Deck 15: Electric Charge force and Energy
Question
Question
Question
Question
Question
Question
Question
Question
Question
Question
Question
Question
Question
Question
Question
Question
Question
Question
Question
Question
Question
Question
Question
Question
Question
Question
Question
Question
Question
Question
Question
Question
Question
Question
Question
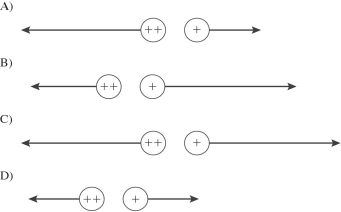
Question
Question
Question
Question
Question
Question
Question
Question
Question
Question
Question
Question
Question
Question
Question
Question
Question
Question
Question
Question
Question
Question
Question
Question
Question
Question
Question
Question
Question
Question
Question
Question
Question
Question
Question
Question
Question
Question
Question
Question
Question
Question
Question
Unlock Deck
Sign up to unlock the cards in this deck!
Unlock Deck
Unlock Deck
1/78
Play
Full screen (f)
Deck 15: Electric Charge force and Energy
1
Three equal charges +Q are at three of the corners of a square of side d.A fourth charge +Q of equal magnitude is at the center of the square as shown in the figure Which one of the arrows shown represents the sum of the forces exerted on the charge at the center of the square? 
A)A
B)B
C)C
D)D

A)A
B)B
C)C
D)D
B
2
A plastic rod is charged up by rubbing a wool cloth,and brought to an initially neutral metallic sphere that is insulated from ground.It is allowed to touch the sphere for a few seconds,and then is separated from the sphere by a small distance.After the rod is separated,the rod
A)is repelled by the sphere.
B)is attracted to the sphere.
C)feels no force due to the sphere.
A)is repelled by the sphere.
B)is attracted to the sphere.
C)feels no force due to the sphere.
A
3
Electrically neutral objects cannot exert an electrical force on each other,but they can exert a gravitational force on each other.
False
4
A hydrogen nucleus,which has a charge +e,is situated to the left of a carbon nucleus,which has a charge +6e.Which statement is true?
A)The electrical force exerted on the hydrogen nucleus is to the left, and the magnitude is equal to the force exerted on the carbon nucleus.
B)The electrical force exerted on by the hydrogen nucleus is to the left, and the magnitude is greater than the force exerted on the carbon nucleus.
C)The electrical force exerted on by the hydrogen nucleus is to the left, and the magnitude is less than the force exerted on the carbon nucleus.
D)The electrical force exerted on by the hydrogen nucleus is to the right, and the magnitude is equal to the force exerted on the carbon nucleus.
A)The electrical force exerted on the hydrogen nucleus is to the left, and the magnitude is equal to the force exerted on the carbon nucleus.
B)The electrical force exerted on by the hydrogen nucleus is to the left, and the magnitude is greater than the force exerted on the carbon nucleus.
C)The electrical force exerted on by the hydrogen nucleus is to the left, and the magnitude is less than the force exerted on the carbon nucleus.
D)The electrical force exerted on by the hydrogen nucleus is to the right, and the magnitude is equal to the force exerted on the carbon nucleus.
Unlock Deck
Unlock for access to all 78 flashcards in this deck.
Unlock Deck
k this deck
5
A negatively-charged rod is brought close to (but does not touch)two neutral spheres that are in contact with each other but insulated from the ground.If the two spheres are then separated,what kind of charge will be on the spheres?
A)The sphere near the charged rod becomes positive and the other one becomes negative.
B)The sphere near the charged rod becomes negative and the other one becomes positive.
C)The spheres do not get any charge.
D)Both spheres become negative.
E)Both spheres become positive.
A)The sphere near the charged rod becomes positive and the other one becomes negative.
B)The sphere near the charged rod becomes negative and the other one becomes positive.
C)The spheres do not get any charge.
D)Both spheres become negative.
E)Both spheres become positive.
Unlock Deck
Unlock for access to all 78 flashcards in this deck.
Unlock Deck
k this deck
6
Four point charges of equal magnitudes but with varying signs are arranged on three of the corners and at the center of the square of side d as shown in the figure.Which one of the arrows shown represents the sum of the forces exerted on the center charge? 
A)A
B)B
C)C
D)D

A)A
B)B
C)C
D)D
Unlock Deck
Unlock for access to all 78 flashcards in this deck.
Unlock Deck
k this deck
7
Two tiny beads are 25 cm apart with no other charges or fields present.Bead A carries 10 µC of charge and bead B carries 1 µC.Which one of the following statements is true about the magnitudes of the electric forces exerted on these beads?
A)The force exerted on A is 10 times the force exerted on B.
B)The force exerted on B is 10 times the force exerted on A.
C)The force exerted on A is exactly equal to the force exerted on B.
D)The force exerted on A is 100 times the force exerted on B.
E)The force exerted on B is 100 times the force exerted on A.
A)The force exerted on A is 10 times the force exerted on B.
B)The force exerted on B is 10 times the force exerted on A.
C)The force exerted on A is exactly equal to the force exerted on B.
D)The force exerted on A is 100 times the force exerted on B.
E)The force exerted on B is 100 times the force exerted on A.
Unlock Deck
Unlock for access to all 78 flashcards in this deck.
Unlock Deck
k this deck
8
Two very small plastic balls of equal mass are released from rest.One of them carries +10 µC of excess charge and the other one carries +1µC of charge.No other charges or fields are present.Which of the following statements are true about them as they move away from each other? (There may be more than one correct choice.)
A)The acceleration of the 10-µC ball is 10 times that of the 1-µC ball.
B)The acceleration of the 1-µC ball is 10 times that of the 10-µC ball.
C)The balls always have accelerations of equal magnitude.
D)The speed of the balls keeps increasing.
E)The acceleration of the balls keeps increasing.
A)The acceleration of the 10-µC ball is 10 times that of the 1-µC ball.
B)The acceleration of the 1-µC ball is 10 times that of the 10-µC ball.
C)The balls always have accelerations of equal magnitude.
D)The speed of the balls keeps increasing.
E)The acceleration of the balls keeps increasing.
Unlock Deck
Unlock for access to all 78 flashcards in this deck.
Unlock Deck
k this deck
9
Two point charges,Q1 and Q2,are separated by a distance R.If the magnitudes of both charges are doubled and their separation is also doubled,what happens to the electrical force that each charge exerts on the other one?
A)It increases by a factor of 2.
B)It increases by a factor of
C)It is reduced by a factor of
D)It increases by a factor of 4.
E)It remains the same.
A)It increases by a factor of 2.
B)It increases by a factor of

