Deck 5: Stereochemistry at Tetrahedral Centers
Question
Question
Question
Question
Question
Question
Question
Question
Question
Question
Question
Question
Question
Question
Question
Question
Question
Question
Question
Question
Question
Question
Question
Question
Question
Question
Question
Question
Question
Question
Question
Question
Question
Unlock Deck
Sign up to unlock the cards in this deck!
Unlock Deck
Unlock Deck
1/33
Play
Full screen (f)
Deck 5: Stereochemistry at Tetrahedral Centers
1
Instructions: Place asterisks at all the chirality centers in each molecule below.
Place asterisks:

Place asterisks:


2
Instructions: Identify the indicated hydrogens in the following molecules as pro-R or pro-S.
Identify:

Identify:


3
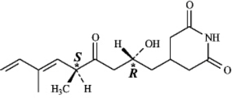
Instructions: Consider the structure of streptimidone below to answer the following question(s).

Refer to instructions.Assign R or S configuration to each chirality center indicated in streptimidone.

Refer to instructions.Assign R or S configuration to each chirality center indicated in streptimidone.

4
Instructions: Identify the indicated hydrogens in the following molecules as pro-R or pro-S.
Identify:

Identify:

Unlock Deck
Unlock for access to all 33 flashcards in this deck.
Unlock Deck
k this deck
5
Instructions: Consider the structure of streptimidone below to answer the following question(s).

Refer to instructions.Does streptimidone have a meso stereoisomer? Explain.

Refer to instructions.Does streptimidone have a meso stereoisomer? Explain.
Unlock Deck
Unlock for access to all 33 flashcards in this deck.
Unlock Deck
k this deck
6
The biological importance of enantiomers arises from?
A)Biological reactions involve receptor molecules.
B)Biological receptors are chiral.
C)Biological receptors require a specific enantiomer for reaction.
D)Each enantiomer has different biological properties.
E)all of these
A)Biological reactions involve receptor molecules.
B)Biological receptors are chiral.
C)Biological receptors require a specific enantiomer for reaction.
D)Each enantiomer has different biological properties.
E)all of these
Unlock Deck
Unlock for access to all 33 flashcards in this deck.
Unlock Deck
k this deck
7
(-)-cholesterol
A)does not have a chiral center.
B)is dextrorotatory.
C)rotates the plane of polarized light counterclockwise.
D)does not rotate polarized light.
A)does not have a chiral center.
B)is dextrorotatory.
C)rotates the plane of polarized light counterclockwise.
D)does not rotate polarized light.
Unlock Deck
Unlock for access to all 33 flashcards in this deck.
Unlock Deck
k this deck
8
Rank the following substituent groups from highest to lowest priority according to the sequencing rules.
CO2CH3 CO2H OH Cl
CO2CH3 CO2H OH Cl
Unlock Deck
Unlock for access to all 33 flashcards in this deck.
Unlock Deck
k this deck
9
The numbers on the carbon center of the following molecule represent atomic numbers. 
The molecule is in
A)the R configuration.
B)the S configuration.
C)The carbon is not a chiral center in this molecule.
D)The exact configuration cannot be determined without knowing additional atomic numbers.

The molecule is in
A)the R configuration.
B)the S configuration.
C)The carbon is not a chiral center in this molecule.
D)The exact configuration cannot be determined without knowing additional atomic numbers.
Unlock Deck
Unlock for access to all 33 flashcards in this deck.
Unlock Deck
k this deck
10
Which of the following has a plane of symmetry?
A)boot
B)laboratory beaker
C)hammer
D)both b and c
E)none of these
A)boot
B)laboratory beaker
C)hammer
D)both b and c
E)none of these
Unlock Deck
Unlock for access to all 33 flashcards in this deck.
Unlock Deck
k this deck
11
Instructions: In the molecules below,assign R,S configurations to the chirality center indicated with an arrow.

Refer to instructions.The configuration of this carbon atom is _____.

