Deck 11: Alkynes
Question
Question
Question
Question
Question
Question
Question
Question
Question
Question
Question
Question
Question
Question
Question
Question
Question
Question
Question
Question
Question
Question
Question
Question
Question
Question
Question
Question
Question
Question
Question
Question
Question
Question
Question
Question
Question
Question
Question
Question
Question
Question
Question
Question
Question
Unlock Deck
Sign up to unlock the cards in this deck!
Unlock Deck
Unlock Deck
1/45
Play
Full screen (f)
Deck 11: Alkynes
1
Give the IUPAC name for the following compound. 
A) 4,4-Diethyl-1-octyne
B) 4,4-Dipropyl-1-heptyne
C) 4,4-Dipropyl-6-heptyne
D) 4,4-Diethyl-6-octyne

A) 4,4-Diethyl-1-octyne
B) 4,4-Dipropyl-1-heptyne
C) 4,4-Dipropyl-6-heptyne
D) 4,4-Diethyl-6-octyne
4,4-Dipropyl-1-heptyne
2
Which of the following molecular formulas is consistent with the formula for a molecule containing one alkyne and no other degrees of unsaturation?
A) I
B) II
C) III
D) IV
A) I
B) II
C) III
D) IV
III
3
Give the IUPAC name for the following compound. 
A) trans-2-Acetylenecyclohexanol
B) trans-2-Ethynylcyclohexanol
C) trans-2-Acetylene-1-cyclohexanol
D) trans-2-Ethylenecyclohexanol

A) trans-2-Acetylenecyclohexanol
B) trans-2-Ethynylcyclohexanol
C) trans-2-Acetylene-1-cyclohexanol
D) trans-2-Ethylenecyclohexanol
trans-2-Ethynylcyclohexanol
4
Which of the following alkynes is a symmetrical alkyne? 
A) I
B) II
C) III
D) IV

A) I
B) II
C) III
D) IV
Unlock Deck
Unlock for access to all 45 flashcards in this deck.
Unlock Deck
k this deck
5
Give the IUPAC name for the following compound. 
A) 3-sec-Butyl-1,4-octadiyne
B) 3-Isopropyl-1,5-octadiyne
C) 3-Isopropyl-1,5-nonadiyne
D) 3-sec-Butyl-1,4-nonadiyne

A) 3-sec-Butyl-1,4-octadiyne
B) 3-Isopropyl-1,5-octadiyne
C) 3-Isopropyl-1,5-nonadiyne
D) 3-sec-Butyl-1,4-nonadiyne
Unlock Deck
Unlock for access to all 45 flashcards in this deck.
Unlock Deck
k this deck
6
Which of the following represents a terminal alkyne? 
A) Only I and II
B) Only II and III
C) Only I and III
D) Only II and IV

A) Only I and II
B) Only II and III
C) Only I and III
D) Only II and IV
Unlock Deck
Unlock for access to all 45 flashcards in this deck.
Unlock Deck
k this deck
7
What is the product of the following reaction? 
A) I
B) II
C) III
D) IV

A) I
B) II
C) III
D) IV
Unlock Deck
Unlock for access to all 45 flashcards in this deck.
Unlock Deck
k this deck
8
Which of the following explains why 1-pentyne has a slightly higher boiling point than 1-pentene?
A) 1-Pentyne has more carbons than 1-pentene.
B) 1-Pentyne has more carbons per hydrogen than 1-pentene.
C) 1-Pentyne is linear while 1-pentene is trigonal planar.
D) The C-C triple bond in 1-pentyne is more polar than the C-C double bond in 1-pentene.
A) 1-Pentyne has more carbons than 1-pentene.
B) 1-Pentyne has more carbons per hydrogen than 1-pentene.
C) 1-Pentyne is linear while 1-pentene is trigonal planar.
D) The C-C triple bond in 1-pentyne is more polar than the C-C double bond in 1-pentene.
Unlock Deck
Unlock for access to all 45 flashcards in this deck.
Unlock Deck
k this deck
9
What is the product of the following reaction? 
A) I
B) II
C) III
D) IV