C)It is reduced by a factor of

D)It increases by a factor of 4.
E)It remains the same.
Unlock Deck
Unlock for access to all 78 flashcards in this deck.
Unlock Deck
k this deck
10
A negatively-charged plastic rod is brought close to (but does not touch)a neutral metal sphere that is connected to ground.After waiting a few seconds,the ground connection is removed (without touching the sphere),and after that the rod is also removed.The sphere is now
A)negatively charged.
B)positively charged.
C)neutral.
A)negatively charged.
B)positively charged.
C)neutral.
Unlock Deck
Unlock for access to all 78 flashcards in this deck.
Unlock Deck
k this deck
11
Two uncharged metal spheres,#1 and #2,are mounted on insulating support rods.A third metal sphere,carrying a positive charge,is then placed near #2.Now a copper wire is momentarily connected between #1 and #2 and then removed.Finally,sphere #3 is removed.In this final state
A)spheres #1 and #2 are still uncharged.
B)sphere #1 carries positive charge and #2 carries negative charge.
C)sphere #1 carries negative charge and #2 carries positive charge.
D)spheres #1 and #2 both carry positive charge.
E)spheres #1 and #2 both carry negative charge.
A)spheres #1 and #2 are still uncharged.
B)sphere #1 carries positive charge and #2 carries negative charge.
C)sphere #1 carries negative charge and #2 carries positive charge.
D)spheres #1 and #2 both carry positive charge.
E)spheres #1 and #2 both carry negative charge.
Unlock Deck
Unlock for access to all 78 flashcards in this deck.
Unlock Deck
k this deck
12
Four point charges of varying magnitude and sign are arranged on the corners of the square of side d as shown in the figure.Which one of the arrows shown represents the sum of the forces exerted on the point charge with a charge +Q? 
A)A
B)B
C)C
D)D

A)A
B)B
C)C
D)D
Unlock Deck
Unlock for access to all 78 flashcards in this deck.
Unlock Deck
k this deck
13
Two identical small charged spheres are a certain distance apart,and there is an electrostatic force of magnitude F that they exert on each other.With time,charge gradually diminishes on both spheres by leaking off.When each of the spheres has lost half its initial charge,what will be the magnitude of the electrostatic force exerted on each one?
A)1/16 F
B)1/8 F
C)1/4 F
D)1/2 F
E)1/
F
A)1/16 F
B)1/8 F
C)1/4 F
D)1/2 F
E)1/
F Unlock Deck
Unlock for access to all 78 flashcards in this deck.
Unlock Deck
k this deck
14
If two objects are electrically attracted to each other,
A)both objects must be negatively charged.
B)both objects must be positively charged.
C)one object must be negatively charged and the other object must be positively charged.
D)one of the objects could be electrically neutral.
E)None of the above statements are absolutely true.
A)both objects must be negatively charged.
B)both objects must be positively charged.
C)one object must be negatively charged and the other object must be positively charged.
D)one of the objects could be electrically neutral.
E)None of the above statements are absolutely true.
Unlock Deck
Unlock for access to all 78 flashcards in this deck.
Unlock Deck
k this deck
15
Four point charges Q of equal magnitude and sign are arranged on three of the corners of the square of side d as shown in the figure.Which one of the arrows shown represents the sum of the forces exerted on the charge at the upper right hand corner of the square? 
A)A
B)B
C)C
D)D

A)A
B)B
C)C
D)D
Unlock Deck
Unlock for access to all 78 flashcards in this deck.
Unlock Deck
k this deck
16
In outer space,a positive charge q is released near a positive fixed charge Q,as shown in the figure.As q moves away from Q,what is true about the motion of q? (There may be more than one correct choice.) 
A)It will move with decreasing speed.
B)It will move with constant acceleration.
C)It will move with increasing acceleration.
D)It will move with decreasing acceleration.
E)It will move with increasing speed.

A)It will move with decreasing speed.
B)It will move with constant acceleration.
C)It will move with increasing acceleration.
D)It will move with decreasing acceleration.
E)It will move with increasing speed.
Unlock Deck
Unlock for access to all 78 flashcards in this deck.
Unlock Deck
k this deck
17
A small charged plastic ball is vertically above another charged small ball in a frictionless test tube as shown in the figure.The balls are in equilibrium a distance d apart.If the charge on each ball is doubled,the equilibrium distance between the balls in the test tube would become 
A)
d.
B)2d.
C)4d.
D)8d.
E)d/4.

A)
d.B)2d.
C)4d.
D)8d.
E)d/4.
Unlock Deck
Unlock for access to all 78 flashcards in this deck.
Unlock Deck
k this deck
18
Four point charges of equal magnitude but with varying signs are arranged on three of the corners and at the center of the square of side d as shown in the figure.Which one of the arrows shown represents the sum of the forces exerted on the center charge? 
A)A
B)B
C)C
D)D