Refer to instructions.The configuration of this carbon atom is _____.
Unlock Deck
Unlock for access to all 33 flashcards in this deck.
Unlock Deck
k this deck
12
The following atoms are commonly encountered in organic molecules.For which is it not possible to isolate enantiomers due to rapid inversion?
A)trivalent phosphorus
B)trivalent nitrogen
C)divalent sulfur
D)trivalent sulfur
E)both b and c
A)trivalent phosphorus
B)trivalent nitrogen
C)divalent sulfur
D)trivalent sulfur
E)both b and c
Unlock Deck
Unlock for access to all 33 flashcards in this deck.
Unlock Deck
k this deck
13
Which of the following is the definition of a pair of enantiomers?
A)A pair of structures that are superimposable mirror images of one another
B)A pair of stereoisomers that are non-superimposable mirror images of one another
C)A pair of stereoisomers that are not mirror images of one another
D)A pair of stereoisomers that have equal specific rotations
A)A pair of structures that are superimposable mirror images of one another
B)A pair of stereoisomers that are non-superimposable mirror images of one another
C)A pair of stereoisomers that are not mirror images of one another
D)A pair of stereoisomers that have equal specific rotations
Unlock Deck
Unlock for access to all 33 flashcards in this deck.
Unlock Deck
k this deck
14
Instructions: Place asterisks at all the chirality centers in each molecule below.
Place asterisks:

Place asterisks:

Unlock Deck
Unlock for access to all 33 flashcards in this deck.
Unlock Deck
k this deck
15
Which of the following is the definition of a pair of diastereomers?
A)A pair of structures that are superimposable mirror images of one another
B)A pair of stereoisomers that are non-superimposable mirror images of one another
C)A pair of stereoisomers that are not mirror images of one another
D)A pair of stereoisomers that have equal specific rotations
A)A pair of structures that are superimposable mirror images of one another
B)A pair of stereoisomers that are non-superimposable mirror images of one another
C)A pair of stereoisomers that are not mirror images of one another
D)A pair of stereoisomers that have equal specific rotations
Unlock Deck
Unlock for access to all 33 flashcards in this deck.
Unlock Deck
k this deck
16
If (+)-sucrose has a specific rotation of +66.47,what is the specific rotation of (-)-sucrose?
A)+66.47
B)-66.47
C)+33.43
D)-33.43
E)Must be determined with a polarimeter.
A)+66.47
B)-66.47
C)+33.43
D)-33.43
E)Must be determined with a polarimeter.
Unlock Deck
Unlock for access to all 33 flashcards in this deck.
Unlock Deck
k this deck
17
Which of the following physical properties can be used to identify a compound?
A)R
B)S
C)a
D)[a]D
A)R
B)S
C)a
D)[a]D
Unlock Deck
Unlock for access to all 33 flashcards in this deck.
Unlock Deck
k this deck
18
Instructions: Place asterisks at all the chirality centers in each molecule below.
Place asterisks:

Place asterisks:

Unlock Deck
Unlock for access to all 33 flashcards in this deck.
Unlock Deck
k this deck
19
Instructions: In the molecules below,assign R,S configurations to the chirality center indicated with an arrow.

Refer to instructions.The configuration of this carbon atom is _____.

Refer to instructions.The configuration of this carbon atom is _____.
Unlock Deck
Unlock for access to all 33 flashcards in this deck.
Unlock Deck
k this deck
20
2.10 g of an unknown compound was dissolved in 15.00 mL of ethanol.The sample was placed in a 10.0 cm cell in a polarimeter and the angle of rotation was determined to be -18.48 .What is the specific rotation of this unknown and specify if the compound is levorotatory or dextrorotatory?
Unlock Deck
Unlock for access to all 33 flashcards in this deck.
Unlock Deck
k this deck
21
Which of the following correctly describes a molecule that is achiral?
A)Non-superimposability of the molecule on its mirror image
B)Superimposability of the molecule on its mirror image
C)Contains a carbon atom with four different substituents
D)Does not have a plane of symmetry
E)Both b and d
A)Non-superimposability of the molecule on its mirror image
B)Superimposability of the molecule on its mirror image
C)Contains a carbon atom with four different substituents
D)Does not have a plane of symmetry
E)Both b and d
Unlock Deck
Unlock for access to all 33 flashcards in this deck.
Unlock Deck
k this deck
22
Which of the following have the R configuration? 
A)only 1
B)only 2
C)only 1 and 2
D)1,2 and 3