A) I
B) II
C) III
D) IV
Unlock Deck
Unlock for access to all 45 flashcards in this deck.
Unlock Deck
k this deck
10
Give the IUPAC name for the following compound. 
A) 4-Chloro-4-methyl-2-heptyne
B) 3-Chloro-3-methyl-4-heptyne
C) 3-Chloro-3-methyl-4-hexyne
D) 4-Chloro-4-methyl-2-hexyne

A) 4-Chloro-4-methyl-2-heptyne
B) 3-Chloro-3-methyl-4-heptyne
C) 3-Chloro-3-methyl-4-hexyne
D) 4-Chloro-4-methyl-2-hexyne
Unlock Deck
Unlock for access to all 45 flashcards in this deck.
Unlock Deck
k this deck
11
What is the product of the following sequence of reactions? 
A) I
B) II
C) III
D) IV

A) I
B) II
C) III
D) IV
Unlock Deck
Unlock for access to all 45 flashcards in this deck.
Unlock Deck
k this deck
12
Give the IUPAC name for the following compound. 
A) 6,6-Dimethyl-3-octyne
B) 3,3-Dimethyl-3-octyne
C) 3,3-Dimethy-5-octyne
D) 6-Ethyl-6-methyl-3-heptyne

A) 6,6-Dimethyl-3-octyne
B) 3,3-Dimethyl-3-octyne
C) 3,3-Dimethy-5-octyne
D) 6-Ethyl-6-methyl-3-heptyne
Unlock Deck
Unlock for access to all 45 flashcards in this deck.
Unlock Deck
k this deck
13
Which of the following represents an internal alkyne? 
A) Only I and II
B) Only I and III
C) Only II and IV
D) Only II and III

A) Only I and II
B) Only I and III
C) Only II and IV
D) Only II and III
Unlock Deck
Unlock for access to all 45 flashcards in this deck.
Unlock Deck
k this deck
14
How many bonds and bonds are present in a triple bond?
A) One bond and one bond.
B) One bond and two bonds.
C) Two bonds and one bond.
D) Two bonds and two bonds.
A) One bond and one bond.
B) One bond and two bonds.
C) Two bonds and one bond.
D) Two bonds and two bonds.
Unlock Deck
Unlock for access to all 45 flashcards in this deck.
Unlock Deck
k this deck
15
Which method would work the best in accomplishing the following transformation? ![<strong>Which method would work the best in accomplishing the following transformation? </strong> A) [1] HBr; [2] 2eq. NaNH<sub>2</sub> B) [1] Br<sub>2</sub>; [2] 2eq. NaNH<sub>2</sub> C) [1] Br<sub>2</sub>, H<sub>2</sub>O; [2] NaNH<sub>2</sub> D) [1]BH<sub>3</sub>, THF; [2] H<sub>2</sub>O<sub>2</sub>, NaOH; [3] NaNH<sub>2</sub>](https://d2lvgg3v3hfg70.cloudfront.net/TB5871/11ea9088_70eb_442c_aec7_0b099c60fabd_TB5871_00_TB5871_00_TB5871_00_TB5871_00_TB5871_00_TB5871_00_TB5871_00.jpg)
A) [1] HBr; [2] 2eq. NaNH2
B) [1] Br2; [2] 2eq. NaNH2
C) [1] Br2, H2O; [2] NaNH2
D) [1]BH3, THF; [2] H2O2, NaOH; [3] NaNH2
![<strong>Which method would work the best in accomplishing the following transformation? </strong> A) [1] HBr; [2] 2eq. NaNH<sub>2</sub> B) [1] Br<sub>2</sub>; [2] 2eq. NaNH<sub>2</sub> C) [1] Br<sub>2</sub>, H<sub>2</sub>O; [2] NaNH<sub>2</sub> D) [1]BH<sub>3</sub>, THF; [2] H<sub>2</sub>O<sub>2</sub>, NaOH; [3] NaNH<sub>2</sub>](https://d2lvgg3v3hfg70.cloudfront.net/TB5871/11ea9088_70eb_442c_aec7_0b099c60fabd_TB5871_00_TB5871_00_TB5871_00_TB5871_00_TB5871_00_TB5871_00_TB5871_00.jpg)
A) [1] HBr; [2] 2eq. NaNH2
B) [1] Br2; [2] 2eq. NaNH2
C) [1] Br2, H2O; [2] NaNH2
D) [1]BH3, THF; [2] H2O2, NaOH; [3] NaNH2
Unlock Deck
Unlock for access to all 45 flashcards in this deck.
Unlock Deck
k this deck
16
Give the IUPAC name for the following compound. 
A) 2,5-Dimethyl-3-heptyne
B) 3,6-Dimethy-4-heptyne
C) 2,5-Dimethyl-3-octyne
D) 3,6-Dimethyl-4-octyne