A)A
B)B
C)C
D)D
Unlock Deck
Unlock for access to all 78 flashcards in this deck.
Unlock Deck
k this deck
19
Two point charges,Q1 and Q2,are separated by a distance R.If the magnitudes of both charges are halved and their separation is also halved,what happens to the electrical force that each charge exerts on the other one?
A)It increases by a factor of 16.
B)It increases by a factor of 8.
C)It increases by a factor of 2.
D)It increases by a factor of 4.
E)It remains the same.
A)It increases by a factor of 16.
B)It increases by a factor of 8.
C)It increases by a factor of 2.
D)It increases by a factor of 4.
E)It remains the same.
Unlock Deck
Unlock for access to all 78 flashcards in this deck.
Unlock Deck
k this deck
20
X and Y are two initially uncharged metal spheres on insulating stands,and they are in contact with each other.A positively charged rod R is brought close to X as shown in part (a)of the figure.Sphere Y is now moved away from X,as shown in part (b).What are the final charge states of X and Y?A)Both X and Y are neutral.
B)X is positive and Y is neutral.
C)X is neutral and Y is positive.
D)X is negative and Y is positive.
E)Both X and Y are negative.
Unlock Deck
Unlock for access to all 78 flashcards in this deck.
Unlock Deck
k this deck
21
Two protons are fired toward each other in a particle accelerator,with only the electrostatic force being exerted.Which of the following statements must be true about them as they move closer together? (There could be more than one correct choice.)
A)The electric potential energy of the system of the two protons keeps increasing.
B)Their kinetic energy keeps increasing.
C)The electric potential energy of the system of the two protons keeps decreasing.
D)Their kinetic energy keeps decreasing.
E)Their acceleration keeps decreasing.
A)The electric potential energy of the system of the two protons keeps increasing.
B)Their kinetic energy keeps increasing.
C)The electric potential energy of the system of the two protons keeps decreasing.
D)Their kinetic energy keeps decreasing.
E)Their acceleration keeps decreasing.
Unlock Deck
Unlock for access to all 78 flashcards in this deck.
Unlock Deck
k this deck
22
A proton is located at the point (x = 1.0 nm,y = 0.0 nm)and an electron is located at the point
Find the magnitude of the electrostatic force that each one exerts on the other.(k = 1/4πε0 = 9.0 × 109 N ∙ m2/C2,e = 1.6 × 10-19
A)1.4 × 10-11 N
B)5.3 × 10-18 N
C)
C)5.3 × 108 N
D)5.9 × 10-15 N
Find the magnitude of the electrostatic force that each one exerts on the other.(k = 1/4πε0 = 9.0 × 109 N ∙ m2/C2,e = 1.6 × 10-19A)1.4 × 10-11 N
B)5.3 × 10-18 N
C)
C)5.3 × 108 N
D)5.9 × 10-15 N
Unlock Deck
Unlock for access to all 78 flashcards in this deck.
Unlock Deck
k this deck
23
Consider a container of 2.0 g of hydrogen,H2 (one mole).Suppose you removed all the electrons and moved them to the other side of Earth (Earth's radius is 6380 km,k = 1/4πε0 = 9.0 × 109 N ∙ m2/C2,NA = 6.022 × 1023 molecules/mol,e = 1.60 × 10-19
C)
(a)How much charge is left behind after you remove the electrons?
(b)What electric force do the protons exert on the electrons after they are separated as described?
C)
(a)How much charge is left behind after you remove the electrons?
(b)What electric force do the protons exert on the electrons after they are separated as described?
Unlock Deck
Unlock for access to all 78 flashcards in this deck.
Unlock Deck
k this deck
24
Two equal and opposite charges are a small distance apart,forming an electric dipole.A positive charge +q is placed above these charges,as shown in the figure,equidistant from both of them.Which diagram below best gives the direction of the net force the dipole exerts on the charge +q?


Unlock Deck
Unlock for access to all 78 flashcards in this deck.
Unlock Deck
k this deck
25
Two 10¢ coins (dimes)carrying identical charges are lying 2.5 m apart on a table.If an electrostatic force of magnitude 2.0 N is exerted on each coin by the other coin,how large is the charge on each coin? (k = 1/4πε0 = 9.0 × 109 N ∙ m2/C2)
A)2.6 μC
B)26 μC
C)6.7 μC
D)5.2 μC
E)52 μC
A)2.6 μC
B)26 μC
C)6.7 μC
D)5.2 μC
E)52 μC
Unlock Deck
Unlock for access to all 78 flashcards in this deck.
Unlock Deck
k this deck
26
An electron and a proton are released simultaneously from rest and start moving toward each other due to their electrostatic attraction,with no other forces present.Which of the following statements are true just before they are about to collide? (There could be more than one correct choice.)
A)They are closer to the to the initial position of the electron that to the initial position of the proton.
B)They are closer to the to the initial position of the proton that to the initial position of the electron.
C)They are at the midpoint of their initial separation.
D)They both have the same speed.
E)The electrostatic force exerted on the proton is greater than the electrostatic force exerted on the electron.
A)They are closer to the to the initial position of the electron that to the initial position of the proton.
B)They are closer to the to the initial position of the proton that to the initial position of the electron.
C)They are at the midpoint of their initial separation.
D)They both have the same speed.
E)The electrostatic force exerted on the proton is greater than the electrostatic force exerted on the electron.
Unlock Deck
Unlock for access to all 78 flashcards in this deck.
Unlock Deck
k this deck
27
Two electrons are
apart at closest approach.What is the magnitude of the maximum electric force that they exert on each other? (e = 1.60 × 10-19 C,k = 1/4πε0 = 9.0 109 N ∙ m2/C2)
A)5.8 × 10-25 N
B)2.3 × 1010 N
C)2.3 N
D)5.8 × 10-27 N
apart at closest approach.What is the magnitude of the maximum electric force that they exert on each other? (e = 1.60 × 10-19 C,k = 1/4πε0 = 9.0 109 N ∙ m2/C2)A)5.8 × 10-25 N
B)2.3 × 1010 N
C)2.3 N
D)5.8 × 10-27 N
Unlock Deck
Unlock for access to all 78 flashcards in this deck.
Unlock Deck
k this deck
28
When 1.0-µC point charge is 15 m from a second point charge,the magnitude of the force they exert on each other is 1.0 µN.What is the magnitude of the second charge? (k = 1/4πε0 = 9.0 × 109 N ∙ m2/C2)
A)25 C
B)1.0 C
C)10 nC
D)0.025 C
E)25 nC
A)25 C
B)1.0 C
C)10 nC
D)0.025 C
E)25 nC
Unlock Deck
Unlock for access to all 78 flashcards in this deck.
Unlock Deck
k this deck
29
The force of attraction that a -40.0 μC point charge exerts on a +108 μC point charge has magnitude 4.00 N.How far apart are these two charges? (k = 1/4πε0 = 8.99 × 109 N ∙ m2/C2)
A)2.10 m
B)3.67 m
C)3.12 m
D)2.49 m
E)1.13 m
A)2.10 m
B)3.67 m
C)3.12 m
D)2.49 m
E)1.13 m
Unlock Deck
Unlock for access to all 78 flashcards in this deck.
Unlock Deck
k this deck
30
Four charged particles (two having a charge +Q and two having a charge -Q)are arranged in the xy-plane as shown in the figure.The charges are all equidistant from the origin.The amount of work required to move a positively charged particle from point P to point O (both of which are on the z-axis)is 
A)zero.
B)positive.
C)negative.
D)depends on the path in which the charged is moved.

