Deck 21: Heparin Infusion Calculations
Question
Question
Question
Question
Question
Question
Question
Question
Question
Question
Question
Question
Question
Question
Question
Question
Question
Question
Question
Question
Question
Question
Question
Question
Question
Unlock Deck
Sign up to unlock the cards in this deck!
Unlock Deck
Unlock Deck
1/25
Play
Full screen (f)
Deck 21: Heparin Infusion Calculations
1
The order is for 1200 units/hr of heparin. The solution strength is 30,000 units heparin in 1 L D5W. Calculate the flow rate in mL/hr.
40 mL/hr
1 L
1000 mL/L = 1000 mL

1 L
1000 mL/L = 1000 mL

2
The order is to infuse 500 mL NS with 25,000 units heparin at 950 units/hr. Calculate the flow rate in mL/hr.
19 mL/hr


3
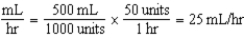
An IV of 500 mL D5W with 1000 units of heparin is to infuse at 50 units/hr. Calculate the flow rate in mL/hr.
25 mL/hr


4
A solution of 5000 units heparin in 100 mL NS is to infuse at 200 units/hr. Calculate the flow rate in mL/hr.
Unlock Deck
Unlock for access to all 25 flashcards in this deck.
Unlock Deck
k this deck
5
The order is for 1100 units heparin per hour. The solution strength is 12,000 units in 500 mL D5W. Calculate the flow rate in mL/hr.
Unlock Deck
Unlock for access to all 25 flashcards in this deck.
Unlock Deck
k this deck
6
The patient is to receive heparin 700 units/hr via pump. The IV solution available has 20,000 units in 1000 mL NS. Calculate the flow rate in mL/hr.
Unlock Deck
Unlock for access to all 25 flashcards in this deck.
Unlock Deck
k this deck
7
Heparin 1500 units per hour is to be infused via a volumetric pump using an IV labeled 500 mL 0.9% sodium chloride with heparin 18,000 units. Calculate the flow rate in mL/hr.
Unlock Deck
Unlock for access to all 25 flashcards in this deck.
Unlock Deck
k this deck
8
The order is to infuse 1L D5W with 45,000 units of heparin at 1450 units/hr. Calculate the flow rate in mL/hr.
Unlock Deck
Unlock for access to all 25 flashcards in this deck.
Unlock Deck
k this deck
9
1000 mL D5W with 40,000 units heparin is to infuse at 1575 units/hr. Calculate the flow rate in mL/hr.
Unlock Deck
Unlock for access to all 25 flashcards in this deck.
Unlock Deck
k this deck
10
250 mL NS with 15,000 units of heparin is to infuse via pump at 330 units/hr. Calculate the flow rate in mL/hr.
Unlock Deck
Unlock for access to all 25 flashcards in this deck.
Unlock Deck
k this deck
11
A rate of 200 units/hr is ordered using a solution of 15,000 units heparin in 250 mL. Calculate the flow rate in mL/hr.
Unlock Deck
Unlock for access to all 25 flashcards in this deck.
Unlock Deck
k this deck
12
The client is to receive 1875 units/hr of heparin using a solution of 30,000 units in 1000 mL. Calculate the flow rate in mL/hr.
Unlock Deck
Unlock for access to all 25 flashcards in this deck.
Unlock Deck
k this deck
13
A solution of 10,000 units heparin in 500 mL D5W is to infuse via volumetric pump at 400 units/hr. Calculate the flow rate in mL/hr.
Unlock Deck
Unlock for access to all 25 flashcards in this deck.
Unlock Deck
k this deck
14
Heparin 2000 units/hr is to infuse utilizing an available solution of 50,000 units in 500 mL. Calculate the flow rate in mL/hr.
Unlock Deck
Unlock for access to all 25 flashcards in this deck.
Unlock Deck
k this deck
15
An IV solution of 25,000 units heparin in 1 L is ordered to infuse at 850 units/hr. Calculate the flow rate in mL/hr.
Unlock Deck
Unlock for access to all 25 flashcards in this deck.
Unlock Deck
k this deck
16
The order is to infuse 650 units/hr of heparin from a solution of 10,000 units in 250 mL D5W. Calculate the flow rate in mL/hr.
Unlock Deck
Unlock for access to all 25 flashcards in this deck.
Unlock Deck
k this deck
17
An IV of 1000 mL D5W with 30,000 units heparin is to infuse at 880 units/hr. Calculate the flow rate in mL/hr.
Unlock Deck
Unlock for access to all 25 flashcards in this deck.
Unlock Deck
k this deck
18
1000 mL NS with 35,000 units of heparin is to infuse at 690 units/hr. Calculate the flow rate in mL/hr.
Unlock Deck
Unlock for access to all 25 flashcards in this deck.
Unlock Deck
k this deck
19
The patient is to receive a heparin infusion of 580 units/hr from a solution containing 12,000 units of heparin in 500 mL. Calculate the flow rate in mL/hr.
Unlock Deck
Unlock for access to all 25 flashcards in this deck.
Unlock Deck
k this deck
20
Heparin 1640 units/hr is to infuse using a solution of 40,000 units in 500 mL. Calculate the flow rate in mL/hr.
Unlock Deck
Unlock for access to all 25 flashcards in this deck.
Unlock Deck
k this deck
21
The patient is to receive heparin 1700 units/hr using an available solution of 25,000 units heparin in 1000 mL NS. Calculate the flow rate in mL/hr.
Unlock Deck
Unlock for access to all 25 flashcards in this deck.
Unlock Deck
k this deck
22
An infusion pump is to be used to administer 1550 units/hr of heparin from a solution of 500 mL D5W with 35,000 units. Calculate the flow rate in mL/hr.
Unlock Deck
Unlock for access to all 25 flashcards in this deck.
Unlock Deck
k this deck
23
250 mL D5W with 10,000 units heparin is to infuse via pump at 425 units/hr. Calculate the flow rate in mL/hr.
Unlock Deck
Unlock for access to all 25 flashcards in this deck.
Unlock Deck
k this deck
24
A solution of 8000 units of heparin in 500 mL D5W is to infuse at 230 units/hr. Calculate the flow rate in mL/hr.
Unlock Deck
Unlock for access to all 25 flashcards in this deck.
Unlock Deck
k this deck
25
The order is to infuse heparin at 315 units/hr using a solution strength of 14,000 units in 250 mL D5NS. Calculate the flow rate in mL/hr.
Unlock Deck
Unlock for access to all 25 flashcards in this deck.
Unlock Deck
k this deck