A) 2,5-Dimethyl-3-heptyne
B) 3,6-Dimethy-4-heptyne
C) 2,5-Dimethyl-3-octyne
D) 3,6-Dimethyl-4-octyne
Unlock Deck
Unlock for access to all 45 flashcards in this deck.
Unlock Deck
k this deck
17
How many degrees of unsaturation are introduced by a triple bond?
A) 0
B) 1
C) 2
D) 3
A) 0
B) 1
C) 2
D) 3
Unlock Deck
Unlock for access to all 45 flashcards in this deck.
Unlock Deck
k this deck
18
Give the IUPAC name for the following compound. 
A) 4-Methyl-4-penten-1-yne
B) 2-Methyl-2-hexen-5-yne
C) 5-Methyl-4-hexen-1-yne
D) 2-Methyl-2-penten-4-yne

A) 4-Methyl-4-penten-1-yne
B) 2-Methyl-2-hexen-5-yne
C) 5-Methyl-4-hexen-1-yne
D) 2-Methyl-2-penten-4-yne
Unlock Deck
Unlock for access to all 45 flashcards in this deck.
Unlock Deck
k this deck
19
Which of the following statements about alkynes is not true?
A) Alkynes undergo many addition reactions.
B) Alkynes are more polarizable than alkenes.
C) Both bonds of a C-C triple bond are weaker than a C-C bond.
D) The electrons in the bonds of alkynes are more tightly held than those of alkenes.
A) Alkynes undergo many addition reactions.
B) Alkynes are more polarizable than alkenes.
C) Both bonds of a C-C triple bond are weaker than a C-C bond.
D) The electrons in the bonds of alkynes are more tightly held than those of alkenes.
Unlock Deck
Unlock for access to all 45 flashcards in this deck.
Unlock Deck
k this deck
20
Which of the following about the physical properties of alkynes is not true?
A) Alkynes have low melting and boiling points.
B) Melting and boiling points increase as the number of carbons increases.
C) Alkynes are soluble in organic solvents.
D) Alkynes are soluble in water.
A) Alkynes have low melting and boiling points.
B) Melting and boiling points increase as the number of carbons increases.
C) Alkynes are soluble in organic solvents.
D) Alkynes are soluble in water.
Unlock Deck
Unlock for access to all 45 flashcards in this deck.
Unlock Deck
k this deck
21
In the addition of HBr to 1-butyne, the electrophile in the first step of the mechanism is:
A) The Csp-H1s bond of 1-butyne.
B) The C-C triple bond of 1-butyne.
C) The H atom in HBr.
D) The Br ion.
A) The Csp-H1s bond of 1-butyne.
B) The C-C triple bond of 1-butyne.
C) The H atom in HBr.
D) The Br ion.
Unlock Deck
Unlock for access to all 45 flashcards in this deck.
Unlock Deck
k this deck
22
What is the major product of the following reaction? 
A) Only I
B) Only II
C) Only III
D) I, II, III

A) Only I
B) Only II
C) Only III
D) I, II, III
Unlock Deck
Unlock for access to all 45 flashcards in this deck.
Unlock Deck
k this deck
23
What is the major organic product of the following reaction? 
A) I
B) II
C) III
D) IV