A)zero.
B)positive.
C)negative.
D)depends on the path in which the charged is moved.
Unlock Deck
Unlock for access to all 78 flashcards in this deck.
Unlock Deck
k this deck
31
A hydrogen atom consists of a proton and an electron.If the orbital radius of the electron increases,the electric potential energy of the electron-proton system
A)increases.
B)decreases.
C)remains the same.
D)depends on the zero point of the potential.
A)increases.
B)decreases.
C)remains the same.
D)depends on the zero point of the potential.
Unlock Deck
Unlock for access to all 78 flashcards in this deck.
Unlock Deck
k this deck
32
If a charge generator builds a negative static charge of -
how many electrons are transferred to it during this process.(e = 1.60 × 10-19
A)4.38 × 1013
B)7.0
C)
C)1.12 × 10-18
D)43.8
how many electrons are transferred to it during this process.(e = 1.60 × 10-19A)4.38 × 1013
B)7.0
C)
C)1.12 × 10-18
D)43.8
Unlock Deck
Unlock for access to all 78 flashcards in this deck.
Unlock Deck
k this deck
33
How far apart should two protons be if the electrical force of repulsion exerted on each one is equal to its weight on the earth? (k = 1/4πε0 = 9.0 × 109 N ∙ m2/C2,e = 1.6 × 10-19 C,mproton = 1.67 × 10-27 kg)
Unlock Deck
Unlock for access to all 78 flashcards in this deck.
Unlock Deck
k this deck
34
Two protons are released from rest,with only the electrostatic force exerted on them.Which of the following statements must be true about them as they move apart? (There could be more than one correct choice.)
A)Their electric potential energy keeps increasing.
B)Their kinetic energy keeps increasing.
C)Their electric potential energy keeps decreasing.
D)Their kinetic energy keeps decreasing.
E)Their acceleration keeps decreasing.
A)Their electric potential energy keeps increasing.
B)Their kinetic energy keeps increasing.
C)Their electric potential energy keeps decreasing.
D)Their kinetic energy keeps decreasing.
E)Their acceleration keeps decreasing.
Unlock Deck
Unlock for access to all 78 flashcards in this deck.
Unlock Deck
k this deck
35
A proton and an electron are released from rest,with only the electrostatic forces being exerted.Which of the following statements must be true about them as they move toward each other? (There could be more than one correct choice.)
A)The electric potential energy of the system proton-electron keeps increasing.
B)Their kinetic energy keeps increasing.
C)The electric potential energy of the system proton-electron keeps decreasing.
D)Their kinetic energy keeps decreasing.
E)Their acceleration keeps decreasing.
A)The electric potential energy of the system proton-electron keeps increasing.
B)Their kinetic energy keeps increasing.
C)The electric potential energy of the system proton-electron keeps decreasing.
D)Their kinetic energy keeps decreasing.
E)Their acceleration keeps decreasing.
Unlock Deck
Unlock for access to all 78 flashcards in this deck.
Unlock Deck
k this deck
36
Two small identically charged balls are a certain distance apart.The vectors in the figure show the magnitude and direction of the electrostatic force on each ball due to the other one.Suppose that the charge on the left ball is now doubled (represented by two plus signs).Which vector diagram below best represents the forces that are now exerted on each of the two balls?


