
Biochemistry 4th Edition by Reginald Garrett, Charles Grisham
Edition 4ISBN: 9780495109358
Biochemistry 4th Edition by Reginald Garrett, Charles Grisham
Edition 4ISBN: 9780495109358 Exercise 5
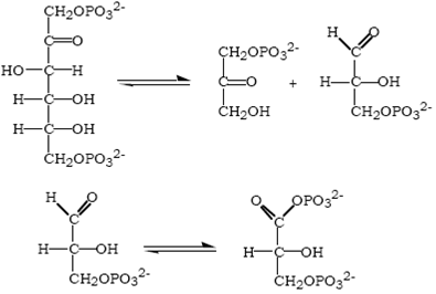
Understanding the reaction mechanisms of glycolysis
For each of the following reactions, name the enzyme that carries out this reaction in glycolysis and write a suitable mechanism for the reaction.

For each of the following reactions, name the enzyme that carries out this reaction in glycolysis and write a suitable mechanism for the reaction.

Explanation
The first reaction is step 4 of glycolys...
Biochemistry 4th Edition by Reginald Garrett, Charles Grisham
Why don’t you like this exercise?
Other Minimum 8 character and maximum 255 character
Character 255