A) I
B) II
C) III
D) IV
Unlock Deck
Unlock for access to all 45 flashcards in this deck.
Unlock Deck
k this deck
24
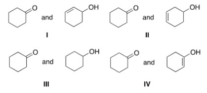
Which of the following represents a keto-enol tautomeric pair? 
A) I
B) II
C) III
D) IV

A) I
B) II
C) III
D) IV
Unlock Deck
Unlock for access to all 45 flashcards in this deck.
Unlock Deck
k this deck
25
What is (are) the product(s) of the following reaction? 
A) Only I
B) Only II
C) Only III
D) I, II, III

A) Only I
B) Only II
C) Only III
D) I, II, III
Unlock Deck
Unlock for access to all 45 flashcards in this deck.
Unlock Deck
k this deck
26
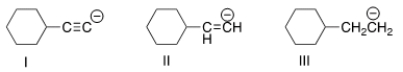
Which of the indicated hydrogen in the following compounds is the least acidic? 
A) I
B) II
C) III
D) IV

A) I
B) II
C) III
D) IV
Unlock Deck
Unlock for access to all 45 flashcards in this deck.
Unlock Deck
k this deck
27
Which of the following compounds can be an enol tautomer of 1,3-cyclohexandione? 
A) Only I and II
B) Only I and III
C) Only II and III
D) I, II, III

A) Only I and II
B) Only I and III
C) Only II and III
D) I, II, III
Unlock Deck
Unlock for access to all 45 flashcards in this deck.
Unlock Deck
k this deck
28
Which of the following statements about tautomers is true?
A) Tautomers differ in the position of a single bond and a hydrogen atom.
B) Tautomers differ in the position of a double bond and a carbon atom.
C) Tautomers differ in the position of a double bond and a hydrogen atom.
D) Tautomers differ in the position of a single bond and a carbon atom.
A) Tautomers differ in the position of a single bond and a hydrogen atom.
B) Tautomers differ in the position of a double bond and a carbon atom.
C) Tautomers differ in the position of a double bond and a hydrogen atom.
D) Tautomers differ in the position of a single bond and a carbon atom.
Unlock Deck
Unlock for access to all 45 flashcards in this deck.
Unlock Deck
k this deck
29
Which of the following statements about the reactions of alkynes is not true?
A) Alkynes contain easily broken bonds.
B) Alkynes undergo addition reactions.
C) When alkynes undergo two sequential addition reactions, four new bonds are formed.
D) When alkynes undergo two sequential addition reactions, two new bonds and a bond are formed.
A) Alkynes contain easily broken bonds.
B) Alkynes undergo addition reactions.
C) When alkynes undergo two sequential addition reactions, four new bonds are formed.
D) When alkynes undergo two sequential addition reactions, two new bonds and a bond are formed.
Unlock Deck
Unlock for access to all 45 flashcards in this deck.
Unlock Deck
k this deck
30
What is the reagent required to accomplish the following transformation? 
A) SOCl2
B) 2eq. HCl
C) Cl2
D) Br2/CCl4

A) SOCl2
B) 2eq. HCl
C) Cl2
D) Br2/CCl4
Unlock Deck
Unlock for access to all 45 flashcards in this deck.
Unlock Deck
k this deck
31
Rank the following compounds in order of decreasing basicity, putting the most basic first. 
A) I > II > III
B) III > II > I
C) III > I > II
D) II > III > I

A) I > II > III
B) III > II > I
C) III > I > II
D) II > III > I
Unlock Deck
Unlock for access to all 45 flashcards in this deck.
Unlock Deck
k this deck
32
What is the major organic product of the following reaction? 
A) I
B) II
C) III
D) IV

