
Electronic Communication Systems 2nd Edition by Roy Blake
Edition 2ISBN: 978-0766826847
Electronic Communication Systems 2nd Edition by Roy Blake
Edition 2ISBN: 978-0766826847 Exercise 22
A quartz watch is guaranteed accurate to 15 seconds per month. Assuming a month has 30 days, calculate the accuracy of the crystal oscillator in the watch in parts per million.
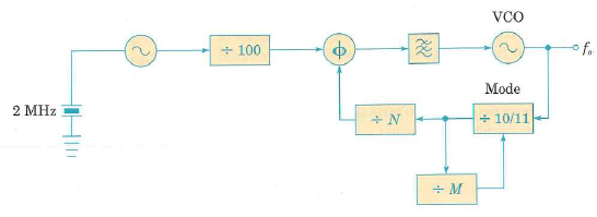
Figure 2.49

Figure 2.49

Explanation
The quartz watch guaranteed accuracy is ...
Electronic Communication Systems 2nd Edition by Roy Blake
Why don’t you like this exercise?
Other Minimum 8 character and maximum 255 character
Character 255