Unlock Deck
Unlock for access to all 78 flashcards in this deck.
Unlock Deck
k this deck
37
What is the charge on 1.0 kg of protons? (e = 1.60 × 10-19 C,mproton = 1.67 × 10-27 kg)
A)1.0 C
B)1000 C
C)9.6 × 107 C
D)6.0 × 1026 C
E)6.0 × 1023 C
A)1.0 C
B)1000 C
C)9.6 × 107 C
D)6.0 × 1026 C
E)6.0 × 1023 C
Unlock Deck
Unlock for access to all 78 flashcards in this deck.
Unlock Deck
k this deck
38
The zirconium nucleus contains 40 protons,and an electron is 1.0 nm from the nucleus.What is the electric force exerted on the electron by the nucleus? ( e = 1.60 × 10-19 C,k = 1/4πε0 = 9.0 × 109 N ∙ m2/C2)
A)2.9 nN
B)1000 C
C)3.7 nN
D)6.8 nN
E)9.2 nN
A)2.9 nN
B)1000 C
C)3.7 nN
D)6.8 nN
E)9.2 nN
Unlock Deck
Unlock for access to all 78 flashcards in this deck.
Unlock Deck
k this deck
39
Two tiny particles carrying like charges of the same magnitude are
apart.If the electric force exerted on one of them is
what is the magnitude of the charge on each of these particles?(k = 1/4πε0 = 9.0 × 109 N ∙ m2/C2)
A)2.4 × 10-2 C
B)2.4 × 10-8 C
C)4.5 × 104 C
D)2.4 × 10-5 C
apart.If the electric force exerted on one of them is
what is the magnitude of the charge on each of these particles?(k = 1/4πε0 = 9.0 × 109 N ∙ m2/C2)A)2.4 × 10-2 C
B)2.4 × 10-8 C
C)4.5 × 104 C
D)2.4 × 10-5 C
Unlock Deck
Unlock for access to all 78 flashcards in this deck.
Unlock Deck
k this deck
40
A1-N electrostatic force is exerted on each of the two point charges when they are 2 cm apart.If they are moved to a new separation of 8 cm,what is the magnitude of the electric force exerted on each of them?
A)2 N
B)1/2 N
C)1/4 N
D)1/8 N
E)1/16 N
A)2 N
B)1/2 N
C)1/4 N
D)1/8 N
E)1/16 N
Unlock Deck
Unlock for access to all 78 flashcards in this deck.
Unlock Deck
k this deck
41
Two tiny beads,each of mass 3.2 g,carry equal-magnitude charges.When they are placed 6.4 cm apart and released in outer space,they begin to accelerate toward each other at 538 m/s2.What is the magnitude of the charge on each bead? (k = 1/4πε0 = 9.0 × 109 N ∙ m2/C2)
A)510 nC
B)44 nC
C)1800 nC
D)890 nC
E)1300 nC
A)510 nC
B)44 nC
C)1800 nC
D)890 nC
E)1300 nC
Unlock Deck
Unlock for access to all 78 flashcards in this deck.
Unlock Deck
k this deck
42
Three point charges are placed on the x-axis,as follows.A charge of +2.0 μC is at the origin,a charge of -2.0 μC is at x = 50 cm,and a charge of +4.0 μC is at x = 100 cm.What are the magnitude and direction of the net electrostatic force exerted on the charge at the origin by the other two charges? (k = 1/4πε0 = 9.0 × 109 N ∙ m2/C2)
Unlock Deck
Unlock for access to all 78 flashcards in this deck.
Unlock Deck
k this deck
43
Two equally charged tiny spheres of mass 1.0 g are placed 2.0 cm apart.When released,they begin to accelerate away from each other at
What is the magnitude of the charge on each sphere,assuming only that the electric force is present? (k = 1/4πε0 = 9.0 × 109 N ∙ m2/C2)
A)140 nC
B)120 nC
C)95 nC
D)75 nC
What is the magnitude of the charge on each sphere,assuming only that the electric force is present? (k = 1/4πε0 = 9.0 × 109 N ∙ m2/C2)A)140 nC
B)120 nC
C)95 nC
D)75 nC
Unlock Deck
Unlock for access to all 78 flashcards in this deck.
Unlock Deck
k this deck
44
A point charge Q1 = +6.0 nC is at the point (0.30 m,0.00 m); a charge Q2 = -1.0 nC is at (0.00 m,0.10 m),and a charge Q3 = +5.0 nC is at (0.00 m,0.00 m).What are the magnitude and direction of the net force exerted on the +5.0-nC charge by the other two charges? (k = 1/4πε0 = 9.0 × 109 N ∙ m2/C2)
Unlock Deck
Unlock for access to all 78 flashcards in this deck.
Unlock Deck
k this deck
45
A point charge Q = -12 μC,and two other charges q2 and q2,are placed on x-y axes as shown in the figure.The electric force components exerted on charge Q are Fx = +0.005 N and Fy = -0.003 N.(k = 1/4πε0 = 9.0 × 109 N ∙ m2/C2,e = 1.6 × 10-19
C)
(a)How many excess electrons are there in charge Q?
(b)What are the charges q1 and q2, including their signs?
C)
(a)How many excess electrons are there in charge Q?
(b)What are the charges q1 and q2, including their signs?

Unlock Deck
Unlock for access to all 78 flashcards in this deck.
Unlock Deck
k this deck
46
There is a +5.0-μC charge at three corners of a square having sides 70 mm long.What are the magnitude and direction of the net electrostatic force exerted on +6.0 μC placed at the center of the square? (k = 1/4πε0 = 9.0 × 109 N ∙ m2/C2)
Unlock Deck
Unlock for access to all 78 flashcards in this deck.
Unlock Deck
k this deck
47
Suppose you wanted to hold up an electron against the gravitational force by the attraction of a fixed proton some distance above it.How far above the electron would the proton have to be? (k = 1/4πε0 = 9.0 × 109 N ∙ m2/C2,e = 1.6 × 10-19 C,mproton = 1.67 × 10-27 kg,melectron = 9.11 × 10-31 kg)
A)1.5 m
B)2.3 m
C)3.7 m
D)4.6 m
E)5.1 m
A)1.5 m
B)2.3 m
C)3.7 m
D)4.6 m
E)5.1 m
Unlock Deck
Unlock for access to all 78 flashcards in this deck.
Unlock Deck
k this deck
48
Two tiny particles having charges of +5.00 μC and +7.00 μC are placed along the x-axis.The +5.00-µC particle is at x = 0.00 cm,and the other particle is at x = 100.00 cm.Where on the x-axis must a third charged particle be placed so that the net electrostatic force exerted on it by the other two particles is zero?
A)4.58 cm
B)45.8 cm
C)50 cm
D)9.12 cm
E)91.2 cm
A)4.58 cm
B)45.8 cm
C)50 cm
D)9.12 cm
E)91.2 cm
Unlock Deck
Unlock for access to all 78 flashcards in this deck.
Unlock Deck
k this deck
49
A particle of charge +2q is placed at the origin and particle of charge -q is placed on the x-axis at x = 2a.Where on the x-axis can a third positive charge be placed so that the net electric force exerted on it is zero?
A)3.4a
B)6.8a
C)8.6a
D)9.3a
E)1.0a
A)3.4a
B)6.8a
C)8.6a
D)9.3a
E)1.0a
Unlock Deck
Unlock for access to all 78 flashcards in this deck.
Unlock Deck
k this deck
50
As shown in the figure,three charges are at the vertices of an equilateral triangle.The charge Q is 6.7 nC,and all the other quantities are accurate to two significant figures.What is the magnitude of the net electric force exerted on the charge Q by the other two charges? (k = 1/4πε0 = 9.0 × 109 N ∙ m2/C2) 
A)2.1 × 10-3 N
B)1.2 × 10-3 N
C)1.0 × 10-3 N
D)1.4 × 10-3 N