A) I
B) II
C) III
D) IV
Unlock Deck
Unlock for access to all 45 flashcards in this deck.
Unlock Deck
k this deck
33
What is the relationship between the keto and enol forms of acetone, CH3COCH3?
A) Same compounds
B) Diastereomers
C) Enantiomers
D) Constitutional isomers
A) Same compounds
B) Diastereomers
C) Enantiomers
D) Constitutional isomers
Unlock Deck
Unlock for access to all 45 flashcards in this deck.
Unlock Deck
k this deck
34
Which of the following bases cannot deprotonate acetylene? You are given the pKa values of the conjugate acids in parentheses.
I II III IV
A) Only I and II
B) Only I and III
C) Only II and III
D) Only II and IV
I II III IV
A) Only I and II
B) Only I and III
C) Only II and III
D) Only II and IV
Unlock Deck
Unlock for access to all 45 flashcards in this deck.
Unlock Deck
k this deck
35
In the addition of HBr to 1-butyne, the nucleophile in the first step of the mechanism is:
A) The Csp-H1s bond of 1-butyne.
B) The C-C triple bond of 1-butyne.
C) The H atom in HBr.
D) The Br ion.
A) The Csp-H1s bond of 1-butyne.
B) The C-C triple bond of 1-butyne.
C) The H atom in HBr.
D) The Br ion.
Unlock Deck
Unlock for access to all 45 flashcards in this deck.
Unlock Deck
k this deck
36
Which of the indicated hydrogen in the following compounds is the most acidic? 
A) I
B) II
C) III
D) IV

A) I
B) II
C) III
D) IV
Unlock Deck
Unlock for access to all 45 flashcards in this deck.
Unlock Deck
k this deck
37
Which of the following bases can deprotonate acetylene? You are given the pKa values of the conjugate acids in parentheses.
I II III IV
A) Only I and II
B) Only I and III
C) Only II and III
D) Only II and IV
I II III IV
A) Only I and II
B) Only I and III
C) Only II and III
D) Only II and IV
Unlock Deck
Unlock for access to all 45 flashcards in this deck.
Unlock Deck
k this deck
38
What is the major organic product of the following reaction? 
A) I
B) II
C) III
D) IV

A) I
B) II
C) III
D) IV
Unlock Deck
Unlock for access to all 45 flashcards in this deck.
Unlock Deck
k this deck
39
Which of the following compounds is a tautomer of 2-hexanone? 
A) Only I and II
B) Only I and III
C) Only II and III
D) I, II, III

A) Only I and II
B) Only I and III
C) Only II and III
D) I, II, III
Unlock Deck
Unlock for access to all 45 flashcards in this deck.
Unlock Deck
k this deck
40
Which of the following anions is the most basic? 
A) I
B) II
C) III
D) IV

A) I
B) II
C) III
D) IV
Unlock Deck
Unlock for access to all 45 flashcards in this deck.
Unlock Deck
k this deck
41
What is the major organic product of the following reaction? 
A) I
B) II
C) III
D) IV

A) I
B) II
C) III
D) IV
Unlock Deck
Unlock for access to all 45 flashcards in this deck.
Unlock Deck
k this deck
42
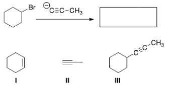
What is the starting material in the following reaction? 
A) I
B) II
C) III
D) IV

A) I
B) II
C) III
D) IV
Unlock Deck
Unlock for access to all 45 flashcards in this deck.
Unlock Deck
k this deck
43
What is (are) the major organic product(s) of the following reaction? 
A) Only I and II
B) Only II and III
C) Only I and III
D) I, II, III

A) Only I and II
B) Only II and III
C) Only I and III
D) I, II, III
Unlock Deck
Unlock for access to all 45 flashcards in this deck.
Unlock Deck
k this deck
44
What is the major organic product of the following reaction? 
A) I
B) II
C) III
D) IV

A) I
B) II
C) III
D) IV
Unlock Deck
Unlock for access to all 45 flashcards in this deck.
Unlock Deck
k this deck
45
Determine the product of the following reaction. 
A) I
B) II
C) III
D) IV

A) I
B) II
C) III
D) IV
Unlock Deck
Unlock for access to all 45 flashcards in this deck.
Unlock Deck
k this deck

