in this deck.
Unlock Deck
k this deck
77
Provide the reagents necessary to synthesize the following amino acid via the amidomalonate synthesis. 

Unlock Deck
Unlock for access to all 133 flashcards in this deck.
Unlock Deck
k this deck
78
Provide the reagents necessary to synthesize the following amino acid via the amidomalonate synthesis. 

Unlock Deck
Unlock for access to all 133 flashcards in this deck.
Unlock Deck
k this deck
79
Provide the structure of the amino acid produced from the following reaction sequence. 

Unlock Deck
Unlock for access to all 133 flashcards in this deck.
Unlock Deck
k this deck
80
Provide the reagents necessary to prepare phenylalanine using a Strecker synthesis.
Unlock Deck
Unlock for access to all 133 flashcards in this deck.
Unlock Deck
k this deck