A)2.1 × 10-3 N
B)1.2 × 10-3 N
C)1.0 × 10-3 N
D)1.4 × 10-3 N
Unlock Deck
Unlock for access to all 78 flashcards in this deck.
Unlock Deck
k this deck
51
Two tiny particles having charges of +7.00 μC and -9.00 μC are placed along the y-axis.The +7.00-µC particle is at y = 0.00 cm,and the other particle is at y = 40.00 cm.Where must a third charged particle be placed along the y-axis so that the net electric force exerted on it by the other two particles is zero?
A)0.200 m
B)2.99 m
C)-0.187 m
D)-2.99 m
E)0.187 m
A)0.200 m
B)2.99 m
C)-0.187 m
D)-2.99 m
E)0.187 m
Unlock Deck
Unlock for access to all 78 flashcards in this deck.
Unlock Deck
k this deck
52
Two point charges q = -8.50 µC are fixed 10.0 cm apart along a horizontal bar,as shown in the figure.Their electrical forces will be used to balance the force that Earth exerts on a very small sphere carrying a charge
10.0 cm from each of them in a place where g = 9.80 m/s2.What is the greatest mass M this sphere can have without falling? (k = 1/4πε0 = 8.99 × 109 N ∙ m2/C2) 
10.0 cm from each of them in a place where g = 9.80 m/s2.What is the greatest mass M this sphere can have without falling? (k = 1/4πε0 = 8.99 × 109 N ∙ m2/C2) 
Unlock Deck
Unlock for access to all 78 flashcards in this deck.
Unlock Deck
k this deck
53
As shown in the figure,the charge Q is midway between two other charges.If
what must be the charge q1 so that charge q2 remains stationary as Q and q1 are held in place? 
A)30 nC
B)15 nC
C)7.5 nC
D)60 nC
what must be the charge q1 so that charge q2 remains stationary as Q and q1 are held in place? 
A)30 nC
B)15 nC
C)7.5 nC
D)60 nC
Unlock Deck
Unlock for access to all 78 flashcards in this deck.
Unlock Deck
k this deck
54
As shown in the figure,three small charges are equally spaced on the arc of a circle that is centered at the charge Q,where Q = +23 nC and all the other quantities are accurate to two significant figures.What is the magnitude of the net electric force exerted on the charge Q by the other three charges? (k = 1/4πε0 = 9.0 × 109 N ∙ m2/C2) 
A)2.6 × 10-4 N
B)1.7 × 10-4 N
C)2.1 × 10-4 N
D)3.1 × 10-4 N

A)2.6 × 10-4 N
B)1.7 × 10-4 N
C)2.1 × 10-4 N
D)3.1 × 10-4 N
Unlock Deck
Unlock for access to all 78 flashcards in this deck.
Unlock Deck
k this deck
55
As shown in the figure,three charges are at corners of a rectangle.The charge in the bottom right corner is Q = - 90 nC,and all the other quantities are accurate to two significant figures.What is the magnitude of the net electrical force exerted on Q by the other two charges? (k = 1/4πε0 = 9.0 × 109 N ∙ m2/C2) 
A)3.8 × 10-2 N
B)2.8 × 10-2 N
C)5.3 × 10-2 N
D)7.1 × 10-2 N

A)3.8 × 10-2 N
B)2.8 × 10-2 N
C)5.3 × 10-2 N
D)7.1 × 10-2 N
Unlock Deck
Unlock for access to all 78 flashcards in this deck.
Unlock Deck
k this deck
56
The three point charges +4.0 μC,-5.0 μC,and -9.0 μC are placed on the x-axis at the points x = 0 cm,x = 40 cm,and x = 120 cm,respectively.What is the x component of the net electrostatic force exerted on the -9.0 μC charge by the other two charges? (k = 1/4πε0 = 9.0 × 109 N ∙ m2/C2)
A)-0.55 N
B)0.55 N
C)0.64 N
D)0.41 N
E)-0.41 N
A)-0.55 N
B)0.55 N
C)0.64 N
D)0.41 N
E)-0.41 N
Unlock Deck
Unlock for access to all 78 flashcards in this deck.
Unlock Deck
k this deck
57
As shown in the figure,charge q1 = 2.2 x
C is placed at the origin and charge
is placed on the
at
Where along the x-axis can a third charge Q = -8.30 × 10-6 C be placed so that the resultant force exerted on Q is zero? 
C is placed at the origin and charge
is placed on the
at
Where along the x-axis can a third charge Q = -8.30 × 10-6 C be placed so that the resultant force exerted on Q is zero? 
Unlock Deck
Unlock for access to all 78 flashcards in this deck.
Unlock Deck
k this deck
58
One point charge +Q is placed at the center of a square,and a second point charge -Q is placed at the upper-left corner of the square.It is observed that an electrostatic force of magnitude 2.0 N is exerted on the positive charge at the center.Now a third charge -Q is placed at the lower-left corner of the square,as shown in the figure.What is the magnitude of the net force that is exerted on the center charge now? 
A)0.0 N
B)2.8 N
C)4.0 N
D)5.3 N

