
Macroeconomics 12th Edition by Rudiger Dornbusch, Stanley Fischer ,Richard Startz
Edition 12ISBN: 978-1259070969
Macroeconomics 12th Edition by Rudiger Dornbusch, Stanley Fischer ,Richard Startz
Edition 12ISBN: 978-1259070969 Exercise 2
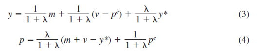
Use equations (3) and (4) to forecast both the price level and the level of output that result from the simple AS - AD model of Section 24-2. You may assume that the slope of the aggregate supply curve is
that the values of the money supply, velocity, and potential GDP are 9, 8, and 7, respectively; and that the expected price level is 5. b. Evaluate your forecast in light of the Lucas critique.
c. How does this forecast differ from that which would result from a perfect-foresight model
d. Is this forecast better or worse Explain

that the values of the money supply, velocity, and potential GDP are 9, 8, and 7, respectively; and that the expected price level is 5. b. Evaluate your forecast in light of the Lucas critique. c. How does this forecast differ from that which would result from a perfect-foresight model
d. Is this forecast better or worse Explain

Explanation
Assume that,
Calculate the equilibrium...
Macroeconomics 12th Edition by Rudiger Dornbusch, Stanley Fischer ,Richard Startz
Why don’t you like this exercise?
Other Minimum 8 character and maximum 255 character
Character 255