A)only 1
B)only 2
C)only 1 and 2
D)1,2 and 3
Unlock Deck
Unlock for access to all 33 flashcards in this deck.
Unlock Deck
k this deck
23
Which of the following have the S configuration? 
A)only 1
B)only 2
C)only 1 and 2
D)1,2 and 3

A)only 1
B)only 2
C)only 1 and 2
D)1,2 and 3
Unlock Deck
Unlock for access to all 33 flashcards in this deck.
Unlock Deck
k this deck
24
How many stereoisomers of 3-bromo-2-butanol exist? 
A)1
B)2
C)3
D)4

A)1
B)2
C)3
D)4
Unlock Deck
Unlock for access to all 33 flashcards in this deck.
Unlock Deck
k this deck
25
Which of the following statements is true regarding pairs of enantiomers?
A)They have identical melting points
B)They have identical boiling points.
C)They rotate plane-polarized light in opposite directions
D)They produce different products in reactions with chiral reagents
E)all of these
A)They have identical melting points
B)They have identical boiling points.
C)They rotate plane-polarized light in opposite directions
D)They produce different products in reactions with chiral reagents
E)all of these
Unlock Deck
Unlock for access to all 33 flashcards in this deck.
Unlock Deck
k this deck
26
Which of the following is the definition of a meso compound?
A)A molecule with chirality centers which is chiral
B)A molecule with chirality centers which is not chiral
C)A diastereomer with no chirality centers
D)A chiral compound with more than one chirality center
A)A molecule with chirality centers which is chiral
B)A molecule with chirality centers which is not chiral
C)A diastereomer with no chirality centers
D)A chiral compound with more than one chirality center
Unlock Deck
Unlock for access to all 33 flashcards in this deck.
Unlock Deck
k this deck
27
What is the relationship between the following pair of structures? 
A)They are enantiomers
B)They are diastereomers
C)The are constitutional isomers
D)They are identical

A)They are enantiomers
B)They are diastereomers
C)The are constitutional isomers
D)They are identical
Unlock Deck
Unlock for access to all 33 flashcards in this deck.
Unlock Deck
k this deck
28
How many stereoisomers of 2,3-dimethylbutane exist? 
A)1
B)2
C)3
D)4

A)1
B)2
C)3
D)4
Unlock Deck
Unlock for access to all 33 flashcards in this deck.
Unlock Deck
k this deck
29
Which of the following compounds is (are)achiral? 
A)only 1
B)only 1 and 2
C)only 2 and 3
D)1,2 and 3

A)only 1
B)only 1 and 2
C)only 2 and 3
D)1,2 and 3
Unlock Deck
Unlock for access to all 33 flashcards in this deck.
Unlock Deck
k this deck
30
What is the relationship between the following pair of structures? 
A)They are enantiomers
B)They are diastereomers
C)The are constitutional isomers
D)They are identical

A)They are enantiomers
B)They are diastereomers
C)The are constitutional isomers
D)They are identical
Unlock Deck
Unlock for access to all 33 flashcards in this deck.
Unlock Deck
k this deck
31
How many stereoisomers of 3-chloro-2-methylbutane exist? 
A)1
B)2
C)3
D)4

A)1
B)2
C)3
D)4
Unlock Deck
Unlock for access to all 33 flashcards in this deck.
Unlock Deck
k this deck
32
Which of the following structures represent the same stereoisomer? 
A)only 1 and 2
B)only 1 and 3
C)only 2 and 3
D)1,2 and 3

A)only 1 and 2
B)only 1 and 3
C)only 2 and 3
D)1,2 and 3
Unlock Deck
Unlock for access to all 33 flashcards in this deck.
Unlock Deck
k this deck
33
Which of the following structures contain a plane of symmetry? 
A)1
B)2
C)3
D)All three contain a plane of symmetry

A)1
B)2
C)3
D)All three contain a plane of symmetry
Unlock Deck
Unlock for access to all 33 flashcards in this deck.
Unlock Deck
k this deck