A)0.0 N
B)2.8 N
C)4.0 N
D)5.3 N
Unlock Deck
Unlock for access to all 78 flashcards in this deck.
Unlock Deck
k this deck
59
Three point charges are located on the x-axis at the following positions: Q1 = +2.00 μC is at x = 1.00 m,Q2 = +3.00 μC is at x = 0.00,and Q3 = -5.00 μC is at x = -1.00 m.What is the magnitude of the electric force exerted on Q2? (k = 1/4πε0 = 8.99 × 109 N ∙ m2/C2)
A)0.0540 N
B)0.135 N
C)0.158 N
D)0.0810 N
E)0.189 N
A)0.0540 N
B)0.135 N
C)0.158 N
D)0.0810 N
E)0.189 N
Unlock Deck
Unlock for access to all 78 flashcards in this deck.
Unlock Deck
k this deck
60
Three identical 3.0-µC charges are placed at the vertices of an equilateral triangle that measures 30 cm on a side.What is the magnitude of the electrostatic force exerted on any one of the charges? (k = 1/4πε0 = 9.0 × 109 N ∙ m2/C2)
A)1.6 N
B)1.8 N
C)2.0 N
D)2.2 N
E)2.4 N
A)1.6 N
B)1.8 N
C)2.0 N
D)2.2 N
E)2.4 N
Unlock Deck
Unlock for access to all 78 flashcards in this deck.
Unlock Deck
k this deck
61
Two tiny grains of sand having charges of 4.0 μC and -4.0 μC are situated along the x-axis at x1 = 2.0 m and x2 = -2.0 m.What is electric potential energy of the system of these grains assuming that at infinity the energy of the system is zero? (k = 1/4πε0 = 9.0 × 109 N ∙ m2/C2)
A)-36 mJ
B)36 mJ
C)0 J
D)-72 mJ
E)72 mJ
A)-36 mJ
B)36 mJ
C)0 J
D)-72 mJ
E)72 mJ
Unlock Deck
Unlock for access to all 78 flashcards in this deck.
Unlock Deck
k this deck
62
Point charges +4.00 μC and +2.00 μC are placed at the opposite corners of a rectangle as shown in the figure.If these charges are released and are free to move with no friction,what is the maximum amount of kinetic energy they will gain? (k = 1/4πε0 = 8.99 × 109 N ∙ m2/C2) 

Unlock Deck
Unlock for access to all 78 flashcards in this deck.
Unlock Deck
k this deck
63
An alpha particle (a helium nucleus,having charge +2e and mass 6.64 × 10-27 kg)moves head-on at a fixed gold nucleus (having charge +79e).If the distance of closest approach is 2.0 × 10-10 m,what was the speed of the alpha particle when it was very far away from the gold? (k = 1/4πε0 = 9.0 × 109 N ∙ m2/C2,e = 1.60 × 10-19
A)2.3 × 105 m/s
B)4.6 × 105 m/s
C)
C)2.3 × 106 m/s
D)4.6 × 106 m/s
A)2.3 × 105 m/s
B)4.6 × 105 m/s
C)
C)2.3 × 106 m/s
D)4.6 × 106 m/s
Unlock Deck
Unlock for access to all 78 flashcards in this deck.
Unlock Deck
k this deck
64
An electric dipole with ±5.0 μC point charges is positioned so that the positive charge is
to the right of the origin and the negative charge is at the origin.How much work does it take to bring a
point charge from very far away to the point x = 3.0 mm,y = 0.0 mm? (k = 1/4πε0 = 9.0 × 109 N ∙ m2/C2)
A)23 J
B)110 J
C)19 J
D)49 J
to the right of the origin and the negative charge is at the origin.How much work does it take to bring a
point charge from very far away to the point x = 3.0 mm,y = 0.0 mm? (k = 1/4πε0 = 9.0 × 109 N ∙ m2/C2)A)23 J
B)110 J
C)19 J
D)49 J
Unlock Deck
Unlock for access to all 78 flashcards in this deck.
Unlock Deck
k this deck
65
In the figure,+4.0-μC and -4.0-μC point charges are located as shown.Now an additional +2.00-µC point charge is placed at point A.What is the electric potential energy of this system of three charges,relative to infinity? (k = 1/4πε0 = 8.99 × 109 N ∙ m2/C2) 
A)+264 mJ
B)-264 mJ
C)0.00 J
D)-26.4 mJ
E)+26.4 mJ

A)+264 mJ
B)-264 mJ
C)0.00 J
D)-26.4 mJ
E)+26.4 mJ
Unlock Deck
Unlock for access to all 78 flashcards in this deck.
Unlock Deck
k this deck
66
A +3.0-µC point charge is initially extremely far from a positive point charge Q.You find that it takes 41 J of work to bring the +3.0-µC charge to the point x = 3.0 mm,y = 0.0 mm and the point charge Q to the point x = -3.0 mm,y = 0.00 mm.What is Q? (k = …)
A)55 nC
B)9.1 µC
C)4.6 µC
D)27 pC
A)55 nC
B)9.1 µC
C)4.6 µC
D)27 pC
Unlock Deck
Unlock for access to all 78 flashcards in this deck.
Unlock Deck
k this deck
67
A very small 4.8-g particle carrying a charge of +9.9 μC is fired with an initial speed of
directly toward a second small 7.8-g particle carrying a charge of +
The second particle is held fixed throughout this process.If these particles are initially very far apart,what is the closest they get to each other? (k = 1/4πε0 = 9.0 × 109 N ∙ m2/C2)
directly toward a second small 7.8-g particle carrying a charge of +
The second particle is held fixed throughout this process.If these particles are initially very far apart,what is the closest they get to each other? (k = 1/4πε0 = 9.0 × 109 N ∙ m2/C2) Unlock Deck
Unlock for access to all 78 flashcards in this deck.
Unlock Deck
k this deck
68
A +7.5-nC point charge is 5.0 cm from a -9.4-µC point charge in your laboratory in California.How much work would you have to do if you left the +7.5-nC charge in the lab but took the -9.4-µC charge to New York City? (k = 1/4πε0 = 9.0 × 109 N ∙ m2/C2)
Unlock Deck
Unlock for access to all 78 flashcards in this deck.
Unlock Deck
k this deck
69
The figure shows two tiny 5.0-g spheres suspended from very light 1.0-m-long threads.The spheres repel each other after each one is given the same positive charge and hang at rest when θ = 4.1°.What is the charge on each sphere? (k = 1/4πε0 = 9.0 × 109 N ∙ m2/C2) 
A)22 nC
B)89 nC
C)360 nC
D)180 nC
E)45 nC

A)22 nC
B)89 nC
C)360 nC
D)180 nC
E)45 nC
Unlock Deck
Unlock for access to all 78 flashcards in this deck.
Unlock Deck
k this deck
70
How much energy is necessary to place three +2.0-µC point charges at the vertices of an equilateral triangle of side 2.0 cm if they started out extremely far away? (k = 1/4πε0 = 9.0 × 109 N ∙ m2/C2)
A)4.5 J
B)5.4 J
C)6.7 J
D)7.6 J
A)4.5 J
B)5.4 J
C)6.7 J
D)7.6 J
Unlock Deck
Unlock for access to all 78 flashcards in this deck.
Unlock Deck
k this deck
71
An electron is released from rest at a distance of 9.00 cm from a fixed proton.How fast will the electron be moving when it is 3.00 cm from the proton? (k = 1/4πε0 = 8.99 × 109 N ∙ m2/C2,e = 1.60 × 10-19 C,melectron = 9.11 × 10-31 kg,mproton = 1.67 × 10-27 kg)
A)75.0 m/s
B)106 m/s
C)130 m/s
D)1.06 × 103 m/s
E)4.64 × 105 m/s
A)75.0 m/s
B)106 m/s
C)130 m/s
D)1.06 × 103 m/s
E)4.64 × 105 m/s
Unlock Deck
Unlock for access to all 78 flashcards in this deck.
Unlock Deck
k this deck
72
A small 4.0-µC charge and a small 1.5-µC charge are initially very far apart.How much work does it take to bring them to a final configuration in which the 4.0-µC charge is at the point x = 1.0 mm,y = 1.0 mm,and the 1.5-µC charge is at the point x = 1.0 mm,y = 3.0 mm? (k = 1/4πε0 = 8.99 × 109 N ∙ m2/C2)
A)27 J
B)13.5 kJ
C)54 J
D)13.5 J
A)27 J
B)13.5 kJ
C)54 J
D)13.5 J
Unlock Deck
Unlock for access to all 78 flashcards in this deck.
Unlock Deck
k this deck
73
A point charge of +3.00 μC and a second charge Q are initially very far apart.If it takes
of work to bring them to a final configuration in which the
charge is at the point x = 1.00 mm,y = 1.00 mm,and the second charge Q is at the point x = 1.00 mm,y = 3.00 mm,find the magnitude of the charge Q.(k = 1/4πε0 = 8.99 × 109 N ∙ m2/C2)
A)2.15 μC
B)4.30 μC
C)10.74 μC
D)4.30 nC
of work to bring them to a final configuration in which the
charge is at the point x = 1.00 mm,y = 1.00 mm,and the second charge Q is at the point x = 1.00 mm,y = 3.00 mm,find the magnitude of the charge Q.(k = 1/4πε0 = 8.99 × 109 N ∙ m2/C2)A)2.15 μC
B)4.30 μC
C)10.74 μC
D)4.30 nC
Unlock Deck
Unlock for access to all 78 flashcards in this deck.
Unlock Deck
k this deck
74
The figure shows an arrangement of two particles each having charge Q = -6.8 nC and each separated by 5.0 mm from a proton.If the two particles are held fixed at their locations and the proton is set into motion as shown,what is the minimum speed the proton needs to totally escape from these particles? (mproton = 1.67 × 10-27 kg,e = 1.60 × 10-19 C,k = 1/4πε0 = 9.0 × 109 N ∙ m2/C2) 
A)2.2 × 106 m/s
B)4.3 × 106 m/s
C)8.3 × 106 m/s
D)1.7 × 107 m/s

A)2.2 × 106 m/s
B)4.3 × 106 m/s
C)8.3 × 106 m/s
D)1.7 × 107 m/s
Unlock Deck
Unlock for access to all 78 flashcards in this deck.
Unlock Deck
k this deck
75
Two tiny particles having charges q1 = +56.0 nC and q2 = -46.0 nC are separated by
and held in place,as shown in the figure.A third particle,having a charge of
is placed at the point A, which is 0.18 m to the left of q2.How much work is needed to move the third particle from point A to point B,which is 0.40 m to the left of q1.All the points in the figure lie on the same line.(k = 1/4πε0 = 9.0 × 109 N ∙ m2/C2) 
and held in place,as shown in the figure.A third particle,having a charge of
is placed at the point A, which is 0.18 m to the left of q2.How much work is needed to move the third particle from point A to point B,which is 0.40 m to the left of q1.All the points in the figure lie on the same line.(k = 1/4πε0 = 9.0 × 109 N ∙ m2/C2) 
Unlock Deck
Unlock for access to all 78 flashcards in this deck.
Unlock Deck
k this deck
76
A +5.0-nC charge is at the point (0.00 m,0.00 m)and a -2.0-nC charge is at (3.0 m,0.00 m).What work is required to bring a 1.0-nC charge from very far away to point (0.00 m,4.0 m)? (k = 1/4πε0 = 9.0 × 109 N ∙ m2/C2)
A)15 nJ
B)3.6 nJ
C)11 nJ
D)7.7 nJ
A)15 nJ
B)3.6 nJ
C)11 nJ
D)7.7 nJ
Unlock Deck
Unlock for access to all 78 flashcards in this deck.
Unlock Deck
k this deck
77
The figure shows a group of three particles,all of which have charge Q = 8.8 nC.How much work did it take to assemble this group of charges if they all started out extremely far from each other? (k = 1/4πε0 = 9.0 × 109 N ∙ m2/C2) 
A)5.5 × 10-5 J
B)6.2 × 10-5 J
C)5.7 × 10-5 J
D)5.9 × 10-5 J

A)5.5 × 10-5 J
B)6.2 × 10-5 J
C)5.7 × 10-5 J
D)5.9 × 10-5 J
Unlock Deck
Unlock for access to all 78 flashcards in this deck.
Unlock Deck
k this deck
78
A 7.0-μC point charge and a
point charge are initially extremely far apart.How much work does it take to bring the
point charge to the point
,and the
point charge to the point
(k = 1/4πε0 = 9.0 × 109 N ∙ m2/C2)
A)95 J
B)190 J
C)63 J
D)16 J
point charge are initially extremely far apart.How much work does it take to bring the
point charge to the point
,and the
point charge to the point
(k = 1/4πε0 = 9.0 × 109 N ∙ m2/C2)A)95 J
B)190 J
C)63 J
D)16 J
Unlock Deck
Unlock for access to all 78 flashcards in this deck.
Unlock Deck
k this deck

